


所属成套资源:2023版新高考人教A版数学一轮复习讲义
2023版步步高新高考人教A版一轮复习讲义第十章 §10.10 概率、统计与其他知识的交汇问题 培优课
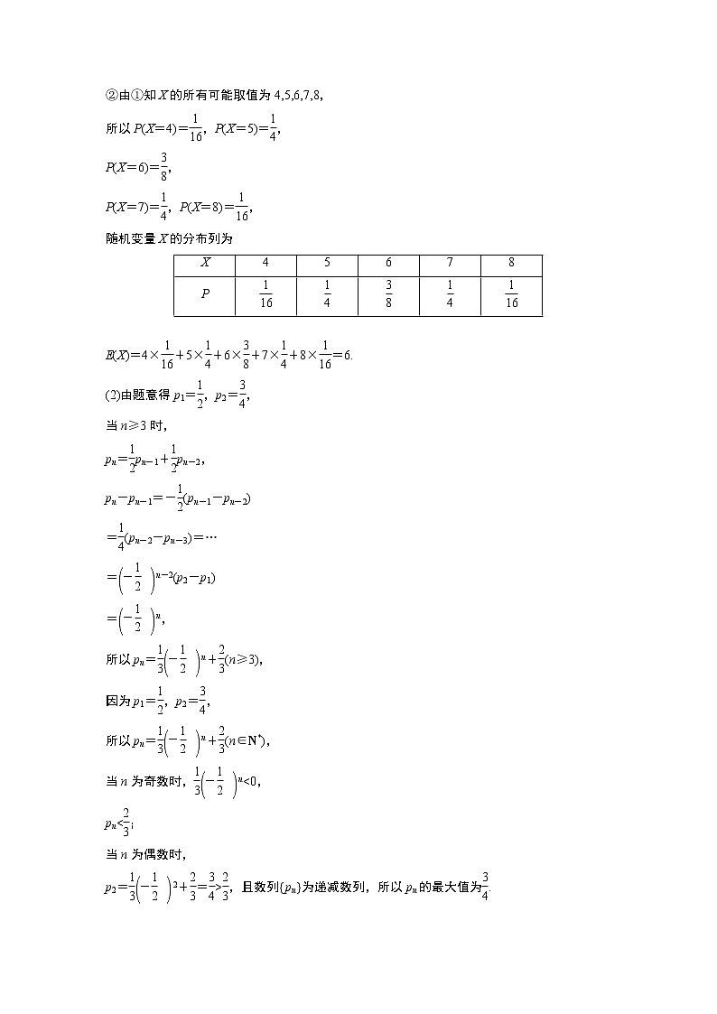
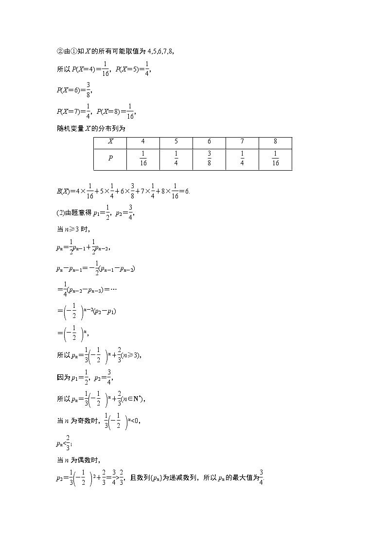
展开§10.10 概率、统计与其他知识的交汇问题题型一 概率、统计与数列的综合问题例1 为了备战亚运会,跳水运动员甲参加国家队训练测试,已知该运动员连续跳水m次,每次测试都是独立的.若运动员甲每次选择难度系数较小的动作A与难度系数较大的动作B的概率均为eq \f(1,2).每次跳水测试时,若选择动作A,取得成功的概率为eq \f(2,3),取得成功记1分,否则记0分.若选择动作B,取得成功的概率为eq \f(1,3),取得成功记2分,否则记0分.总得分记为X分.(1)若m=2,求分数X的分布列与均值.(若结果不为整数,用分数表示)(2)若测试达到n分则中止,记运动员在每一次跳水均取得成功且累计得分为n分的概率为G(n),如G(1)=eq \f(1,3).①求G(2);②问是否存在λ∈R,使得{G(n)-λG(n-1)}为等比数列,其中n∈N*,n≥2?若有,求出λ;若没有,请说明理由.解 (1)进行一次试验,获得0分的概率为eq \f(1,2)×eq \f(1,3)+eq \f(1,2)×eq \f(2,3)=eq \f(1,2),获得1分的概率为eq \f(1,2)×eq \f(2,3)=eq \f(1,3),获得2分的概率为eq \f(1,2)×eq \f(1,3)=eq \f(1,6),进行两次试验,X的所有可能取值为0,1,2,3,4,P(X=4)=eq \f(1,6)×eq \f(1,6)=eq \f(1,36),P(X=3)=eq \f(1,3)×eq \f(1,6)×2=eq \f(1,9),P(X=2)=eq \f(1,2)×eq \f(1,6)×2+eq \f(1,3)×eq \f(1,3)=eq \f(5,18),P(X=1)=eq \f(1,3)×eq \f(1,2)×2=eq \f(1,3),P(X=0)=eq \f(1,2)×eq \f(1,2)=eq \f(1,4).所以分数X的分布列为E(X)=0×eq \f(1,4)+1×eq \f(1,3)+2×eq \f(5,18)+3×eq \f(1,9)+4×eq \f(1,36)=eq \f(4,3).(2)①G(2)=eq \f(1,6)+eq \f(1,3)×eq \f(1,3)=eq \f(5,18),②据题意有,G(n)=eq \f(1,6)G(n-2)+eq \f(1,3)G(n-1),其中n≥3,设G(n)-λG(n-1)=eq \f(1,6)G(n-2)+eq \f(1,3)G(n-1)-λG(n-1)=eq \f(1,6)G(n-2)+eq \b\lc\(\rc\)(\a\vs4\al\co1(\f(1,3)-λ))G(n-1)=eq \b\lc\(\rc\)(\a\vs4\al\co1(\f(1,3)-λ))[G(n-1)-λG(n-2)].