资料中包含下列文件,点击文件名可预览资料内容
还剩2页未读,
继续阅读
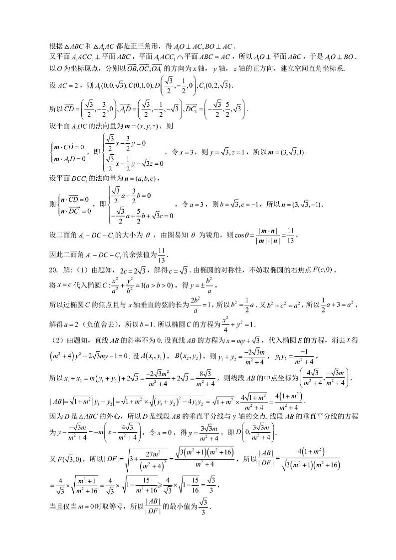
2022届陕西省西安市西工大附中高三第六次适应性训练数学(理)试题PDF版含答案
展开
这是一份2022届陕西省西安市西工大附中高三第六次适应性训练数学(理)试题PDF版含答案,文件包含数学理答案pdf、数学理试题pdf等2份试卷配套教学资源,其中试卷共8页, 欢迎下载使用。
相关试卷
2022届陕西省西安市西工大附中高三第七次适应性训练数学(理)试题PDF版含答案:
这是一份2022届陕西省西安市西工大附中高三第七次适应性训练数学(理)试题PDF版含答案,文件包含试题pdf、答案pdf等2份试卷配套教学资源,其中试卷共7页, 欢迎下载使用。
2022届陕西省西安市西工大附中高三第六次适应性训练数学(文)试题PDF版含答案:
这是一份2022届陕西省西安市西工大附中高三第六次适应性训练数学(文)试题PDF版含答案,文件包含数学文试题pdf、数学文答案pdf等2份试卷配套教学资源,其中试卷共7页, 欢迎下载使用。
2022届陕西省西安市西工大附中高三第七次适应性训练数学(文)试题PDF版含答案:
这是一份2022届陕西省西安市西工大附中高三第七次适应性训练数学(文)试题PDF版含答案,文件包含7模试题文数pdf、7模答案文数pdf等2份试卷配套教学资源,其中试卷共7页, 欢迎下载使用。

