所属成套资源:通用版2022年中考数学复习二轮专题训练卷(含答案)
2022中考数学解答题专题25 因动点产生的相切问题(Word,基础 培优,教师版 学生版))
展开
这是一份2022中考数学解答题专题25 因动点产生的相切问题(Word,基础 培优,教师版 学生版)),文件包含专题25因动点产生的相切问题培优老师版docx、专题25因动点产生的相切问题基础老师版docx、专题25因动点产生的相切问题培优学生版docx、专题25因动点产生的相切问题基础学生版docx等4份试卷配套教学资源,其中试卷共97页, 欢迎下载使用。
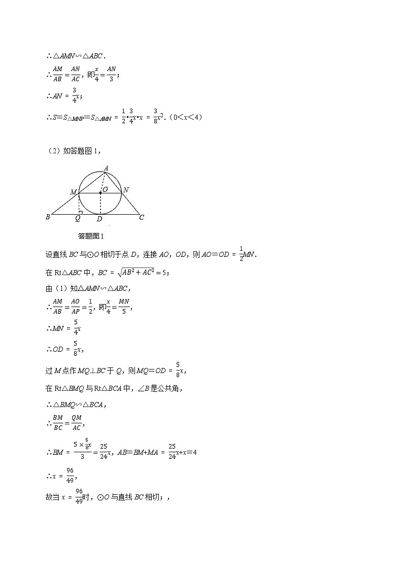
专题25 因动点产生的相切问题(提优) 1.在△ABC中,∠A=90°,AB=4,AC=3,M是AB上的动点(不与A,B重合),过M点作MN∥BC交AC于点N.以MN为直径作⊙O,并在⊙O内作内接矩形AMPN.令AM=x.(1)用含x的代数式表示△MNP的面积S;(2)当x为何值时,⊙O与直线BC相切?(3)在动点M的运动过程中,记△MNP与梯形BCNM重合的面积为y,求x为何值时 y=1? 2.如图(1),AB是⊙O的直径,且AB=10,C是⊙O上的动点,AC是弦,直线EF和⊙O相切于点C,AD⊥EF,垂足为D.(1)求证:∠DAC=∠BAC;(2)若AD和⊙O相切于点A,AD的长为 (直接写出答案);(3)若把直线EF向上平移,如图(2),EF交⊙O于G、C两点,题中的其他条件不变,这时与∠DAC相等的角是否存在?若存在,找出相等的角并说明理由;若不存在,请说明理由. 3.如图(1),AB是⊙O的直径,且AB=10,C是⊙O上的动点,AC是弦,直线EF和⊙O相切于点C,AD⊥EF,垂足为D.(1)求证:∠DAC=∠BAC;(2)若AD和⊙O相切于点A,求AD的长;(3)若把直线EF向上平行移动,如图(2),EF交⊙O于G、C两点,题中的其他条件不变,这时与∠DAC相等的角是否存在,并证明. 4.如图,在直角坐标系xOy中,O是坐标原点,点A在x正半轴上,OAcm,点B在y轴的正半轴上,OB=12cm,动点P从点A开始沿AO以cm/s的速度向点O移动,移动时间为t s(0<t<6).(1)求∠OAB的度数;(2)以OB为直径的⊙O′与AB交于点M,当t为何值时,PM与⊙O′相切?(3)动点Q从点A开始沿AB以4cm/s的速度向点B移动,动点R从点B开始沿BO以2cm/s的速度向点O移动.如果P、Q、R分别从A、A、B同时移动,当t=4s时,试说明四边形BRPQ为菱形;(4)在(3)的条件下,以R为圆心,r为半径作⊙R,当r不断变化时,⊙R与菱形BRPQ各边的交点个数将发生变化,随当交点个数发生变化时,请直接写出r的对应值或取值范围. 5.在△ABC中,∠A=90°,AB=4,AC=3,M是AB上的动点(不与A、B重合),过点M作MN∥BC交AC于点N.以MN为直径作⊙O,并在⊙O内作内接矩形AMPN,令AM=x.(1)当x为何值时,⊙O与直线BC相切?(2)在动点M的运动过程中,记△MNP与梯形BCNM重合的面积为y,试求y与x间函数关系式,并求x为何值时,y的值最大,最大值是多少? 6.如图,P为正比例函数yx图象上的一个动点,⊙P的半径是2.5,设点P的坐标为(x,y).(1)求⊙P与直线x=2相切时点P的坐标.(2)请直接写出⊙P与直线x=2相交、相离时x的取值范围. 7.如图,在直角坐标系中,抛物线y=﹣x2+2x+c与y轴交于点D(0,3).(1)直接写出c的值;(2)若抛物线与x轴交于A、B两点(点B在点A的右边),顶点为C点,求直线BC的解析式;(3)已知点P是直线BC上一个动点:①当点P在线段BC上运动时(点P不与B、C重合),过点P作PE⊥y轴,垂足为E,连结BE.