


新人教A版高考数学二轮复习专题五三角函数与解三角形3三角函数的图象性质及应用专题检测含解析
展开
这是一份新人教A版高考数学二轮复习专题五三角函数与解三角形3三角函数的图象性质及应用专题检测含解析,共9页。试卷主要包含了将曲线C1等内容,欢迎下载使用。
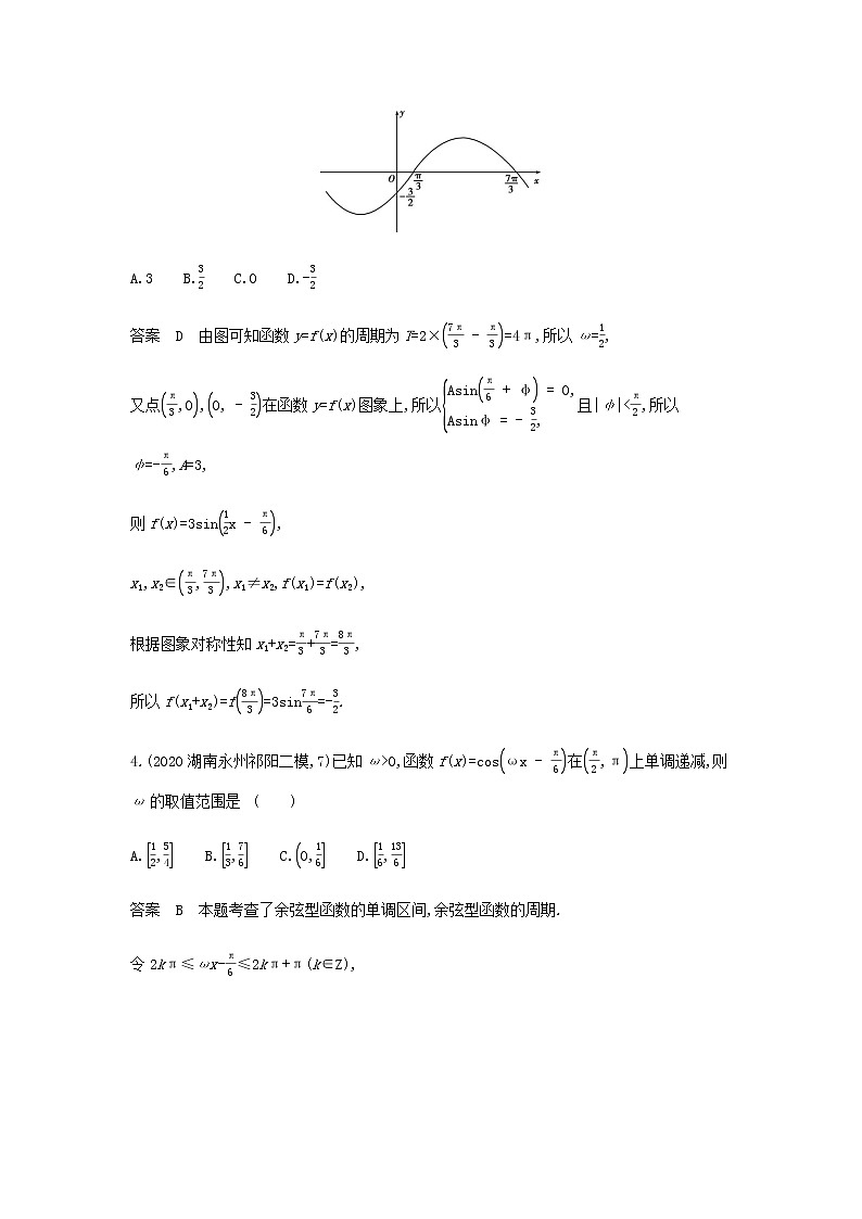
三角函数的图象、性质及应用专题检测1.(2017陕西师大附中二模)函数f(x)=sin(2x+φ)+cos(2x+φ)是偶函数的充要条件是 ( )A.φ=kπ+,k∈Z B.φ=2kπ+,k∈ZC.φ=kπ+,k∈Z D.φ=2kπ+,k∈Z答案 A ∵函数f(x)=sin(2x+φ)+cos(2x+φ)=2cos是偶函数,∴φ-=kπ,k∈Z,即φ=kπ+,k∈Z.故选A.2.(2019河北衡水中学3月全国大联考,9)将曲线C1:y=2cos上的点向右平移个单位长度,再将各点横坐标缩短为原来的,纵坐标不变,得到曲线C2,则C2的方程为 ( )A.y=2sin4x B.y=2sinC.y=2sinx D.y=2sin答案 A 将曲线C1:y=2cos上的点向右平移个单位长度,可得y=2sin2x的图象,再将各点横坐标缩短为原来的,纵坐标不变,可得曲线C2:y=2sin4x,故选A.3.(2019贵州贵阳第一次适应性考试,8)已知函数f(x)=Asin(ωx+φ)的部分图象如图所示,点,,在图象上,若x1,x2∈,x1≠x2,且f(x1)=f(x2),则f(x1+x2)= ( )A.3 B. C.0 D.-答案 D 由图可知函数y=f(x)的周期为T=2×=4π,所以ω=,又点,在函数y=f(x)图象上,所以且|φ|<,所以φ=-,A=3,则f(x)=3sin,x1,x2∈,x1≠x2,f(x1)=f(x2),根据图象对称性知x1+x2=+=,所以f(x1+x2)=f=3sin=-.4.(2020湖南永州祁阳二模,7)已知ω>0,函数f(x)=cos在上单调递减,则ω的取值范围是 ( )A. B. C. D.答案 B 本题考查了余弦型函数的单调区间,余弦型函数的周期.令2kπ≤ωx-≤2kπ+π(k∈Z),得≤x≤(k∈Z),因为函数f(x)在上单调递减,所以其中k∈Z,解得4k+≤ω≤2k+(k∈Z).又因为函数f(x)在上单调递减,所以T≥π⇒ω≤2,又ω>0,所以k=0,故有≤ω≤.故选B.方法总结 对于函数f(x)=Asin(ωx+φ)(或f(x)=Acos(ωx+φ))(ω>0),如果它在区间(a,b)上单调,那么基本的处理方法是先求出f(x)单调区间的一般形式,利用(a,b)是单调区间的子集得到ω满足的不等式组,利用ω>0和不等式组有解确定整数k的值即可.5.(2018河南六市第一次联考,5)已知函数f(x)=2sinωx+(ω>0)的图象与函数g(x)=cos(2x+φ)的图象的对称中心完全相同,则φ为 ( )A. B.- C. D.