







北师大版八年级下册第五章 分式与分式方程2 分式的乘除法备课ppt课件
展开
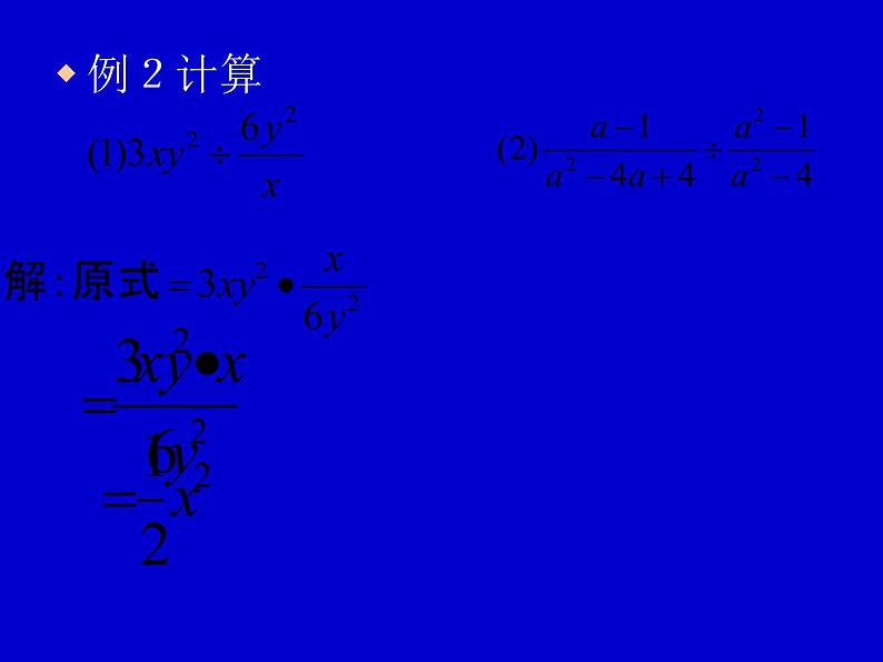
这是一份北师大版八年级下册第五章 分式与分式方程2 分式的乘除法备课ppt课件,共19页。PPT课件主要包含了课前三分钟,类比的数学思想,猜一猜,预习检测,分式的乘法法则,分式除法法则,例2计算,开心练习,做一做,智力冲浪等内容,欢迎下载使用。
学习目标 1、理解分式乘除法的法则. 2、会进行简单的分式乘除运算
两个分式相乘,把分子相乘的积作为积的分子,把分母相乘的积作为积的分母。
两个分式相除,把除式的分子和分母颠倒位置后再与被除式相乘。
分式运算的结果通常要化成最简分式或整式.
假如我们把西瓜都看成球形,半径为R并把西瓜瓤的密度看成是均匀的, 西瓜的皮厚都xcm .
(1) 西瓜瓤与西瓜的体积各是多少?(2) 西瓜瓤与西瓜的体积的比是多少?(3) 买大西瓜合算还是买小西瓜合算?
1、下面的计算对吗?如果不对,应该怎样改正?
A.x≠3且x≠-2 B.x≠3且x≠4C.x≠3且x≠-3 D.x≠-2且x≠3且x≠4
送给你一个惊喜,直接加5分
这节课你学到了哪些知识?收获了什么样的数学思想?
作业:P116 1题、2题 思维拓展
相关课件
这是一份初中数学北师大版八年级下册2 分式的乘除法授课课件ppt,共16页。PPT课件主要包含了情境导入,新知探究,练习巩固,课堂小结,教材习题53,布置作业等内容,欢迎下载使用。
这是一份北师大版八年级下册第五章 分式与分式方程2 分式的乘除法教学演示ppt课件,共31页。PPT课件主要包含了情境引入,水高为,类比探究,类似于分数分式有,乘法法则,除法法则,例1计算,解1原式,2原式,做一做等内容,欢迎下载使用。
这是一份北师大版八年级下册第五章 分式与分式方程2 分式的乘除法课文内容ppt课件,共18页。PPT课件主要包含了课前三分钟,类比的数学思想,猜一猜,预习检测,分式的乘法法则,分式除法法则,例2计算,开心练习,做一做,智力冲浪等内容,欢迎下载使用。