设点P的坐标为(x,y),△PBE的面积为s,求s与x的函数关系式,写出自变量x的取值范围,并求出s的最大值;②试探索:在直线BC上是否存在着点P,使得以点P为圆心,半径为r的⊙P,既与抛物线的对称轴相切,又与以点C为圆心,半径为1的⊙C相切?如果存在,试求r的值;如果不存在,请说明理由. 8.如图,矩形ABCD中,AB=13,AD=6.点E是CD上的动点,以AE为直径的⊙O与AB交于点F,过点F作FG⊥BE于点G.(1)当E是CD的中点时:tan∠EAB的值为 ;(2)在(1)的条件下,证明:FG是⊙O的切线;(3)试探究:BE能否与⊙O相切?若能,求出此时BE的长;若不能,请说明理由. 9.如图,在⊙O中,直径AB=10,tanA.(1)求弦AC的长;(2)D是AB延长线上一点,且AB=kBD,连接CD,若CD与⊙O相切,求k的值;(3)若动点P以3cm/s的速度从A点出发,沿AB方向运动,同时动点Q以cm/s的速度从B点出发沿BC方向运动,设运动时间为t (0<t),连结PQ.当t为何值时,△BPQ为Rt△? 10.如图,在平面直角坐标系xOy中,已知矩形OABC的边OA、OC分别落在x轴、y轴上,D为OC边上一点,沿BD翻折△BDC,点C恰好落在OA边上点E处,OC=8,OE﹣OD=1.点P是OA边上一个动点,以点P为圆心,PO长为半径作⊙P.(1)求点B的坐标:(2)若⊙P与△BDE一边所在直线相切,求点P的坐标. 11.如图1,在平面直角坐标系中,抛物线yx2+bx+c与x轴交于A、B两点,与y轴交于点C,已知BC=2,tan∠OBC.(1)求拋物线的解析式;(2)如图2,若点P是直线BC上方的抛物线上一动点,过点P作y轴的平行线交直线BC于点D,作PE⊥BC于点E,当点P的横坐标为2时,求△PDE的面积;(3)若点M为抛物线上的一个动点,以点M为圆心,为半径作⊙M,当⊙M在运动过程中与直线BC相切时,求点M的坐标(请直接写出答案). 12.如图,AB是半圆O的直径,射线AC⊥AB于点A,点P是射线AC上一动点,连接BP,将△ABP沿BP翻折,点A落在点A'处,过点A作直线EF∥AB.(1)当∠ABP=15°时,求证:EF是半圆O的切线;(2)点P在射线AC上继续向上运动,直线EF是否会再次与半圆O相切,若相切,求出∠ABP的度数;若不相切,请说明理由. 13.如图,在矩形ABCD中,AB=3,BC=4,半径为1的动圆圆心M从A点出发,沿着AB方向以1个单位长度/每秒的速度匀速运动,同时动点N从点B出发,沿着BD方向也以1个单位长度/每秒的速度匀速运动,设运动的时间为t秒(0≤t≤2.5),以点N为圆心,NB的长为半径的⊙N与BD,AB的交点分别为E,F,连结EF,ME.(1)①当t= 秒时,⊙N恰好经过点M;②在运动过程中,当⊙M与△ABD的边相切时,t= 秒;(2)当⊙M经过点B时,①求N到AD的距离;②求⊙N被AD截得的弦长;(3)若⊙N与线段ME只有一个公共点时,直接写出t的取值范围. 14.如图,直线l1∥l2,⊙O与11和l2分别相切于点A和点B.点M和点N分别是l1和l2上的动点,MN沿l1和l2平移.⊙O的半径为1,∠1=60°(1)当MN与⊙O相切时,求AM的长;(2)当∠MON为多少度时,MN与⊙O相切,并给出证明. 15.如图,△ABC中,∠B=90°,AB=12,BC=9,半径为1的⊙O的圆心与点B重合,D,E分别为AC与⊙O上的动点.探究(1)当DE的长度最大时,求DE的长度;(2)当DE的长度最小时,求DE的长度;拓展若⊙O从点B出发沿B→C→A→B的路线以每秒1个单位长度的速度匀速运动,当⊙O与AC相切时,求t的值;延伸当⊙O与AC有两个交点时,求t的取值范围. 