-答案 D 因为函数f(x)=2sin(ω>0)的图象与函数g(x)=cos(2x+φ)的图象的对称中心完全相同,所以ω=2,φ=-+kπ(k∈Z),即φ=-+kπ(k∈Z),∵|φ|<,∴φ=-,故选D.6.(2019湖南衡阳高中毕业班联考(二),4)将函数f(x)的图象向右平移个单位长度,再将所得函数图象上的所有点的横坐标缩短到原来的,得到函数g(x)=Asin(ωx+φ)的图象.已知函数g(x)的部分图象如图所示,则函数f(x)的 ( )A.最小正周期为π,最大值为2B.最小正周期为π,图象关于点中心对称C.最小正周期为π,图象关于直线x=对称D.最小正周期为π,在区间上单调递减答案 D 对于g(x),由题图可知,A=2,T=4=,∴ω==3.则g(x)=2sin(3x+φ),又由g=2可得φ=-+2kπ,k∈Z,而|φ|<,∴φ=-.∴g(x)=2sin,∴f(x)=2sin.∴f(x)的最小正周期为π,选项A,C错误.对于选项B,令2x+=kπ(k∈Z),所以x=-,k∈Z,所以函数f(x)图象的对称中心为(k∈Z),所以选项B错误;当x∈时,2x+∈,所以f(x)在上是减函数,所以选项D正确.故选D.7.(2019北京西城一模,11)函数f(x)=sin2x+cos2x的最小正周期T= ;如果对于任意的x∈R都有f(x)≤a,那么实数a的取值范围是 . 答案 π;[,+∞)解析 ∵f(x)=sin2x+cos2x=sin,∴T===π.∵f(x)=sin≤,∴a≥.∴实数a的取值范围是[,+∞).8.(2020河南六市一模,15)已知函数f(x)=sinωx+cosωx(ω>0),当|f(m)-f(n)|=4时,|m-n|的最小值为,若将函数f(x)的图象向右平移φ(φ>0)个单位长度后所得函数图象关于y轴对称,则φ的最小值为 . 答案 解析 函数f(x)=sinωx+cosωx=2sin(ω>0),当|f(m)-f(n)|=4时,|m-n|的最小值为=·,∴ω=3,故f(x)=2sin.将函数f(x)的图象向右平移φ(φ>0)个单位长度后,得到y=2sin的图象.根据所得函数图象关于y轴对称,可得-3φ+=kπ+,k∈Z,即φ=--,k∈Z,令k=-1,可得φ的最小值为.9.(2019海南文昌中学三模,16)若函数f(x)=sin(0<ω<1)在区间(π,2π)内有最值,则ω的取值范围为 . 答案 ∪解析 若函数f(x)有最值,则ωx+=kπ+,k∈Z,即ωx=kπ+,即x=,k∈Z,∵f(x)在区间(π,2π)内有最值,∴π<<2π,即1<<2,即ω<k+<2ω,则k∈Z,由k+>0得k>-,当k=0时,<ω<,当k=1时,<ω<,∵0<ω<1,∴<ω<1,综上所述,<ω<或<ω<1,10.(2016宁夏育才中学第四次月考,16)关于函数f(x)=cos2x-2sinxcosx有下列命题:①若存在x1,x2有x1-x2=π,则f(x1)=f(x2)成立;②f(x)在区间上单调递增;③函数f(x)的图象关于点中心对称;④将函数f(x)的图象向左平移个单位后将与y=2sin2x的图象重合.其中正确命题的序号是 .