




苏教版 六年级数学下册 期中专项练习:解比例或解方程(原卷版+解析版)
展开六年级数学下册典型例题系列之
期中专项练习:解比例或解方程(解析版)
1.(2019·江苏镇江·六年级期末)求未知数x。
① ②
【答案】;x=4
2.(2021·江苏南通·小升初真题)解方程。
【答案】x=24;x=;x=
3.(2021·江苏无锡·六年级期中)解方程。
(1)12x+7×0.3=20.1 (2)x+x= (3)x∶42=∶10
【答案】(1)x=1.5;(2)x=;(3)x=3
4.(2021·江苏省南京市芳草园小学小升初真题)解方程。
【答案】x=5;x=9;x=60
5.(2021·江苏南京·小升初真题)求未知数。
3.5x-0.6×3=5.2 ∶x=∶ x-x=
【答案】x=2;x=;x=
6.(2021·安徽合肥·小升初真题)解方程。
1.4+0.7x=6
【答案】x=3;x=;x=3
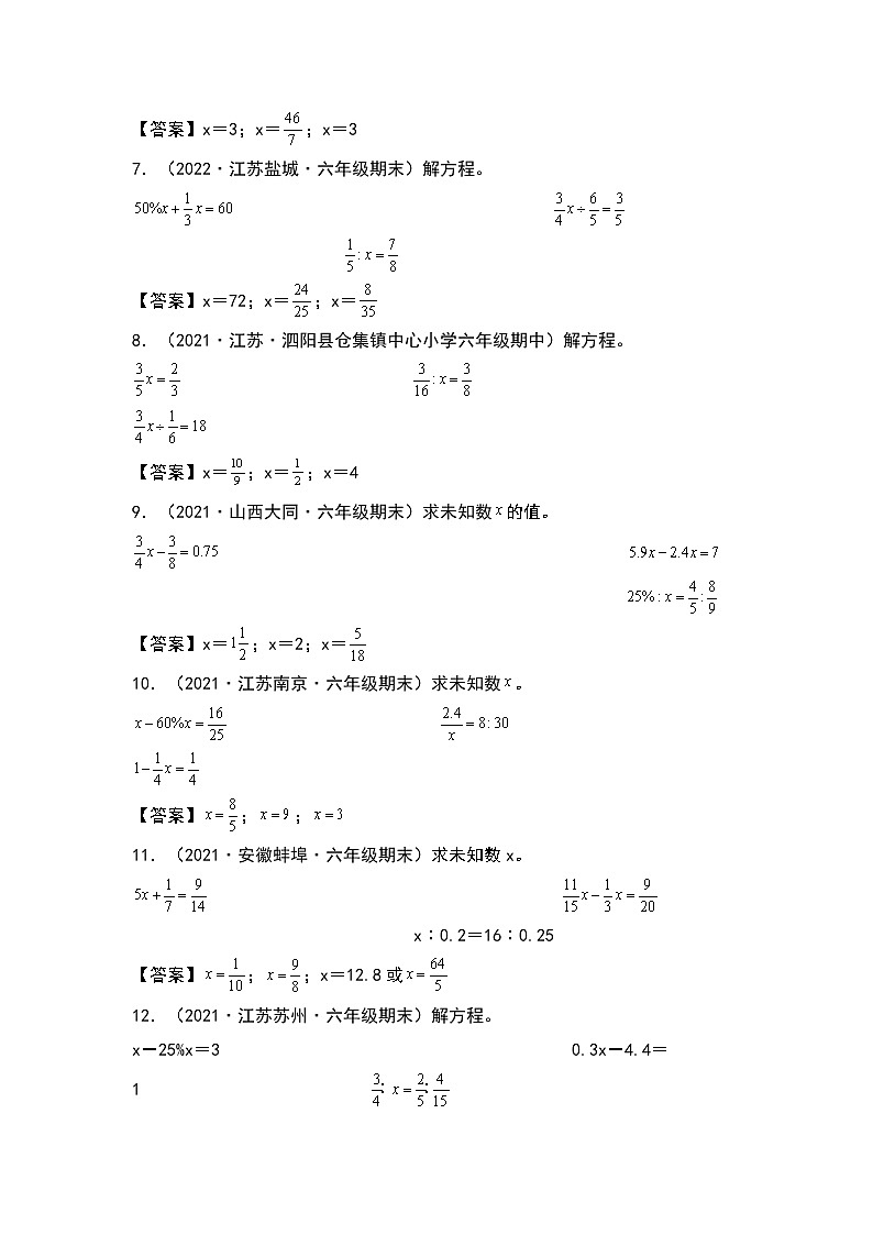
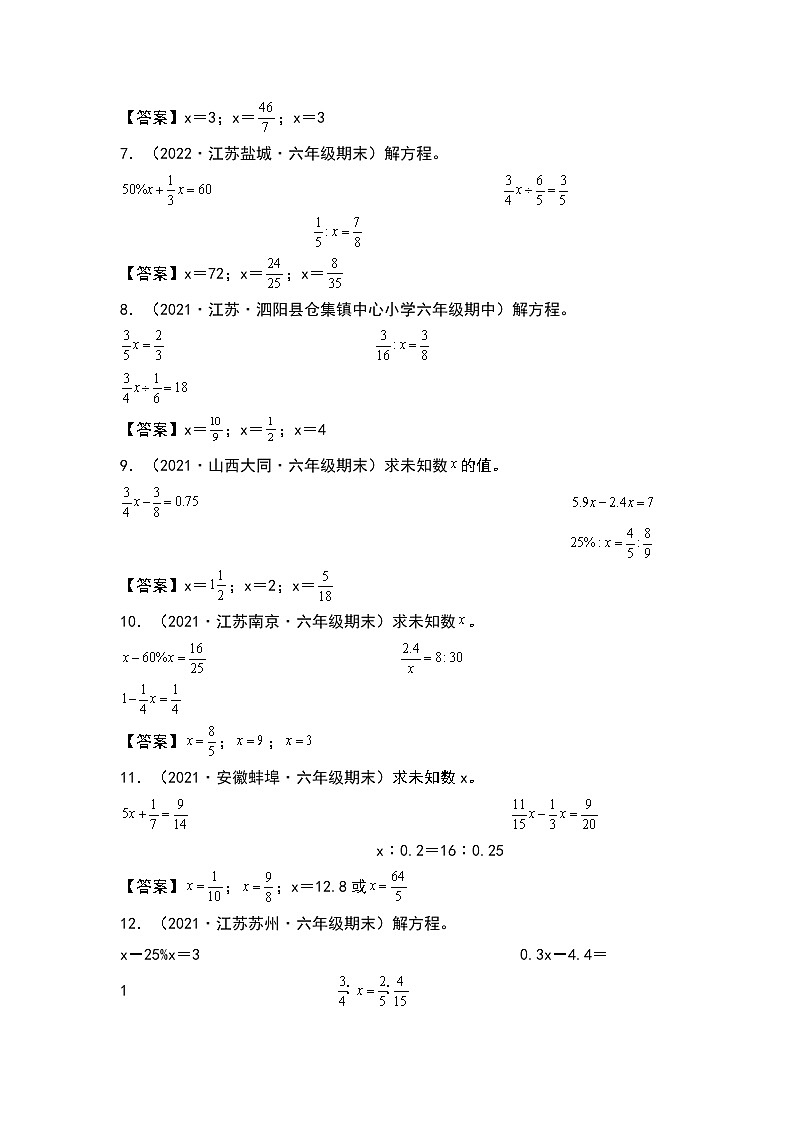
7.(2022·江苏盐城·六年级期末)解方程。
【答案】x=72;x=;x=
8.(2021·江苏·泗阳县仓集镇中心小学六年级期中)解方程。
【答案】x=;x=;x=4
9.(2021·山西大同·六年级期末)求未知数的值。
【答案】x=;x=2;x=
10.(2021·江苏南京·六年级期末)求未知数。
【答案】;;
11.(2021·安徽蚌埠·六年级期末)求未知数x。
x∶0.2=16∶0.25
【答案】;;x=12.8或
12.(2021·江苏苏州·六年级期末)解方程。
x-25%x=3 0.3x-4.4=1
【答案】x=4;x=18;
13.(2021·江苏泰州·六年级期末)解方程。
【答案】x=9; x=;x=41
14.(2020·江苏扬州·六年级期末)求未知数x。
【答案】x=14; x=25;x=1
15.(2021·安徽马鞍山·六年级期末)求未知数x。
x-25%x=21
【答案】x=;x=28;x=0.75
16.(2021·江苏南京·六年级期末)求未知数x。
(1)28x=42 (2)x-x= (3)13∶7=6.5∶x
【答案】(1)x=1.5(2)x=(3)x=