16.如图,直线yx+b(b>0)与x轴、y轴交于点A、B,在直线AB上取一点C,过点C作x轴的垂线,垂足为E,若点E(4,0).(1)若EC=BC,求b的值;(2)在(1)的条件下,有一动点P从点B出发,延着射线BC方向以每秒1个单位的速度运动,以点P为圆心,作半径为的圆,动点Q从点O出发,在线段OE上以每秒1个单位的速度作来回运动,过点Q作直线l垂直x轴,点P与点Q同时从点B、点O开始运动,问经过多少秒后,直线l和⊙P相切. 17.如图,AB是半径为2的⊙O的直径,直线m与AB所在直线垂直,垂足为C,OC=3,点P是⊙O上异于A、B的动点,直线AP、BP分别交m于M、N两点.(1)当点C为MN中点时,连接OP,PC,判断直线PC与⊙O是否相切并说明理由.(2)点P是⊙O上异于A、B的动点,以MN为直径的动圆是否经过一个定点,若是,请确定该定点的位置;若不是,请说明理由. 18.如图,已知射线DE与x轴和y轴分别交于点D(3,0)和点E(0,4).动点C从点M(5,0)出发,以1个单位长度/秒的速度沿x轴向左作匀速运动,与此同时,动点P从点D出发,也以1个单位长度/秒的速度沿射线DE的方向作匀速运动.设运动时间为t秒.(1)请用含t的代数式分别表示出点C与点P的坐标;(2)以点C为圆心、t个单位长度为半径的⊙C与x轴交于A、B两点(点A在点B的左侧),连接PA、PB.①当⊙C与射线DE相切于其上一点时,求t的值;②当⊙C与射线DE有公共点时,求t的取值范围. 19.如图,正方形ABCD的边长为4,点P为线段AD上的一动点(不与点A、D重合),以BP为直径作半圆,圆心为点O,半圆O边BC交于点K,线段OF∥AD,且与CD相交于点F,与半圆O相交于点E,设AP=x.(1)当x为何值时,四边形OBKE为菱形;(2)当半圆O与CD相切时,试求x的值. 20.如图,在平面直角坐标系中,四边形OADC是矩形,OA=6,AB=4,直线y=﹣x+3与坐标轴交于D,E.设M是AB的中点,P是线段DE上的动点,(1)求M、D两点的坐标;(2)当P在什么位置时,PA=PB求出此时P点的坐标;(3)过P作PH⊥BC,垂足为H,当以PM为直径的⊙F与BC相切于点N时,求梯形PMBH的面积.
相关试卷
这是一份2022年中考数学解答题专题19——因旋转产生的角度问题(Word版,基础 培优,教师版 学生版,共4份),文件包含专题19因旋转产生的角度问题基础老师版docx、专题19因旋转产生的角度问题培优老师版docx、专题19因旋转产生的角度问题培优学生版docx、专题19因旋转产生的角度问题基础学生版docx等4份试卷配套教学资源,其中试卷共84页, 欢迎下载使用。
这是一份2022年中考数学解答题专题20——因动点产生的相似三角形问题(Word版,基础 培优,教师版 学生版,共4份),文件包含专题20因动点产生的相似三角形问题基础老师版docx、专题20因动点产生的相似三角形问题培优老师版docx、专题20因动点产生的相似三角形问题培优学生版docx、专题20因动点产生的相似三角形问题基础学生版docx等4份试卷配套教学资源,其中试卷共89页, 欢迎下载使用。
这是一份2022年中考数学解答题专题22——因动点产生的直角三角形问题(Word版,基础 培优,教师版 学生版,共4份),文件包含专题22因动点产生的直角三角形问题培优老师版docx、专题22因动点产生的直角三角形问题基础老师版docx、专题22因动点产生的直角三角形问题培优学生版docx、专题22因动点产生的直角三角形问题基础学生版docx等4份试卷配套教学资源,其中试卷共102页, 欢迎下载使用。

