所属成套资源:2022中考数学考点必杀500题(江苏专用)
专练14-30题(二次函数压轴大题)2022中考数学考点必杀500题(江苏专用)
展开
这是一份专练14-30题(二次函数压轴大题)2022中考数学考点必杀500题(江苏专用),文件包含专练14-30题二次函数压轴大题2022中考数学考点必杀500题江苏专用解析版docx、专练14-30题二次函数压轴大题2022中考数学考点必杀500题江苏专用原卷版docx等2份试卷配套教学资源,其中试卷共110页, 欢迎下载使用。
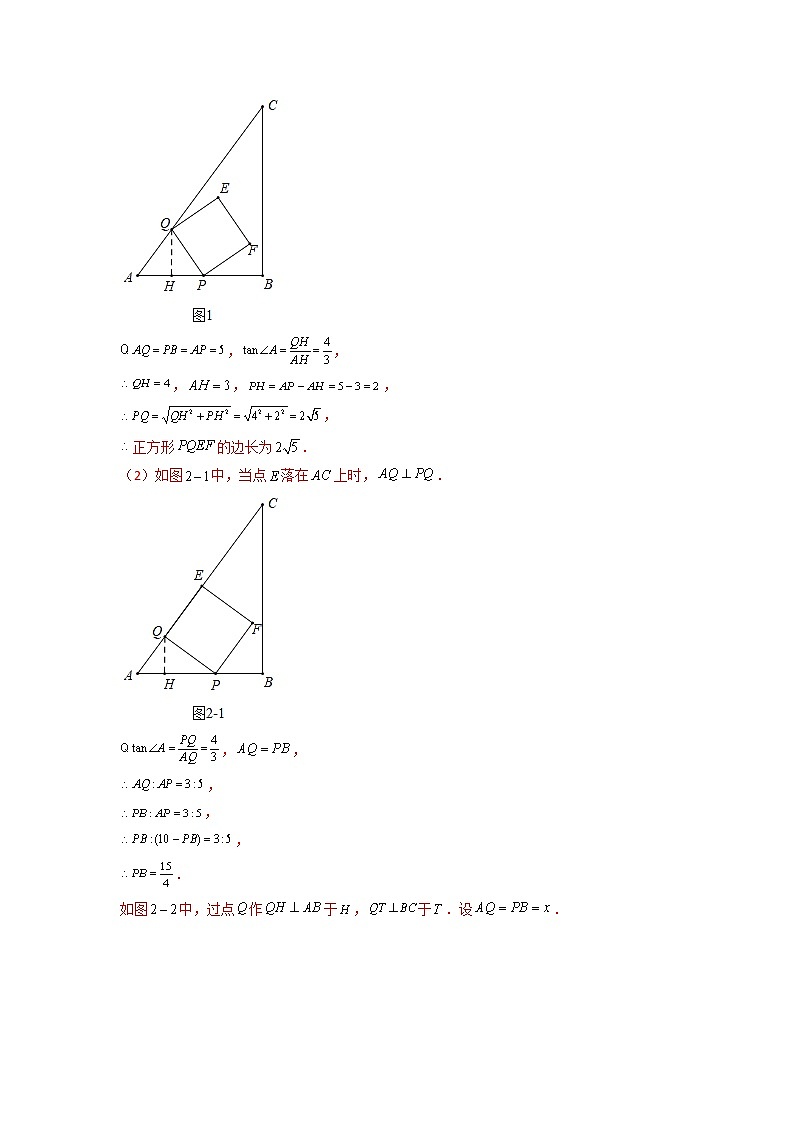
2022中考考点必杀500题专练14(二次函数压轴大题)(30道) 1.(2021·江苏扬州·二模)如图,在△ABC中,∠ABC=90°,点P从点B向点A运动,点Q从点A向点C运动,两点同时出发,当点P到达点A时停止(同时点Q也停止),连接PQ,以PQ为边顺时针方向作正方形PQEF.已知AB=10,tanA=,BP=AQ.(1)若点P运动到AB中点处,求正方形PQEF的边长;(2)若点E落在△ABC的一边上,求BP长;(3)在点P、Q的运动过程中,△APQ的面积是否存在最大值,若存在,请求出最大值,若不存在,请说明理由.2.(2021·江苏盐城·三模)【阅读理解】设点在矩形内部,当点到矩形的一条边的两个端点距离相等时,称点为该边的“和谐点”.例如:如图1,矩形中,若,则称为边的“和谐点”.【解题运用】已知,点在矩形内部,且,.(1)设是边的“和谐点”,则_____边的“和谐点”(填“是”或“不是”);连接,,求的值.(2)若是边的“和谐点”,连接,,当时,求的值;(3)如图2,若是边的“和谐点”,连接;,,求的最大值.3.(2021·江苏苏州·一模)对于二次函数和一次函数,把称为这两个函数的“再生二次函数”,其中t是不为零的实数,其图像记作抛物线E,现有点和抛物线E上的点,请完成下列任务;【尝试】判断点A是否在抛物线E上.【发现】对于t取任何不为零的实数,抛物线E总过定点,坐标为_______.【应用】以为边作矩形,使得其中一个顶点落在y轴上:若抛物线E经过A,B,C,D其中的三点,求出所有符合条件的t的值.4.(2021·江苏无锡·一模)如图,抛物线y=mx2﹣4mx+n(m>0)与x轴交于A,B两点,点B在点A的右侧,抛物线与y轴正半轴交于点C,连接CA、CB,已知tan∠CAO=3,sin∠CBO=.(1)求抛物线的对称轴与抛物线的解析式;(2)设D为抛物线对称轴上一点.①当△BCD的外接圆的圆心在△BCD的边上时,求点D的坐标;②若△BCD是锐角三角形,直接写出点D的纵坐标n的取值范围.5.(2021·江苏·一模)如图,在平面直角坐标系中,已知菱形ABCD,A(−3,0),B(2,0),D在y轴上.直线l从出发,以每秒1个单位长度的速度沿向左平移,分别与交于.设的面积为S,直线l平移时间为.(1)求点C的坐标(2)求S与t的函数表达式;(3)过点B作,垂足为G,连接,设的面积为的面积为,当时,若点在内部(不包括边),求a的取值范围.6.(2021·江苏苏州·一模)题一:已知二次函数:(为常数),当取不同的值时,其图像构成一个“抛物线系”.我们发现:是当取不同数值时,此二次函数的图像的顶点在同一条直线上,那么这条直线的表达式是______.问题二:已知直线交轴于点.