所属成套资源:2022年高考数学大数据精选模拟卷(广东专用)
2月大数据精选模拟卷05-2022年高考数学大数据精选模拟卷(广东专用)
展开
这是一份2月大数据精选模拟卷05-2022年高考数学大数据精选模拟卷(广东专用),文件包含2月大数据精选模拟卷05广东专用解析版docx、2月大数据精选模拟卷05广东专用原卷版docx等2份试卷配套教学资源,其中试卷共24页, 欢迎下载使用。
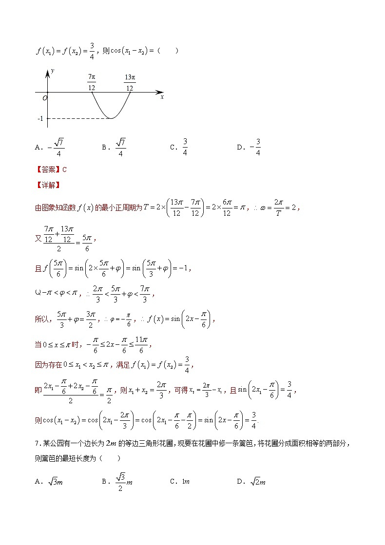
2月大数据精选模拟卷05(广东专用)数 学本卷满分150分,考试时间120分钟。一、单项选择题:本题共8小题,每小题5分,共40分.在每小题给出的四个选项中,只有一个选项是符合题目要求的.1.已知集合,,则( )A. B. C. D.【答案】B【详解】,所以,故选:B.2.设复数,则( )A. B. C. D.【答案】D【详解】,所以,故选:D.3.已知,则( )A. B. C. D.【答案】B【详解】解:,则其展开式的通项为:,当时,,所以.故选:B.4.把座位号为、、、、、的六张电影票全部分给甲、乙、丙、丁四个人,每人至少一张,且分给同一人的多张票必须连号,那么不同的分法种数为( )A. B. C. D.【答案】B【详解】因为每人至少一张,且分给同一人的多张票必须连号,又分给甲、乙、丙、丁四个人,则在座位号、、、、、的五个空位插3个板子,有种,然后再分给甲、乙、丙、丁四个人,有种,所以不同的分法种数为,故选:B5.在样本的频率分布直方图中,共有个小长方形,这个小长方形的面积由小到大依次构成等比数列,已知,且样本容量为,则对应小长方形面积最大的一组的频数为( )A. B. C. D.【答案】D【详解】设等差数列的公比为,则,所以,所以这个小长方形的面积由小到大依次为,,,,所以,解得:,所以对应小长方形面积最大的一组的频数为,故选:D6.已知函数的部分图象如图所示,若存在,满足,则( )A. B. C. D.【答案】C【详解】由图象知函数的最小正周期为,,又,且,,,所以,,,,当时,,因为存在,满足,即,则,可得,且,则.7.某公园有一个边长为的等边三角形花圃,现要在花圃中修一条篱笆,将花圃分成面积相等的两部分,则篱笆的最短长度为( )A. B. C. D.【答案】D【详解】设等边三角形花圃为,因为边长为,所以,设篱笆的长度为,的长为, 则,因为,所以,即,所以,在中,由余弦定理可得:,即由基本不等式可得,当且仅当即时,篱笆长取得最小值为,故答案为:D8.已知函数为R上的奇函数,且图象关于点对称,且当时,,则函数在区间上的( )A.最小值为 B.最小值为 C.最大值为 D.最大值为【答案】B【详解】时,,且是减函数,∵是奇函数,∴在上是减函数且又,∴在上是减函数.由的图象关于点对称得,又是奇函数,,∴,,即,∴是周期函数,周期为4.∴且,∴,∴.在上递减,则在上递减,,而,∴在上的最小值是. 二、多项选择题:本题共4小题,每小题5分,共20分.在每小题给出的选项中,有多项符合题目要求,全部选对的得5分,部分选对的得3分,有选错的得0分.9.如图为某市2020年国庆节7天假期的楼房认购量与成交量的折线图,小明同学根据折线图对这7天的认购量(单位:套)与成交量(单位:套)作出如下判断,则判断错误的为( )A.日成交量的中位数是16B.日成交量超过日平均成交量的有2天C.10月7日认购量的增幅大于10月7日成交量的增幅D.日认购量的方差大于日成交量的方差【答案】ABC【详解】7天假期的楼房认购量为:91、100、105、107、112、223、276;成交量为:8、13、16、26、32、38、166.对于A,日成交量的中位数是26,故A错误;对于B,因为日平均成交量为,日成交量超过日平均成交量的只有10月7日1天,故B错误;对于C,10月7日认购量的增幅为,10月7日成交量的增幅为,即10月7日认购量的增幅小于10月7日成交量的增幅,故C错误;对于D,因为日认购量的数据分布较分散些,方差大些,故D正确.