资料中包含下列文件,点击文件名可预览资料内容





还剩2页未读,
继续阅读
2022三明一中高一上学期第一次月考数学试题PDF版含答案
展开
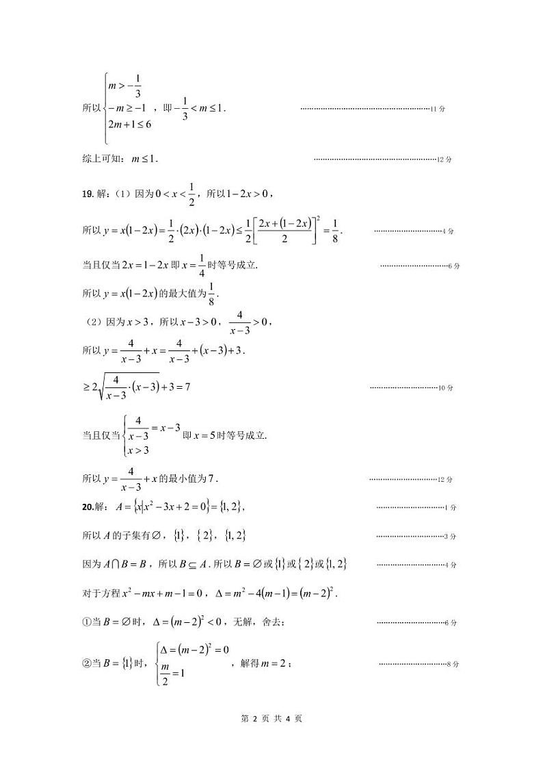
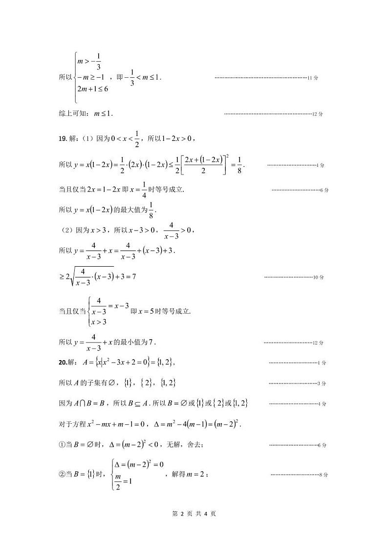
这是一份2022三明一中高一上学期第一次月考数学试题PDF版含答案,文件包含福建省三明第一中学2021-2022学年高一上学期第一次月考数学试题图片版含答案pdf、三明一中2021-2022学年上学期高一数学月考试卷答案pdf、三明一中2021-2022学年上月考试卷高一数学答题卡pdf等3份试卷配套教学资源,其中试卷共10页, 欢迎下载使用。
相关试卷
2023三明一中高二下学期第一次月考数学试题PDF版含答案:
这是一份2023三明一中高二下学期第一次月考数学试题PDF版含答案,文件包含福建省三明第一中学2022-2023学年高二下学期第一次月考数学试卷pdf、福建省三明第一中学2022-2023学年高二下学期第一次月考数学答案pdf等2份试卷配套教学资源,其中试卷共11页, 欢迎下载使用。
2023三明一中_高一上学期第一次月考数学试题PDF版含答案:
这是一份2023三明一中_高一上学期第一次月考数学试题PDF版含答案,文件包含福建省三明第一中学2022_2023学年高一上学期第一次月考数学试题PDF版无答案pdf、高一数学答案定稿pdf等2份试卷配套教学资源,其中试卷共8页, 欢迎下载使用。
2023龙岩一中高一上学期第一次月考数学试题PDF版含答案:
这是一份2023龙岩一中高一上学期第一次月考数学试题PDF版含答案,共8页。