


高中数学讲义微专题55 数列中的不等关系学案
展开
这是一份高中数学讲义微专题55 数列中的不等关系学案,共26页。学案主要包含了基础知识,典型例题,历年好题精选等内容,欢迎下载使用。
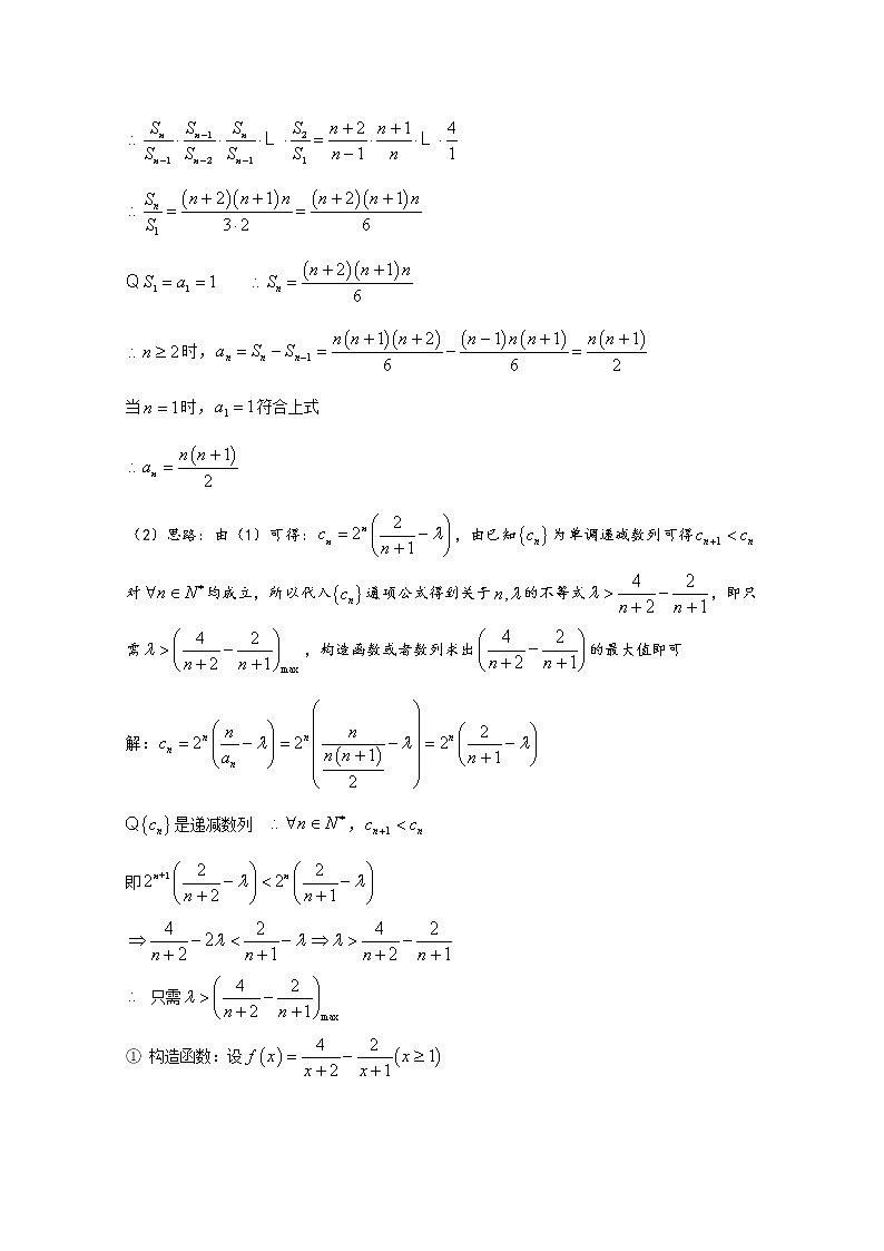
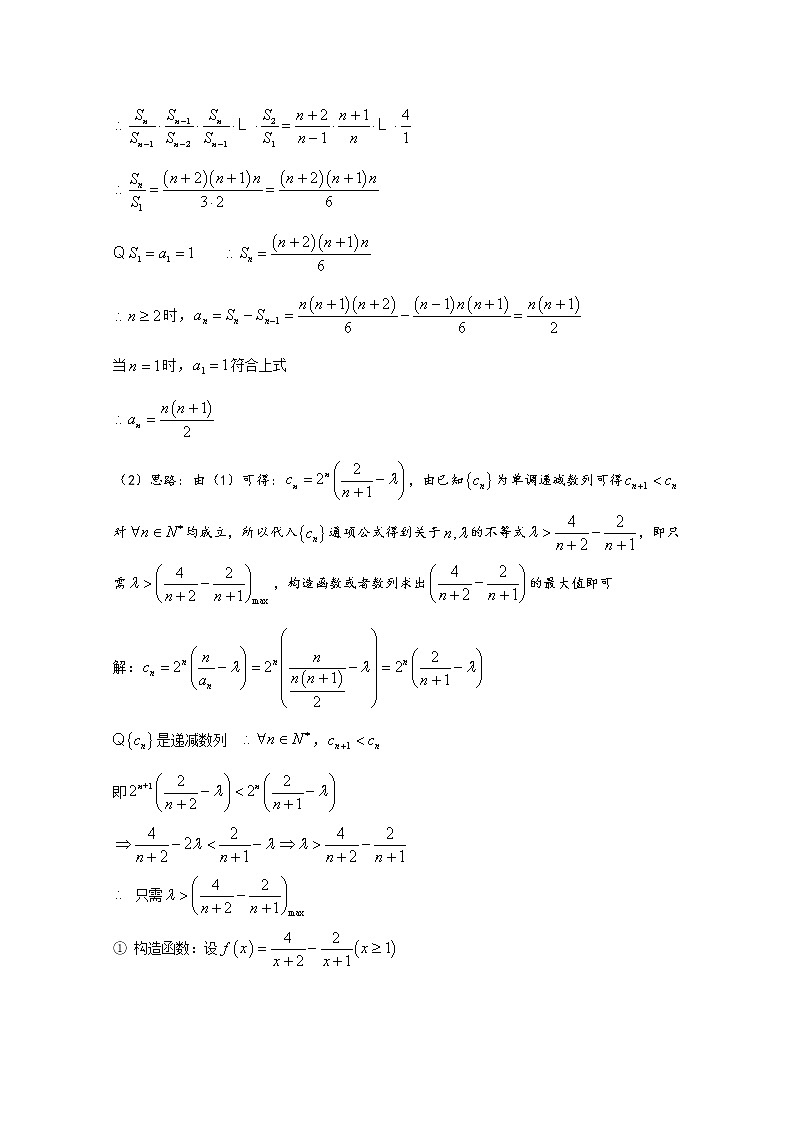
www.ks5u.com第55炼 数列中的不等关系一、基础知识:1、在数列中涉及到的不等关系通常与数列的最值有关,而要求的数列中的最值项,要依靠数列的单调性,所以判断数列的单调性往往是此类问题的入手点2、如何判断数列的单调性:(1)函数角度:从通项公式入手,将其视为关于的函数,然后通过函数的单调性来判断数列的单调性。由于 ,所以如果需要用到导数,首先要构造一个与通项公式形式相同,但定义域为 的函数,得到函数的单调性后再结合得到数列的单调性(2)相邻项比较:在通项公式不便于直接分析单调性时,可考虑进行相邻项的比较得出数列的单调性,通常的手段就是作差(与0比较,从而转化为判断符号问题)或作商(与1比较,但要求是正项数列)3、用数列的眼光去看待有特征的一列数:在解数列题目时,不要狭隘的认为只有题目中的是数列,实质上只要是有规律的一排数,都可以视为数列,都可以运用数列的知识来进行处理。比如:含的表达式就可以看作是一个数列的通项公式;某数列的前项和也可看做数列等等。4、对于某数列的前项和,在判断其单调性时可以考虑从解析式出发,用函数的观点解决。也可以考虑相邻项比较。在相邻项比较的过程中可发现:,所以的增减由所加项的符号确定。进而把问题转化成为判断的符号问题二、典型例题例1:已知数列,前项和满足 (1)求的通项公式 (2)设,若数列是单调递减数列,求实数的取值范围 解:(1) 时, 当时,符合上式 (2)思路:由(1)可得:,由已知为单调递减数列可得对均成立,所以代入通项公式得到关于的不等式,即只需,构造函数或者数列求出的最大值即可解:是递减数列 ,即 只需① 构造函数:设 则 所以在单调递增,在单调递减 时, 即 ② 构造数列:设数列的通项公式 时,,即当时, 所以的最大项为 例2:已知等差数列中,,记数列的前项和为,若,对任意的恒成立,则整数的最小值是( )A. B. C. D. 思路:若恒成立,,要找,则需先确定的通项公式得到:,所以,发现无法直接求和,很难变为简单的表达式,所以考虑将视为一个数列,通过相邻项比较寻找其单调性:,进而单调递减,,所以,从而 答案:B例3:已知数列满足,若为等比数列,且(1)求(2)设,记数列的前项和为① 求② 求正整数,使得对于,均有解:(1) 或(舍)(2)① ② 思路:实质是求取到最大值的项,考虑分析的单调性,从解析式上很难通过函数的单调性判断,从而考虑相邻项比较。