2022湖州丽水衢州三地高三4月教学质量检测(二模)数学试题含解析
展开
2023届浙江省湖州、衢州、丽水三地市高三下学期4月教学质量检测(二模)数学试题含解析: 这是一份2023届浙江省湖州、衢州、丽水三地市高三下学期4月教学质量检测(二模)数学试题含解析,共32页。试卷主要包含了6,答对每道抢答题的概率为0,841,024等内容,欢迎下载使用。
衢州、湖州、丽水三地高三4月教学质量检测数学试题含答案: 这是一份衢州、湖州、丽水三地高三4月教学质量检测数学试题含答案
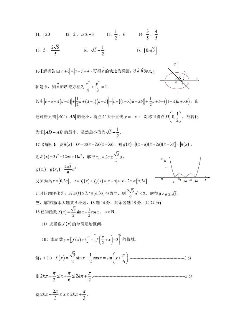
2021衢州、湖州、丽水高三11月教学质量检测数学试题PDF版含答案: 这是一份2021衢州、湖州、丽水高三11月教学质量检测数学试题PDF版含答案