17.(2021·江苏·六年级期末)解方程。
(-4.5)×2=0.5
【答案】;=4.75;
18.(2021·江苏连云港·六年级期末)求的值。
【答案】x=12;x=2.4;x=
19.(2021·江苏徐州·六年级期末)解方程。
【答案】;;
20.(2021·江苏苏州·六年级期末)解方程。
(x-0.45)×2=5
【答案】x=;x=2.95;x=
21.(2021·江苏盐城·六年级期末)求x的值。
7.5x-2.5x=34 =28∶ x÷=
【答案】x=6.8;x=;x=
22.(2021·江苏苏州·六年级期末)解方程或比例。
【答案】x=;x=0.6;x=1.5
2024年小升初数学典型例题系列-热点02:关于解方程或解比例的计算问题-(原卷版+解析版): 这是一份2024年小升初数学典型例题系列-热点02:关于解方程或解比例的计算问题-(原卷版+解析版),文件包含热点02关于解方程或解比例的计算问题-2024年小升初数学典型例题系列原卷版docx、热点02关于解方程或解比例的计算问题-2024年小升初数学典型例题系列解析版docx等2份试卷配套教学资源,其中试卷共34页, 欢迎下载使用。
2023-2024学年六年级数学下册典型例题系列-第四单元解比例“基础版”专项练习-苏教版--(原卷版+解析版): 这是一份2023-2024学年六年级数学下册典型例题系列-第四单元解比例“基础版”专项练习-苏教版--(原卷版+解析版),文件包含2023-2024学年六年级数学下册典型例题系列-第四单元解比例“基础版”专项练习-苏教版-原卷版docx、2023-2024学年六年级数学下册典型例题系列-第四单元解比例“基础版”专项练习-苏教版-解析版docx等2份试卷配套教学资源,其中试卷共25页, 欢迎下载使用。
第四讲解方程或解比例专项练习——2022-2023学年小升初数学典型题(原卷版+解析版): 这是一份第四讲解方程或解比例专项练习——2022-2023学年小升初数学典型题(原卷版+解析版),文件包含2022-2023学年小升初数学典型题第四讲解方程或解比例专项练习解析版docx、2022-2023学年小升初数学典型题第四讲解方程或解比例专项练习原卷版docx等2份试卷配套教学资源,其中试卷共34页, 欢迎下载使用。