对于而言,的增减受符号的影响,所以将问题转化为判断的符号。可估计出当取得值较大时,会由正项变为负项。所以只要寻找到正负的分界点即可解:当时,可验证,从而可得设,则当时,递减时, 时,均有例4:已知数列的前项和为且,数列满足:,,其前项和为(1)求(2)令,记的前项和为,对,均有,求的最小值解:(1)为公差是的等差数列 时,符合上式 为等差数列设前项和为 (2)思路:依题意可得:,可求出,从而,若最小,则应最接近的最大最小值(或是临界值),所以问题转化成为求的范围,可分析其单调性。单调递增。所以最小值为,而当时,,所以无限接近,故的取值范围为中的离散点,从而求出的最小值解:设,可知递增,当时, 若最小,则 例5、数列的前项和,数列满足 (1)求数列的通项公式(2)求证:当时,数列为等比数列(3)在(2)的条件下,设数列的前项和为,若数列中只有最小,求的取值范围解:(1) 符合上式 (2)考虑即 数列为等比数列(3)思路:由(2)可求得通项公式,但不知其单调性,但可以先考虑必要条件以缩小的取值范围。若要最小,则最起码要比小,从而先求出满足的必要条件(也许最后结果是其子集),在这个范围内可判定为递增数列,从而能保证最小由(2)可得:是公比为的等比数列 若要最小,则必然要即 则,所以为递增数列,符合最小的条件所以小炼有话说:在求参数范围时如果不能一次准确列出参数所满足的条件,可先写出其必要条件适当缩小其取值范围,往往会给解题带来新的突破口例6:(2014,文登市二模)各项均为正数的数列 ,其前项和为,满足 ,且 (1)求数列的通项公式(2)若,令,设数列的前项和为,试比较与的大小解:(1) (舍)或是公比为2的等比数列,解得: (2)思路:由(1)可得,进而可求出,比较大小只需两式作差,再进行化简通分可得。利用函数或构造数列判断出的符号即可解: 设 ,可得 为减函数 例7:(2014,湖南模拟)已知各项都为正数的数列的前项和为,且对任意的,都有(其中,且为常数),记数列的前项和为 (1) 求数列的通项公式及(2)当时,将数列的前项抽去其中一项后,剩下三项按原来的顺序恰为等比数列的前项,记的前项和为 ,若存在,使得对任意,总有恒成立,求实数的取值范围解:(1) ① ②①②可得: 即为公差是的等差数列在令得:解得: (2)思路:本小问实质是在数列背景下的多元恒成立问题,先求的表达式。由已知可得:时,,要解决,首先要解出等比数列的通项公式。