交y轴于点,抛物线(为常数)图像的顶点为.(1)如图1,若点在的内部(不包括边界),求的取值范围;(2)如图2,当抛物线的图像经过点A,时,在抛物线上(的下方)是否存在点.使?若存在,求出点的横坐标;若不存在.请说明理由.7.(2021·江苏常州·一模)如图,在平面直角坐标系中,已知二次函数的图像与y轴交于点B,抛物线的对称轴是直线l,顶点是A,过点B作交x轴于点C,交抛物线于点D,连接.将线段沿线段平移得到(点E与点A对应、点F与点B对应),连接.(1)填空:线段______;(2)若点F恰好落在直线l上,求的长;(3)连接并延长交抛物线于点Q,若,求点Q的坐标.8.(2021·江苏苏州·一模)如图,二次函数的图像与x轴交于点,,与y轴交于点C,P为线段上一动点,将射线绕P逆时针方向旋转后与函数图像交于点Q. (1)求二次函数的表达式;(2)当P在二次函数对称轴上时,求此时的长; (3)求线段的最大值;(4)抛物线对称轴上是否存在D,使P、Q、B、D四点能构成平行四边形,若存在,请求出点D的坐标,若不存在,请说明理由.9.(2021·江苏南通·二模)定义:有一条边等于这条边上高的两倍的三角形叫做底倍高三角形,这条边叫做这个三角形的倍底.在平面直角坐标系xOy中,已知点A(-2,-2),点B(4,-8),△ABC是以AB为倍底的底倍高三角形.(1)概念理解请你根据上述定义举一个底倍高三角形的例子;(2)问题探究设点P(m,m2),其中-2<m<4,当PC取最小值时,求点C的坐标;(3)应用拓展已知⊙I的半径为1,圆心I在直线y=x-6上,且点C在⊙I上,设圆心I的横坐标为a,试直接写出a的取值范围.10.(2021·江苏南京·二模)已知二次函数(为常数,且).(1)求二次函数的顶点坐标;(2)设该二次函数图像上两点、,点和点间(含点、)的图像上有一点,将点纵坐标的最大值和最小值的差记为.①当时,若点和点关于二次函数对称轴对称,求的值;②若存在点和点使得的值是4,则的取值范围是______.11.(2021·江苏南京·二模)已知二次函数.(1)若图像经过点.①的值为______;②无论为何值,图像一定经过另一个定点______.(2)若图像与轴只有1个公共点,求与的数量关系.(3)若该函数图像经过,写出函数图像与坐标轴的公共点个数及对应的的取值范围.12.(2021·江苏连云港·一模)抛物线与x轴交于A,B两点(点A在点B的左边),与y轴正半轴交于点C.(1)如图1,若,,①求抛物线的解析式;②Р为抛物线上一点,连接、,若,求点P的坐标;(2)如图2,D为x轴下方抛物线上一点,连,,若,求点D的纵坐标.13.(2021·江苏泰州·二模)在平面直角坐标系中,点、是二次函数图像上的两个点.(1)当时,求该二次函数图像与x轴的交点坐标:(2)当时,①判断的值是否随着a的变化而变化?若不变,求的值;若变化,说明理由;②若,求t的值;(3)若,且,求出所有符合条件的正整数m的值;14.(2021·江苏镇江·二模)如图1,在平面直角坐标系中抛物线与x轴交于点、.与y轴交于点C,点P是该抛物线的对称轴(x轴上方部分)上的一个动点.(1)求抛物线的函数表达式;(2)连接AP、BP将沿直线AP翻折,得到,当点落在该抛物线的对称轴上时,求点P的坐标;(3)如图2,过点P作轴交抛物线于点E、F,连接AC,交线段EF于M,AC、OF交于点N.求的最大值.15.