







九年级中考二轮复习数与式专项课件2
展开
这是一份九年级中考二轮复习数与式专项课件2,共38页。
1.(1分)实数 tan45°, , 0, , , , sin60°,0.3131131113···(相邻两个3之间一次多一个1),其中无理数的个数是( )A.4 B.2 C.1 D.32.(2分)若最简二次根式 与 是同类二次根式,则a=______,b=_______.
解:原式= =当 ,
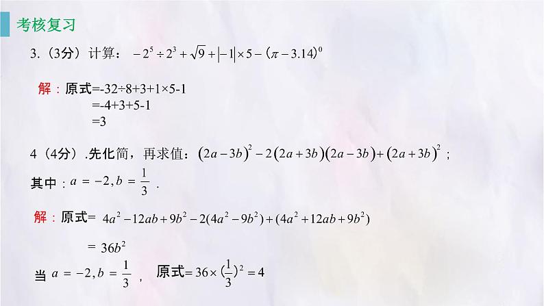
4(4分).先化简,再求值: ; 其中: .
解:原式=-32÷8+3+1×5-1 =-4+3+5-1 =3
1.实数运算有理数运算;近似数、有效数字、科学记数法,实数比较大小,求代数式的值2.整式的运算整式运算、合并同类项、幂的运算、乘法公式、因式分解3.分式分式的概念、性质、分式的混合运算4.二次根式二次根式的有关概念、性质、运算,最简二次根式、同类二次根式
【考点一】实数及其运算
【例1.1】 的算术平方根是( )A.2 B.-2 C.±2 D.4【例1.2】 我国首艘国产航母于2018年4月26日正式下水,排水量约为65 000吨.将65 000用科学记数法表示为( )A.6.5×10-4 B.6.5×104 C.-6.5×104 D.0.65×104
【例1.3】计算:(2 019- )º-( )-1+|-2|.解:原式=1-2+2 =1【例1.4】计算:(-1)2018+(- )-2-|2- |+4sin 60°解:原式=1+4+(2-2 )+4× =7
【练1.1】下列各数中绝对值最小的是( )A.3 B.-π C.2 D.-2【练1.2】某地某天的最高气温是6 ℃,最低气温是-4 ℃,则该地当天的温差为________℃.【练1.3】如图,实数-3,x,3,y在数轴上的对应点分别为M,N,P,Q,这四个数中绝对值最小的数对应的点是( )A.点M B.点N C.点P D.点Q
【例1.4】小时候我们用肥皂水吹泡泡,其泡沫的厚度约0.000 326毫米,将0.000 326用科学记数法表示为________________.【练1.5】阿里数据显示,2019年天猫商城“双11”全球狂欢交易额超1682亿,数据1682亿用科学记数法表示为 .
1.682 ×1011
【练1.6】计算:(1- )-(1- )0+sin 45°+( )-1解:原式= =
【练1.7】计算:-23+2 0190-(-8)2019×(-0.125)2018+|π-3.14|.解:原式= = =
【例2.1】将多项式x-x3 因式分解正确的是( )A.x(x2-1) B.x(1-x2) C.x(x+1)(x-1) D.x(1+x)(1-x)【例2.2】已知ma=64,mb=16,则m3a-4b的值为( )A.4 B.64 C.176 D.2
【例2.1】若x2-2mx+1是完全平方式,则m的值为( )A.2 B.1 C.±1 D.±【例2.4】如果3x2myn+1与- x2ym+3是同类项,则m,n的值为( )A.m=-1,n=3 B.m=1,n=3 C.m=-1,n=-3 D.m=1,n=-3
【例2.5】下列计算正确的是( )A.-a4b÷a2b=-a2b B.(a-b)2=a2-b2C.a2·a3=a6 D.-3a2+2a2=-a2【例2.6】先化简,再求值:(x-1)2+x(3-x),其中x=- .解:原式= =x+1当x=- ,原式=x+1=- +1=
【练2.1】化简(x-1)(x+1)的结果是____________.【练2.2】计算: x·(-2x2)3=___________.【练2.3】已知am=3,an=2,则a2m-n的值为________.【练2.4】分解因式:a²-7a+6=________________________.
