




2022届湖南省衡阳高三二模数学试卷及答案
展开(本试卷共6页,22题,全卷满分:150分,考试用时: 120分钟)
一、单项选择题:本题共8小题,每小题5分,共40分。在每小题给出的四个选项中,只有
一项是符合题目要求的.
1.设集合A=, B=, 则AB=
A. B. C. D. R
2.已知复数, 则的虚部为
A. B. C.2 D.2i
3.在冬奥会花样滑冰的比赛中,由9位评委分别给参赛选手评分,评定该选手的成绩时,从9个原始评分中去掉1个最高分、1个最低分,得到7个有效评分.7个有效评分与9个原始评分相比,一定不变的数字特征是
A.极差 B.平均数 C.方差 D.中位数
4.设m、n是空间中两条不同的直线,是两个不同的平面,则下列说法正确的是
A.若m⊥,n⊥,m⊥n,则⊥ B.若m, n, //, 则m//n
C.若m//,n//β,⊥,则m⊥n D.若m,n, m//, n//, 则//
5.某学校安排音乐、阅读、体育和编程四项课后服务供学生自愿选择参加,甲、乙、丙、丁4位同学每人限报其中项. 已知甲同学报的项目其他同学不报的情况下,4位同学所报项目各不相同的概率等于
A. B. C. D.
6.公元前6世纪,古希腊的毕达哥拉斯学派研究过正五边形和正十边形的作图,发现了黄金分割约为0.618,这一数值也可以表示为m=2sin18°,若m2+n=4, 则
A.8 B.4 C.2 D.1
7.设a、b、c分别是∆ABC的内角A、B、C的对边,已知,设D是BC边的中点,且∆ABC的面积为1,则等于
A.2 B. C. D.
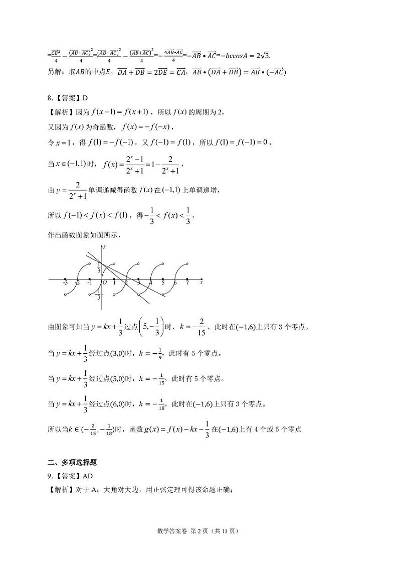
8.已知定义在R上的奇函数恒有,当时,, 已知,则函数在上的零点个数为
A.4个 B.5个 C.3个或4个 D.4个或5个
二、选择题:本题共4小题,每小题5分,共20分。在每小题给出的四个选项中,有多项符合题目要求。全部选对的得5分,有选错的得0分,部分选对的得2分。
9.下列结论中正确的是
A.在∆ABC中,若A>B.则sinA>sinB
B.在△ABC中,若sin2A=sin2B,则∆ABC是等腰三角形
C.两个向量,共线的充要条件是存在实数,使
D.对于非零向量,,是的充分不必要条件
10.函数 (其中 A>0)的部分图象如图所示、将函数的图象向左平移个单位长度,得到的图象,则下列说法正确的是
A.函数为奇函数 B.函数在上单调递减
C.函数为偶函数 D.函数的图象的对称轴为直线
11.圆锥曲线的光学性质:从双曲线的一个焦点发出的光线,经双曲线反射后,反射光线的反向延长线过双曲线的另一个焦点、由此可得,过双曲线上任意一点的切线,平分该点与两焦点连线的夹角、请解决下面问题:已知F1,F2分别是双曲线C: 的左、右焦点,点P为C在第一象限上的点,点M在F1P延长线上,点Q的坐标为,且PQ为的平分线,则下列正确的是
