







大一轮新教材数学高考复习课件——第4章第1节
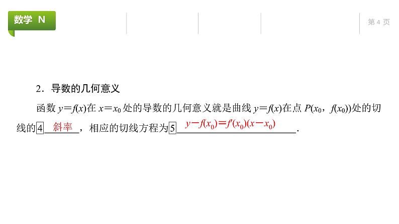
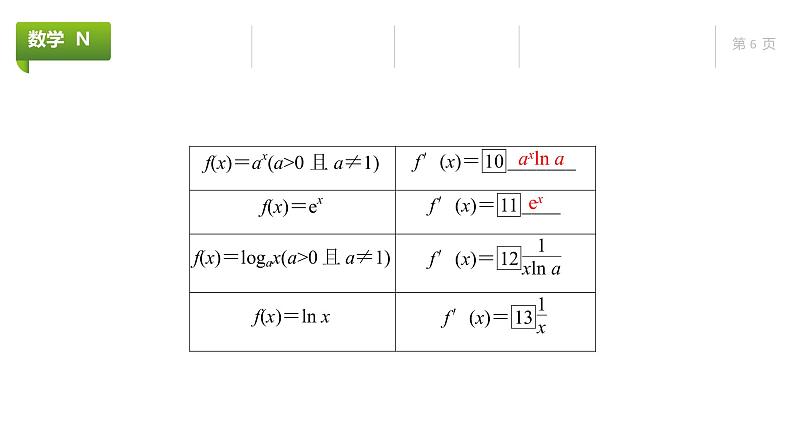
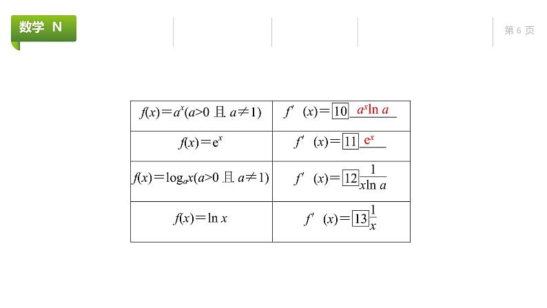
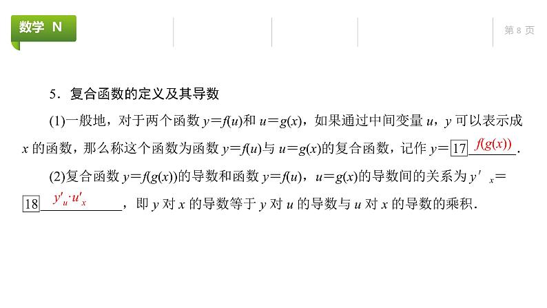
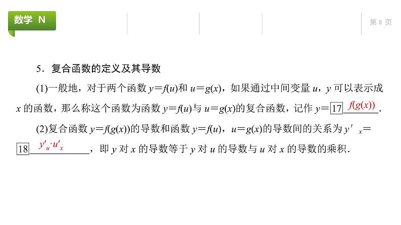
展开第四章 一元函数的导数及其应用 第1节 导数的概念及其意义、导数的运算 必备知识 自主学习导数 瞬时变化率 f′(x0) 斜率 y-f(x0)=f′(x0)(x-x0) 0 αxα-1 cos x -sin x axln a ex f′(x)±g′(x) f′(x)g(x)+f(x)g′(x) cf′(x) f(g(x)) y′u·u′x × × √ × × BC C 5x-y+2=0 y=x2+2x(答案不唯一) 关键能力 互动探究AD AB C D (e,e) 2 D x-y+2=0 x2+1(答案不唯一) 高效课时作业D BC C B A D B 2x-y=0 ex+C,C为任意常数(答案不唯一) -2 A 3
大一轮新教材数学高考复习课件——第5章第2节: 这是一份大一轮新教材数学高考复习课件——第5章第2节,共60页。PPT课件主要包含了-sinα,sinα,cosα,-cosα,tanα,-tanα,高效课时作业,ABD等内容,欢迎下载使用。
大一轮新教材数学高考复习课件——第11章第1节: 这是一份大一轮新教材数学高考复习课件——第11章第1节,共60页。PPT课件主要包含了抽签法,随机数法,总体均值,样本均值,分层随机抽样,ACD,ABC,ABD,BCD,高效课时作业等内容,欢迎下载使用。
大一轮新教材数学高考复习课件——第5章第5节: 这是一份大一轮新教材数学高考复习课件——第5章第5节,共60页。PPT课件主要包含了ωx+φ,-2-1,高效课时作业,ACD,ABC,ABD等内容,欢迎下载使用。