(a-1)(a-6)
【练2.5】分解因式:x3y-2x2y+xy=________________________.【练2.6】分解因式:(m+1)(m-9)+8m=__________________________
(m+3)(m-3)
【练2.7】计算:(a+1)(a-1)-(a-2)2.解:原式= =【练2.8】计算:(x+2y)-(x+y)(x-y).解:原式= =
【练2.9】先化简,再求值:(x+y)(x-y)+y(x+2y)-(x-y),其中x=2+ ,y=2- . 解:原式= =当
【考点三】分式的化简与求值
【例3.1】若分式 的值为零,那么x的值为( )A.x=1或x=-1 B.x=1 C.x=-1 D.x=0【例3.2】使得代数式 有意义的x的取值范围是__ ______.【例3.3】计算 的结果为( )A.1 B.3 C. D.
【例3.4】一项工作,甲独做需要a天完成,乙独做需要b天完成.则甲、乙合作一天的工作量为( )A.a+b B. C. D.【例3.5】已知 =3,则代数式 的值是( )A. B. C. D.【例3.6】如果a+b=2,那么代数式(a- )÷ 的值是_______.
【例3.7】化简:(1- )÷解:原式= =
【例3.8】先化简,再求值: ,其中x是不等式3x+7>1的负整数解.解:原式= =∵3x+7>1,∴x>-2,不等式的负整数解为-1当x=-1时,原式=
【练3.1】要使分式 有意义,则x的取值范围是_________.【练3.2】当m=2 019时, =________.【练3.3】化简:(1- )÷ .解:原式= =
【练3.4】先化简,再求值:3- ÷ ,其中x,y的值是方程组 的解.解:原式= = = 当
【例4.1】若 =7-m,则m的值是______.【例4.2】若y= + +2,则xy=_______.【例4.3】若二次根式 与 是同类二次根式,则a=_______.【例4.4】若a- = ,则a2+ 的值为______.
【例4.5】已知a,b均为有理数,且满足(2+ )²=a+b ,则a+b=______.【例4.6】如果|x-8|+(y-2)2=0,则 =_____.【例4.7】 = (a<0).【例4.8】已知实数x,y满足|x-4|+ =0,则以x,y的值为两边长的等腰三角形的周长是_______.
【例4.9】计算: ×(-1)2018+ × -|2- |.
【练4.1】下列二次根式中,是最简二次根式的是( )A. B. C. D.【练4.2】下列各式中正确的是( )A. =±3 B. =-3 C. =3 D. - =【练4.3】下列运算正确的是( )A. + = B. C. D.
【练4.4】下列计算或运算中,正确的是( )A.B. C. D.【练4.5】使式子 有意义的x的取值范围是( )A.x>0 B.x≠16 C.x≥0且x≠16 D.x>0或x≠16【练4.6】等式 = 成立的x的取值范围在数轴上可表示为( )
【练4.7】计算: - +| -2|.解:原式= = 【练4.8】计算:(2 - )2+( +2 )÷.解:原式= =
理解掌握实数的运算及其分类,掌握整式,分式、二次根式的性质及其应用。
1.(3分)实数a,b,c在数轴上的对应点的位置如图所示,则正确的结论是( )A.|a| >4 B.c-b>0 C.ac>0 D.a+c>02.(3分)如果2xa+1y与x²yb-1是同类项,那么 的值是( )A. B. C.1 D.33.(3分)当x= 时,分式 的值为0.
4. (5分) 先化简,再求值: ,其中 解:原式= = =-147
相关课件
这是一份中考数学二轮复习考点精讲课件 专题03 规律探究之数式(含答案),共24页。PPT课件主要包含了n+1,m2m﹣1,m2-m,a﹣b=c等内容,欢迎下载使用。
这是一份中考数学复习专项训练二规律探索题类型一数、式规律探索作业课件,共8页。
这是一份中考数学一轮复习知识梳理课件第1章《数与式》课时2 (含答案),共17页。PPT课件主要包含了平方根,算术平方根,相反数,立方根,二次根式,非负数,开得尽方,x≤9等内容,欢迎下载使用。
