还剩13页未读,
继续阅读
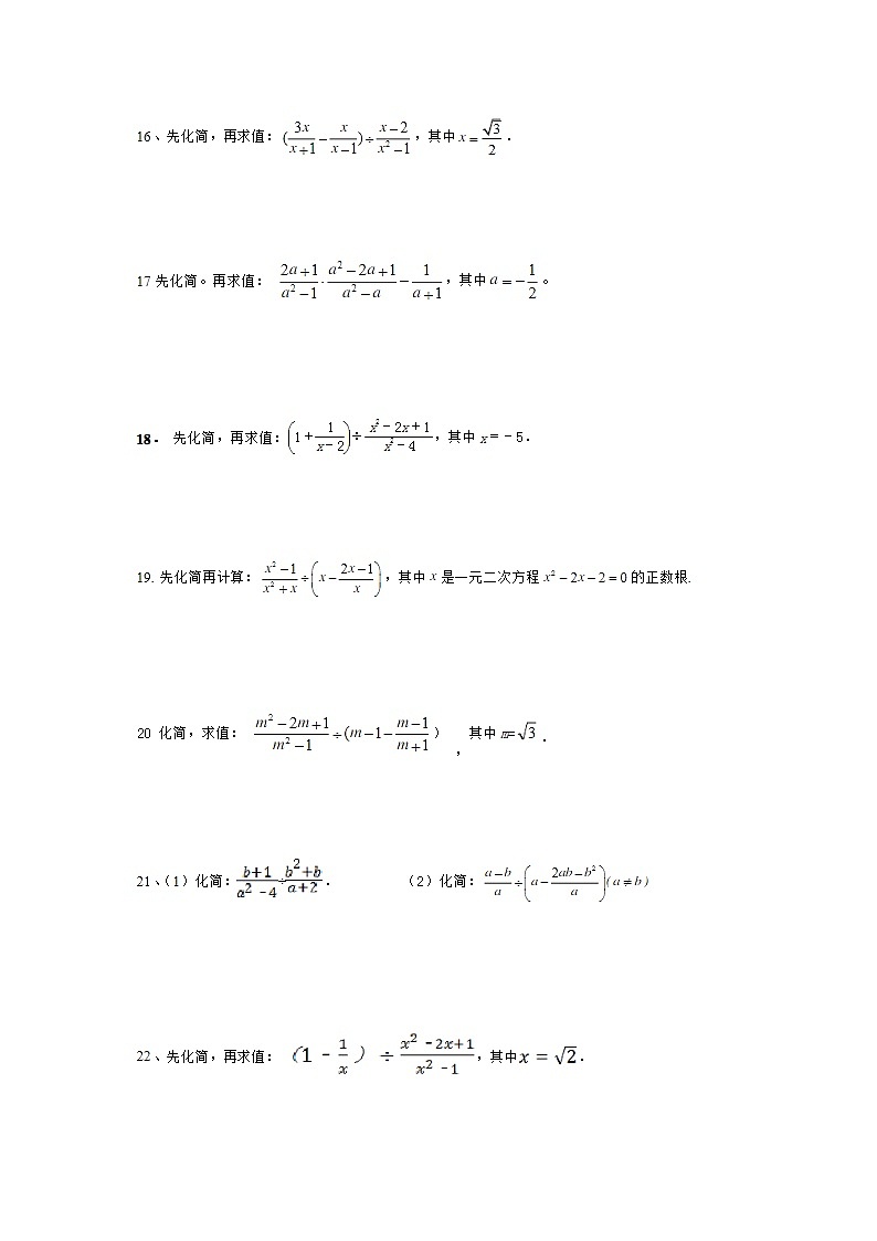
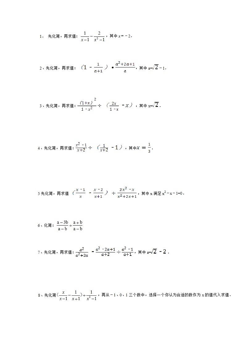
八年级下数学120道分式化简求值(无答案)练习题
展开
这是一份八年级下数学120道分式化简求值(无答案)练习题,共16页。
相关试卷
初中数学苏科版八年级下册第10章 分式10.1 分式练习:
这是一份初中数学苏科版八年级下册第10章 分式10.1 分式练习,文件包含专题105分式的化简求值专项训练50道举一反三苏科版原卷版docx、专题105分式的化简求值专项训练50道举一反三苏科版解析版docx等2份试卷配套教学资源,其中试卷共37页, 欢迎下载使用。
数学八年级上册15.2.1 分式的乘除课时训练:
这是一份数学八年级上册15.2.1 分式的乘除课时训练,共3页。试卷主要包含了 注意分式化简题不能去分母等内容,欢迎下载使用。
八年级数学下册专题21 分式的化简求值特训50道:
这是一份八年级数学下册专题21 分式的化简求值特训50道,共27页。试卷主要包含了先化简,已知,求代数式的值,先化简,再求值,先约分,再求值等内容,欢迎下载使用。