比较系数得-eq \b\lc\(\rc\)(\a\vs4\al\co1(\f(1,3)-λ))λ=eq \f(1,6),解得λ=eq \f(1±\r(7),6),所以{G(n)-λG(n-1)}是公比为eq \f(1,3)-λ的等比数列,其中n∈N*,n≥2,λ=eq \f(1±\r(7),6).思维升华 高考有时将概率、统计等问题与数列交汇在一起进行考查,因此在解答此类题时,准确把题中所涉及的事件进行分解,明确所求问题所属的事件类型是关键.跟踪训练1 (2022·大连模拟)一款游戏规则如下:掷一枚质地均匀的硬币,若出现正面向前跳2步,若出现反面向前跳1步.(1)若甲、乙二人同时参与游戏,每人各掷硬币2次,①求甲向前跳的步数大于乙向前跳的步数的概率;②记甲、乙二人向前跳的步数和为X,求随机变量X的分布列和均值.(2)若某人掷硬币若干次,向前跳的步数为n(n∈N*)的概率记为pn,求pn的最大值.解 (1)①设甲向前跳的步数为Y,乙向前跳的步数为Z,则P(Y=2)=P(Z=2)=eq \f(1,4),P(Y=3)=P(Z=3)=eq \f(1,2),P(Y=4)=P(Z=4)=eq \f(1,4),所以P(Y>Z)=eq \f(1,2)×eq \f(1,4)+eq \f(1,4)×eq \b\lc\(\rc\)(\a\vs4\al\co1(\f(1,2)+\f(1,4)))=eq \f(5,16),所以甲向前跳的步数大于乙向前跳的步数的概率为eq \f(5,16).②由①知X的所有可能取值为4,5,6,7,8,所以P(X=4)=eq \f(1,16),P(X=5)=eq \f(1,4),P(X=6)=eq \f(3,8),P(X=7)=eq \f(1,4),P(X=8)=eq \f(1,16),随机变量X的分布列为E(X)=4×eq \f(1,16)+5×eq \f(1,4)+6×eq \f(3,8)+7×eq \f(1,4)+8×eq \f(1,16)=6.(2)由题意得p1=eq \f(1,2),p2=eq \f(3,4),当n≥3时,pn=eq \f(1,2)pn-1+eq \f(1,2)pn-2,pn-pn-1=-eq \f(1,2)(pn-1-pn-2)=eq \f(1,4)(pn-2-pn-3)=…=eq \b\lc\(\rc\)(\a\vs4\al\co1(-\f(1,2)))n-2(p2-p1)=eq \b\lc\(\rc\)(\a\vs4\al\co1(-\f(1,2)))n,所以pn=eq \f(1,3)eq \b\lc\(\rc\)(\a\vs4\al\co1(-\f(1,2)))n+eq \f(2,3)(n≥3),因为p1=eq \f(1,2),p2=eq \f(3,4),所以pn=eq \f(1,3)eq \b\lc\(\rc\)(\a\vs4\al\co1(-\f(1,2)))n+eq \f(2,3)(n∈N*),当n为奇数时,eq \f(1,3)eq \b\lc\(\rc\)(\a\vs4\al\co1(-\f(1,2)))n1时,p1,故p2+2p3>p0.此时f′(0)=-(p2+p0+p3)0,故f′(x)有两个不同零点x3,x4,且x3