(2021·江苏连云港·二模)如图,二次函数的图像与x轴交于点A、B,已知与y轴交于点,该抛物线的顶点为点D. (1)二次函数的表达式为 ,点D的坐标为 ;(2)连接BC.①在抛物线上存在一点P,使得,求点P的坐标;②若是抛物线上动点,则是否存在点,使得?若存在,直接写出点的横坐标的取值范围;若不存在,说明理由.16.(2021·江苏徐州·二模)如图,在平面直角坐标系中,抛物线y=ax2+bx+c经过A(3,0)、B(﹣1,0)、C(0,3).(1)求抛物线的函数表达式;(2)点D是线段BC上一动点,点D关于AC、AB的对称点分别为点M、N,连接MN交线段AC、AB于E、F.求MF•NE最小值;(3)点J是抛物线顶点,连接JC、JA,点H为抛物线对称轴上一动点,设纵坐标为m,过点H的直线交边CJ于P,交边JA于Q,若对于每个确定的m值,有且只有一个△JQP与△JCA相似,请直接写出m的取值范围.17.(2021·江苏扬州·二模)小明在学习函数的过程中遇到这样一个函数:y=[x],若x≥0时,[x]=x2﹣1;若x<0时,x=﹣x+1.小明根据学习函数的经验,对该函数进行了探究.(1)下列关于该函数图像的性质正确的是 ;(填序号)①y随x的增大而增大;②该函数图像关于y轴对称;③当x=0时,函数有最小值为﹣1;④该函数图像不经过第三象限.(2)①在平面直角坐标系xOy中画出该函数图像;②若关于x的方程2x+c=[x]有两个互不相等的实数根,请结合函数图像,直接写出c的取值范围是 ;(3)若点(a,b)在函数y=x﹣3图像上,且﹣<[a]≤2,则b的取值范围是 .18.(2021·江苏盐城·二模)如图坐标系中,矩形ABCD的边BC在 y轴上,B(0,8),BC=10,CD=5,将矩形ABCD绕点B逆时针旋转使点C落在x轴上.现已知抛物线y=ax2+bx+c(a≠0)过点D、C′和原点O.(1)求抛物线的解析式;(2)将矩形A′BC′D′沿直线BC′翻折,点A′的对应点为M,请判断点M是否在所给抛物线上,并简述理由;(3)在抛物线上是否存在一点P,使∠POC′=2∠CBD,若存在,求出点P的坐标,若不存在,请说明理由;19.(2021·江苏淮安·二模)如图1,在平面直角坐标系中,抛物线与x轴交于,两点,与y轴交于点C.(1)求抛物线的解析式;(2)求直线AC的解析式;(3)试探究:在抛物线上是否存在一点P,使是以AC为直角边的直角三角形?若存在,请求出符合条件的点P的坐标;若不存在,请说明理由;(4)如图2,点Q是x轴上一动点,将△ACQ沿CQ翻折,得△DCQ,连接BD,请直接写出BD的最小值.20.(2021·江苏盐城·一模)如图1,一次函数y=-x-3的图像与x轴交于点A,与y轴交于点C,过A、C两点的抛物线y=ax²+bx+c与x轴交于另一点B(1,0) (1)求抛物线的解析式;(2)如图2,连接BC,若点D为BC的中点.①求直线AD的表达式;②以AC为直径作⊙M交直线AD于点N,求点N的坐标;(3)如图3,若点E为AB的中点,点F为抛物线上一点,直线EF与AC所夹锐角为α,且tanα=,求点F的坐标(直接写出坐标).21.(2021·江苏苏州·一模)立志成为数学家的波波,根据黄金分割点的概念和勾股定理研究出如下定义:如图1,点M,N在线段上,点M在点N的左侧,若线段,,满足,则称点M、N是线段的钻石分割点.