故选:ABC10.设a,b是两条不重合的直线,,是两个不同的平面.下列四个命题中,正确的是( )A.若,,则 B.若,,则C.若,,则 D.若,,则【答案】BCD【详解】对于A:若,,则可平行,可相交,也可异面,故A错误;对于B:若,,则,故B正确;对于C:若,,则,故C正确;对于D:,,则,故D正确.故选:BCD11.已知动点P在左、右焦点分别为、的双曲线C上,下列结论正确的是( )A.双曲线C的离心率为2 B.当P在双曲线左支时,的最大值为C.点P到两渐近线距离之积为定值 D.双曲线C的渐近线方程为【答案】AC【详解】在双曲线C中,实半轴长,虚半轴长,半焦距.对于AD,双曲线的离心率,渐近线方程为,故A正确,D错误;对于B,当P在双曲线的左支上时,,故,当且仅当时,即时等号成立,故的最大值为,故B错误;对于C,设,则,即,而渐近线为和,故到渐近线的距离之积为为定值,故C正确.12.已知函数,则下列说法正确的是( )A.有且只有一个极值点B.设,则与的单调性相同C.有且只有两个零点D.在上单调递增【答案】ACD【详解】解:由题知,,,所以在上单调递增,当时,;当时,,所以存在,使得,所以函数在上单调递减,在上单调递增,所以有且只有一个极值点,故A正确;因为,所以,所以所以,故的一个极值点为,所以与的单调性不相同,故B错误;因为有且只有一个极值点,,且,所以在和上各有一个零点,所以有且只有两个零点,故C正确;因为与在上都是单调递增,所以在上单调递增,D正确.故选:ACD. 三、填空题:本题共4小题,每小题5分,共20分.13.若,满足,,,则________.【答案】【详解】解: ,,解得:.14.2020年初,湖北成为全国新冠疫情最严重的省份,面临医务人员不足,医疗物资紧缺等诸多困难,全国人民心系湖北,志愿者纷纷驰援.若某医疗团队从甲,乙,丙,丁4名医生志愿者中,随机选取2名医生赴湖北支援,则甲被选中的概率为_____.【答案】【详解】解:某医疗团队从甲,乙,丙,丁4名医生志愿者中,随机选取2名医生赴湖北支援,基本事件有(甲,乙),(甲,丙),(甲,丁),(乙,丙),(乙,丁),(丙,丁)共6个.甲被选中包含的基本事件有(甲,乙),(甲,丙),(甲,丁)共3个,∴甲被选中的概率为p.15.已知F为抛物线C:y2=4x的焦点,过点F的直线l与抛物线C交于A,B两点,与抛物线C的准线交于点D,若F是AD的中点,则|FB|=________.【答案】【详解】如图所示:过点A,B,F分别向准线引垂线,交准线于点M,N,E,由题意得FE=2,且F是AD的中点,则EF为的中位线,所以AM=4,则AF= DF=4,所以,即,又由抛物线定义可得:FB=BN,且BD=2BN,所以3BF=DF=4,即,16.函数,若存在a,b,c(),使得,则的最小值是________.【答案】.【详解】设,则,,,且,由,得,由,得,所以,设,则,,设,则,所以在单调递减,在单调递增,所以,故的最小值是.故答案为:.四、解答题:本题共6小题,共70分.解答应写出文字说明、证明过程或演算步骤.17.在①,②,③,这三个条件中任选一个,补充在下面问题中,若问题中的三角形存在,求的面积;若问题中的三角形不存在,说明理由.问题:是否存在,设角A,B,C的对边分别为a,b,c,且,__________,?【详解】选择①:由余弦定理可知,,由正弦定理得,,又,所以,所以是直角三角形,则,所以的面积.选择②:由正弦定理得,,即,又,所以,所以,即,又,所以.由正弦定理得,,所以的面积.选择③:因为,所以,又,所以,所以,,即.由正弦定理得,,所以的面积.18.已知数列的前项和满足,数列是公差为的等差数列,.(1)求数列,的通项公式;(2)设,求数列的前项和.【详解】(1)由得,当时,,当时,,所以满足时的情况,所以,因为,所以;(2)因为,所以,所以.19.如图,在四棱柱中,底面,,,且,.