所属成套资源:2022唐山三模卷及答案(全学科)
2022届河北省唐山市高三三模数学卷及答案(文字版)
展开
这是一份2022届河北省唐山市高三三模数学卷及答案(文字版),文件包含2022届河北省唐山市高三三模数学答案docx、2022届河北省唐山市高三三模数学试卷docx等2份试卷配套教学资源,其中试卷共12页, 欢迎下载使用。
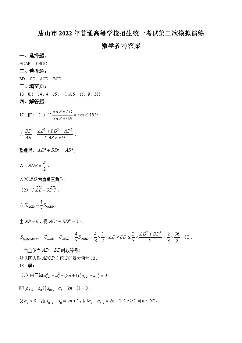
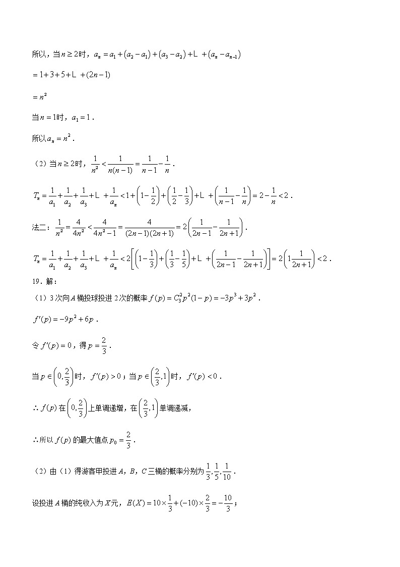
唐山市2022年普通高等学校招生统一考试第三次模拟演练数学参考答案一、选择题:ADAB CBDC二、选择题:BD CD ACD BCD三、填空题:13.0.6 14.4 15.或5 16.9,385四、解答题:17.解:(1)∵,∴,整理得,,∴.∴为直角三角形.(2)∵,∴.由,得..(当且仅当时取等号)所以四边形面积S的最大值为12.18.解:(1)由已知,即.又,故,即(且).所以,当时,当时,.所以.(2)当时,..法二:..19.解:(1)3次向A桶投球投进2次的概率..令,得.当时,;当时,.∴在上单调递增,在单调递减,∴所以的最大值点.(2)由(1)得游客甲投进A,B,C三桶的概率分别为.设投进A桶的纯收入为X元,;设投进B桶的纯收入为Y元,;设投进C桶的纯收入为Z元,;因为所以游客甲选择向B桶投球更有利.20.解:(1)证明:取中点F,连接.∴,∴四边形为菱形,四边形为平行四边形.∴,∴.又∵,∴平面.又∵平面,∴.又∵平面平面,且平面平面,∴平面.(2)∵平面,∴,∴.又∵,∴,又∵,∴底面是直角梯形.以所在直线分别为x轴,y轴,z轴建立空间直角坐标系,则.,.平面的一个法向量为,设平面的一个法向量为,由得取.∴,∴平面与平面所成锐二面角的余弦值为.21.解:解:(1)设动圆圆心,半径为r,由已知可得,∴,化简得.∴曲线C的方程为.(2)由已知直线l的斜率一定存在,设l的方程为.由得,,∴.由得,.所以切线的斜率为,切线的方程为,即,①同理可得,切线的方程为,②由①②得,∴,∴∵,∴,即,化简得,,∴.∴或.∴直线l的斜率,∴直线l的方程为或.22.解:(1)当时,函数,定义域为..由,得.当时,,当时,,所以的单调递减区间为,单调递增区间为.(2)①若函数在定义域内有两个不相等的零点,则方程有两个不等的实根.即方程有两个不等的实根.记,则,记,则在上单减,且,∴当时,;当时,,∴在上单调递增,在单调递减.∴.又∵且当时,,∴方程为有两个不等的实根时,.∴当时函数在定义域内有两个不相等的零点.②要证,只需证,只需证,因为,两式相减得:.整理得.所以只需证,即证,即,不妨设,令,只需证,只需证,设,只需证当时,即可.∵,∴在(单调递减,∴当时,,∴在单调递增,当时,∴原不等式得证.
相关试卷
这是一份河北省唐山市2023届高三三模数学试题 Word版无答案,共6页。
这是一份2023届河北省唐山市高三三模数学试题含解析,共19页。试卷主要包含了单选题,多选题,填空题,双空题,解答题等内容,欢迎下载使用。
这是一份河北省唐山市2023届高三三模数学试题,共28页。