A. B.
C.点P到x轴的距离为 D. 的角平分线所在直线的倾斜角为150°
12.已知正方体ABCD- A1B1C1D1的棱长为1. M、 N分别为BB1、AB的中点下列说法正确的是
A.点M到平面AND1的距离为 B.正方体ABCD-A1B1C1D1外接球的体积为
C.面AND1截正方体ABCD- A1B1C1D1外接球所得圆的面积为
D.以顶点A为球心,为半径作一个球,则球面与正方体的表面相交所得到的曲线的长等于
三、填空题:本题共4小题,每小题5分,共20分。
13. 二项式的展开式中常数项是___________________________。
14.函数, 则曲线在处的切线方程为__________。
15.意大利数学家列昂那多·斐波那契以兔子繁殖为例,引入“兔子数列”: 1, 1,2,3,5, 8,13, 21, 34, 55, … 即F(1)=F(2)=1,, 此数列在现代物理“准晶体结构”、化学等领域都有着广泛的应用,若此数列的各项除以3的余数构成一个新数列,则数列的前2022项的和为_______。
16.已知椭圆C1:与双曲线C2: 有相同的焦点F1、F2,椭圆C1的离心率为e1,双曲线C2的离心率为e2,点P为椭圆C1与双曲线C2的第一象限的交点,且,则的取值范围是______________。
四、解答题:本题共6小题,共70分。解答应写出文字说明、证明过程或演算步骤。
17. (10分)
已知数列是递增的等差数列,,且 是与的等比中项.
(1) 求数列的通项公式;
(2)①;② ③
从上面三个条件中任选一个,求数列的前n项和。.
18. (12分)
如图,在四边形ABCD中, AC与BD相交于点O,AC平分∠DAB,∠ABC=,
AB=3BC=3.
(1)求sin∠DAB;
(2)若∠ADC=,求∆ABD的面积.
19. (12分)
如图,已知圆台O1O的下底面半径为2,上底面半径为1,母线与底面所成的角为,AA1,BB1为母线,平面AA1O1O⊥平面BB1O1O, M为BB1的中点.
(1)证明:面ABB1⊥而AOM
(2)当点P为线段AM的中点时,求直线AM与平而OPB所成角的正弦值.
20. (12分)
随着近期我国不断走向转型化进程以及社会就业压力的不断加剧,创业逐渐成为在校大学生和毕业大学生的一种职业选择方式,但创业过程中可能会遇到风险,有些风险是可以控制的,有些风险不可控制的,某地政府为鼓励大学生创业,制定了一系列优惠政策。已知创业项目甲成功的概率为,项目成功后可获得政府奖金20万元;创业项目乙成功的概率为
P0(0
(1)大学毕业生张某选择创业项目甲,毕业生李某选择创业项目乙,记他们获得的奖金累计
为X(单位:万元), 若X≤30的概率为。求P0的大小:
(2)若两位大学毕业生都选择创业项目甲或创业项目乙进行创业,问:他们选择何种创业项
目,累计得到的奖金的数学期望最大?
21. (12分)
设椭圆的左顶点为A,上项点为B。已知椭圆的离心率为,.
(1)求椭圆的方程:
(2)设P、 Q为椭圆E上异于点A的两动点,若直线AP、AQ的斜常之积为
①证明直线PQ恒过定点,并求出该点坐标:
②求∆APQ面积的最大值。
22. (12分)
已知函数,其中m>0.
(1)若m=2,求丽数的极值:
(2)设,若在上恒成立,求实数m的取值范围.
2023届江苏省七市高三二模(南通二模)数学试卷+答案: 这是一份2023届江苏省七市高三二模(南通二模)数学试卷+答案,文件包含江苏省七市二模2023届高三数学参考答案与评分建议pdf、江苏省七市二模2023届高三数学试卷pdf等2份试卷配套教学资源,其中试卷共19页, 欢迎下载使用。
2023年湖南省高三联考(衡阳二模)数学试题及答案: 这是一份2023年湖南省高三联考(衡阳二模)数学试题及答案,共16页。
2021湖南省衡阳市高三二模数学试卷无答案: 这是一份2021湖南省衡阳市高三二模数学试卷无答案,共4页。