时,,进而 显然抽去的应为,所以,得到, ,所以要处理的恒成立不等式为:。 再利用最值逐步消元即可解:时,,进而成公比为的等比数列,即的公比为,且 而由(1),当时,,所以恒成立的不等式为:,所以设 可得为递增函数 所以对任意的均成立即设 为减函数 小炼有话说:本题在处理恒成立问题时,两个阶段对变量量词的不同导致取最大还是最小值要明确区分。第一阶段是存在,也就是说只要有满足不等式即可,所以只要最小值比右边小,就意味着已经存在这样的;第二阶段是对任意的,不等式均要成立,所以只要最大值满足不等式,剩下的函数值也必然能满足不等式。例8:已知数列的前项和,数列满足 (1)求证:数列是等差数列,并求数列的通项公式 (2)设数列满足(为非零整数,),问是否存在整数,使得对任意,都有 解:(1) 即是公差为1的等差数列 在令得: (2)思路:由(1)可得:,所以等同于,化简可得: ,而的奇偶将决定的符号,所以要进行分类讨论解:由(1)可得:则等价于: 当为奇数时,恒成立不等式为:所以只需当为偶数时,恒成立不等式为:所以只需 例9:已知数列前项和为,且 (1)求的通项公式 (2)设,若集合恰有个元素,则实数的取值范围 解:(1) (2)思路:由(1)所得通项公式可利用错位相减法求 ,进而得到,要读懂集合恰有4个元素的含义,根据描述的特点可知:集合中的元素应该为从大到小排前4项的序数,所以只需判断出的单调性,并结合单调性选出较大的前4项,便可确定的取值。解: 两式相减可得: 下面考虑的单调性 时,,即时,,所以 而 从大到小排的前4项为: 例10:(2015,天元区校级模拟)已知数列满足 (1)当时,求数列的前项和 (2)若对任意,都有成立,求的取值范围解:(1) ① ②①②可得: 中奇数项成等差数列,偶数项成等差数列,公差均为4当时, 当为奇数时, 所以当为偶数时 为奇数时 (2)思路:考虑将不等式转化为的不等式,由(1)可得的奇数项,偶数项各为等差数列,所以只要通过分类讨论确定的奇偶,即可把均用表示,再求出范围即可解:由(1)可得:的奇数项,偶数项各为等差数列,且公差为4当为奇数时, 化简后可得: 所以只需设 解得:或当为偶数时,同理:, 化简可得:即设可得:综上所述:或三、历年好题精选1、已知数列的前项和为,且(1)若,求数列的前项和(2)若,求证:数列是等比数列,并求其通项公式(3)记,若对任意的恒成立,求实数的最大值 2、已知数列是首项的等比数列,其前项和中成等差数列(1)求数列的通项公式(2)设,若,求证: 3、已知数列满足:,且(1)证明:数列为等比数列(2)求数列的通项公式(3)设(为非零整数),试确定的值,使得对任意,都有成立4、已知数列中,(为非零常数),其前项和满足(1)求数列的通项公式(2)若,且,求的值(3)是否存在实数,使得对任意正整数,数列中满足的最大项恰为第项?