(1)【类比探究】如图2,D、E是、上两点,且,M、N是边的钻石分割点,连接、分别交于点G、H.求证:G、H是线段的钻石分割点.(2)【知识迁移】如图3,点是反比例函数上的动点,直线与坐标轴分别交于A、B两点,过点P分别向x、y轴作垂线,垂足为C、D,且交线段于E、F.证明:E、F是线段的钻石分割点.(3)【拓展应用】如图4,已知一次函数与坐标轴交于A、B两点,与二次函数交于C、D两点,若C、D是线段的钻石分割点,求m的值.22.(2021·江苏苏州·二模)如图1,已知二次函数的图像经过点点和点,连接,线段上有一动点P,过点P作的平行线交直线于点D,交抛物线于点E.(1)求二次函数的解析式;(2)移动点P,求线段的最大值;(3)如图2,过点E作y轴的平行线交于点F,连接,若以点C、D、P为顶点的三角形和是相似三角形,求此时点P坐标.23.(2021·江苏·淮阴中学新城校区一模)如图1,在平面直角坐标系中,二次函数的图像经过点A(,0)和点B(0,2),点P为二次函数图像上一动点且在直线AB上方,作PC平行于y轴交AB于点C,连接PB,OC图1 图2 备用图(1)求二次函数的表达式;(2)当线段PC=2时,求点P的坐标;(3)在(2)的条件下:①判断四边形PBOC的形状,并说明理由;②如图2,将四边形PBOC沿射线BA平移得到四边形,直线与x轴交于点D,连接,,当为等腰三角形时,直接写出点D的坐标.24.(2021·江苏扬州·二模)如图1,已知△ABC中,AB=10cm,AC=8cm,BC=6cm.如果点P由B出发沿BA方向向点A匀速运动,同时点Q由A出发沿AC方向向点C匀速运动,它们的速度均为cm/s(当P、Q两个点中有一个点到达终点时,即停止).连接PQ,设P的运动的时间为t(单位:s).设CQ=y,运动时间为x(s),y与x函数关系如图②所示:解答下列问题:(1)的值_______________;当_______________时,;(2)设面积为S(单位:cm2),当t为何值时,S取得最大值,并求出最大值.(3)是否存在某一时刻使得为等腰三角形,如果存在请直接写出t的值,如果不存在请说明理由.(4)如图3连接BQ、CP交于点E,求当时,t的值.25.(2021·江苏盐城·二模)我们不妨约定,过坐标平面内任意两点(例如,两点)作轴的垂线,两个垂足之间的距离叫做这两点在轴上的“足距”,记作.根据该约定,完成下列各题:(1)若点,.当点,在函数的图象上时,______;当点,在函数的图象上时,______.(2)若反比例函数()的图象上有两点,,当时,求正整数的值.(3)在(2)条件下抛物线与轴交于,两点,与轴交于点.如图,点是该抛物线的顶点,点是第一象限内该抛物线上的一个点,分别连接、、,当时,求的值.26.(2021·江苏盐城·三模)如图,直线y=﹣2x+4交x轴于点A,交y轴于点B,抛物线y=ax2+bx+c(a≠0)经过点A、E,点E的坐标是(5,3),抛物线交x轴于另一点C(6,0).(1)求抛物线的解析式. (2)设抛物线的顶点为D,连接BD,AD,CD,动点P在BD上以每秒2个单位长度的速度由点B向点D运动,同时动点Q在线段CA上以每秒3个单位长度的速度由点C向点A运动,当其中一个点到达终点停止运动时,另一个点也随之停止运动,设运动时间为t秒,PQ交线段AD于点H.①当∠DPH=∠CAD时,求t的值;②过点H作HM⊥BD,垂足为点M,过点P作PN⊥BD交线段AB于点N.