(1)求证:平面平面;(2)求二面角所成角的余弦值.【答案】(1)证明见解析;(2).【详解】(1)证明:因为,,所以,,因为,所以,所以,即.因为底面,所以底面,所以.因为,所以平面,又平面,所以平面平面.(2)解:如图,分别以,,为,,轴,建立空间直角坐标系,则,,,,.所以,,,设平面的法向量为,则令,得.设平面的法向量为,则令,得,所以,由图知二面角为锐角,所以二面角所成角的余弦值为.20.年月日既是中华人民共和国第个国庆日,又是农历中秋节,双节同庆,很多人通过短视频或微信、微博表达了对祖国的祝福.某调查机构为了解通过短视频或微信、微博表达对祖国祝福的人们是否存在年龄差异,通过不同途径调查了数千个通过短视频或微信、微博表达对祖国祝福的人,并从参与者中随机选出人,经统计这人中通过微信或微博表达对祖国祝福的有人.将这人按年龄分组:第组,第组,第组,第组,第组,得到的频率分布直方图如图所示:(1)求的值并估计这人的平均年龄;(2)把年龄在第,,组的居民称为青少年组,年龄在第,组的居民称为中老年组,选出的人中通过短视频表达对祖国祝福的中老年人有人,问是否有的把握认为是否通过微信或微博表达对祖国的祝福与年龄有关?附:【详解】解:(1)由得,.这人的平均年龄为:.(2)前组人数为,由题意得列联表: 通过短视频表达祝福通过微信或微博表达祝福合计青少年中老年合计,所以是有的把握认为通过微信或微博表达对祖国的祝福与年龄有关.21.已知椭圆:()的焦距为,过左顶点且斜率为的直线和以椭圆的右顶点为圆心,短半轴为半径的圆相切.(1)求椭圆的方程;(2)若过点作两条互相垂直的直线和,分别交椭圆于,两点,问轴上是否存在一定点,使得成立,若存在,则求出该定点,若不存在,请说明理由.【详解】(1)设右焦点,右顶点,因为,所以,因为椭圆的左顶点,故直线方程为,即,由题意知,,解得,,所以椭圆的方程为.(2)由(1)可知右顶点,且过点的直线和的斜率存在且不为0,设直线和的方程分别为和,设,,联立,得,因为直线和椭圆交于,两点,所以,即,即,,同理.设轴上存在一定点,使得成立,则,即,即,因为,,即,解得.因此轴上存在一定点,使得成立.22.已知函数.(1)若,求函数的单调区间;(2)若在上恒成立,求整数的最大值.【详解】(1)解:若,,函数的定义域为,得.设,则.故在上单调递减,且,故当时,,即,单调递增:当时,,即,单调递减.综上,的单调递增区间为,单调递减区间为.(2)解法1:原不等式等价于,即在上恒成立.设,.则,设,则.所以在上单调递增.又,,根据零点存在性定理,可知在上有唯一零点,设该零点为,则,且,即.当时,,即,故在上单调递减;当时,,即,故在上单调递增;所以由题意可知,又,得,因为.所以整数的最大值为4.解法2:原不等式等价于在上恒成立.设,则.(ⅰ)当时,在上恒成立,所以在上单调递增.故在上恒成立.(ⅱ)当时,令,得当时,,故)在上单调递减:当时,,故在上单调递增.要使在上恒成立,只需.令,,则,所以在上单调递减.又,,所以在上存在唯一的零点且,从而的解为.因为,所以整数的最大值为4.
相关试卷
这是一份5月大数据精选模拟卷05-2022年高考数学大数据精选模拟卷(广东专用),文件包含5月大数据精选模拟卷05广东专用解析版docx、5月大数据精选模拟卷05广东专用原卷版docx等2份试卷配套教学资源,其中试卷共23页, 欢迎下载使用。
这是一份5月大数据精选模拟卷04-2022年高考数学大数据精选模拟卷(广东专用),文件包含5月大数据精选模拟卷04广东专用解析版docx、5月大数据精选模拟卷04广东专用原卷版docx等2份试卷配套教学资源,其中试卷共24页, 欢迎下载使用。
这是一份5月大数据精选模拟卷03-2022年高考数学大数据精选模拟卷(广东专用),文件包含5月大数据精选模拟卷03广东专用解析版docx、5月大数据精选模拟卷03广东专用原卷版docx等2份试卷配套教学资源,其中试卷共24页, 欢迎下载使用。