若存在,分别求出的取值范围;若不存在,请说明理由5、(2016,无锡联考)数列的前项和为,且对一切正整数都有.(1)求证:(2)求数列的通项公式(3)是否存在实数,使得不等式对一切正整数都成立?若存在,求出的取值范围;若不存在,请说明理由6、已知函数,数列满足(1)求的通项公式(2)令,,若对一切成立,求最小正整数7、(2016,贵阳一中四月考)已知数列的前项和为,,且,数列满足,对任意,都有(1)求数列的通项公式(2)令,若对任意的,不等式恒成立,试求实数的取值范围8、设数列为数列的前项和,且(1)求的通项公式(2)设,数列的前项和,若存在整数,使得对任意的都有成立,求的最大值 习题答案:1、解析:(1)(2)由可知,代入可得:时,代入可得:,即是公比为的等比数列在中,令可得:(3)可知为递减数列 为递增数列即的最大值为2、解析:(1)成等差数列(2)由(1)可得: 为递增数列综上所述:3、解:(1) 是公比为的等比数列(2)当时,,即当时, 是公差为的等差数列即(3)由(2)可得: 恒成立不等式为:当为奇数时,当为偶数时, 4、解析:(1)由已知令,则,所以 当时,验证可知符合通项公式(2)可得 (3)由可得若,则,不符题意,舍去若,则的最大项恰为第项因为该不等式对任意均成立解得:5、解析:(1) 即(2)由(1)可知,两式相减可得:中奇数项,偶数项分别成公差是4的等差数列中令令可得:综上所述可得:(3)恒成立的不等式为: 设,由可知为递减数列解得:6、解析:(1)由已知可得:为首项是1,公差是的等差数列(2)当时,可验证当时,满足上式所以对一切均成立最小正整数为7、解析:(1) 可得:,验证时,符合上式由可知为等比数列 (2)故恒成立不等式为:化简可得:。所以只需设8、解析:(1) 是公差为1的等差数列在令得: (2)由(1)可得: 设 为递增数列 即的最大值为
相关学案
这是一份高中数学讲义微专题59 新信息背景下的数列问题学案,共34页。学案主要包含了基础知识,典型例题,历年好题精选等内容,欢迎下载使用。
这是一份高中数学讲义微专题56 数列中的整数问题学案,共18页。学案主要包含了基础知识,典型例题,历年好题精选等内容,欢迎下载使用。
这是一份高中数学讲义微专题53 求数列的通项公式学案,共12页。学案主要包含了基础知识——求通项公式的方法等内容,欢迎下载使用。