在点P、Q的运动过程中,是否存在以点P,N,H,M为顶点的四边形是矩形?若存在,求出t的值;若不存在,请说明理由.27.(2021·江苏常州·二模)如图,在平面直角坐标系中,二次函数的图像与x轴交于点和点B(点A在点B的左侧),与y轴交于点C,连接.(1)填空:_______;(2)设抛物线的顶点是D,连接,,将绕点B顺时针旋转,当射线经过点D时,射线与抛物线交于点P,求点P的坐标;(3)设E是x轴上位于点B右侧的一点,F是第一象限内一点,轴且,点H是线段上一点,以、为邻边作矩形,,垂足为T,连接,.若与相似,求的长.28.(2021·江苏淮安·二模)在平面直角坐标系xOy中,二次函数y=ax2+bx的图象与x轴交于O、A两点,其顶点B的坐标为(2,﹣6).(1)求a、b的值;(2)如图1,点C是该二次函数图象的对称轴上的一个动点,连接BO、CO,当△OBC是以BC为腰的等腰三角形时,求点C的坐标;(3)如图2,P是该二次函数图象上的位于第一象限内的一个动点,连接OP,与对称轴交于点M,点Q在OP上,满足=,设点P的横坐标为n;①请用含n的代数式表示点Q的坐标(,);②连接BQ,OB,当△OBQ的面积为15时,求点P的坐标;③当∠POA=2∠OBM时,直接写出点P的横坐标.29.(2021·江苏镇江·二模)已知抛物线交x轴于点和点,其对称轴为直线l,点C在l上,坐标为,射线沿着直线翻折,交l于点F,如图(1)所示.(1)______,_______;(2)如图(2),点P在x轴上方的抛物线上,点E在直线l上,且,求证:.(3)在(2)的条件下,直接写出的值=______;直接写出点P的坐标(____,____). 30.(2021·江苏盐城·二模)如图,在平面直角坐标系xOy中,抛物线y=x2+bx+c与x轴交于A、B两点,与y轴交于点C,对称轴为直线x=2,点A的坐标为(1,0).(1)求该抛物线的表达式及顶点坐标;(2)点P为抛物线上一点(不与点A重合),连接PC.当∠PCB=∠ACB时,求点P的坐标;(3)在(2)的条件下,在对称轴上是否存在一点Q,连接PQ,将线段PQ绕点Q顺时针旋转90°,使点P恰好落在抛物线上?若存在,请求出点Q的坐标;若不存在,请说明理由.
相关试卷
这是一份专练13-30题(圆大题)2022中考数学考点必杀500题(江苏专用),文件包含专练13-30题圆大题2022中考数学考点必杀500题江苏专用解析版docx、专练13-30题圆大题2022中考数学考点必杀500题江苏专用原卷版docx等2份试卷配套教学资源,其中试卷共82页, 欢迎下载使用。
这是一份专练15-30题(几何压轴大题)2022中考数学考点必杀500题(江苏专用),文件包含专练15-30题几何压轴大题2022中考数学考点必杀500题江苏专用解析版docx、专练15-30题几何压轴大题2022中考数学考点必杀500题江苏专用原卷版docx等2份试卷配套教学资源,其中试卷共119页, 欢迎下载使用。
这是一份专练03-50题(选择题-压轴)2022中考数学考点必杀500题(江苏专用),文件包含专练03-50题选择题-压轴2022中考数学考点必杀500题江苏专用解析版docx、专练03-50题选择题-压轴2022中考数学考点必杀500题江苏专用原卷版docx等2份试卷配套教学资源,其中试卷共94页, 欢迎下载使用。

