资料中包含下列文件,点击文件名可预览资料内容
还剩2页未读,
继续阅读
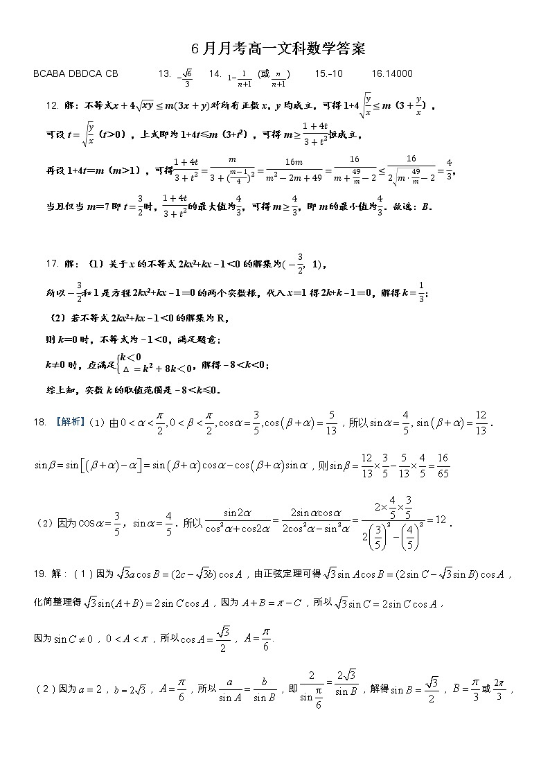
2021成都外国语学校高一下学期第三次(6月)月考数学(文)试题含答案
展开
这是一份2021成都外国语学校高一下学期第三次(6月)月考数学(文)试题含答案,文件包含四川省成都外国语学校2020-2021学年高一下学期6月月考数学文试题docx、答案docx、答题卡docx等3份试卷配套教学资源,其中试卷共9页, 欢迎下载使用。
相关试卷
2021成都外国语学校高一4月月考数学(文)试卷含答案:
这是一份2021成都外国语学校高一4月月考数学(文)试卷含答案试卷主要包含了选择题,填空题,解答题等内容,欢迎下载使用。
2021成都外国语学校高二4月月考数学(文)试卷含答案:
这是一份2021成都外国语学校高二4月月考数学(文)试卷含答案
2021成都外国语学校、成都实验外国语高三12月月考数学(理)试题含答案:
这是一份2021成都外国语学校、成都实验外国语高三12月月考数学(理)试题含答案

