还剩3页未读,
继续阅读
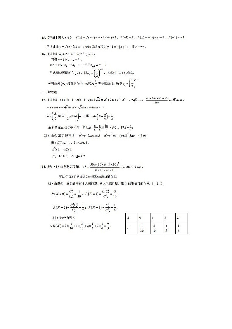
2021广西钦州市大寺中学高三下数学理模拟试题答案
展开
这是一份2021广西钦州市大寺中学高三下数学理模拟试题答案,共6页。
2021届广西钦州市大寺中学高三下数学理模拟试题答案
相关试卷
2021钦州市大寺中学高三上学期数学理模拟试题答案:
这是一份2021钦州市大寺中学高三上学期数学理模拟试题答案,共6页。试卷主要包含了 【详解】, 【详解】的展开式的通公式为,等内容,欢迎下载使用。
2021广西钦州市大寺中学高三上学期数学理模拟试题二:
这是一份2021广西钦州市大寺中学高三上学期数学理模拟试题二,共4页。
2021广西钦州市大寺中学高三下数学理模拟试题:
这是一份2021广西钦州市大寺中学高三下数学理模拟试题,共4页。