(把你认为正确命题的序号都填上) 答案 ①③解析 f(x)=2cos,可知函数的最小正周期T=π,所以①正确;当x∈时,2x+∈[0,π],因为y=cosx在[0,π]上是减函数,所以f(x)在区间上单调递减,所以②错误;因为f=2cos=0,所以③正确;因为f=2cos=-2cos≠2sin2x,故④错误,故答案为①③.11.(2018北京海淀二模,16)已知函数f(x)=2cosxsinx-+.(1)写出f(x)图象的相邻两条对称轴间的距离;(2)若函数f(x)在区间[0,α]上单调递增,求α的最大值.解析 (1)f(x)=2cosx+=sinxcosx-cos2x+=sin2x-·+=sin2x-cos2x=sin.所以函数f(x)的最小正周期T==π.所以f(x)图象的相邻两条对称轴间的距离为,即. (6分)(2)由(1)可知f(x)=sin.当x∈[0,α]时,2x-∈.因为y=sinx在上单调递增,且f(x)在[0,α]上单调递增,所以⊆,所以解得0<α≤π.故α的最大值为π. (13分)12.(2019北京东城一模文,15)已知函数f(x)=4cosx·sin+1.(1)求f的值;(2)求f(x)的最小正周期,并画出f(x)在区间[0,π]上的图象.解析 (1)f=4cossin+1=4cossin+1=4××1+1=-1. (3分)(2)f(x)=4cosxsin+1=4cosx+1=4cosx+1=2sinxcosx-2cos2x+1=sin2x-cos2x=2=2sin. (9分)所以f(x)的最小正周期T==π. (10分)因为x∈[0,π],所以2x-∈.列表如下:2x--0πx0πf(x)-1020-2-1 13.(2019四川绵阳一诊,18)已知函数f(x)=sin+4cos2x,将函数f(x)的图象向右平移个单位,再向下平移2个单位,得到函数g(x)的图象.(1)求g(x)的解析式;(2)求g(x)在上的单调递减区间及值域.解析 (1)f(x)=sin+4cos2x=+2(1+cos2x)=sin2x-cos2x+2cos2x+2=sin2x+cos2x+2=sin+2.由题意得g(x)=sin+2-2,化简得g(x)=sin.(2)由≤x≤,可得≤2x-≤.当≤2x-≤即≤x≤时,函数g(x)单调递减.∴g(x)在上的单调递减区间为.∵g(x)在上单调递增,在上单调递减,∴g(x)max=g=sin=1.又g=sin=sin=-sin=-<g=sin=,∴-≤g(x)≤1,即g(x)在上的值域为.
相关试卷
这是一份新人教A版高考数学二轮复习专题五三角函数与解三角形2三角恒等变换专题检测含解析,共7页。试卷主要包含了21+sin4+2+2cs4=等内容,欢迎下载使用。
这是一份新人教A版高考数学二轮复习专题五三角函数与解三角形4解三角形及其综合应用综合集训含解析,共20页。
这是一份新人教A版高考数学二轮复习专题五三角函数与解三角形4解三角形及其综合应用专题检测含解析,共11页。试卷主要包含了故选B,所以AD=1,CD=2等内容,欢迎下载使用。