小学数学人教版五年级下册4 分数的意义和性质通分通分说课ppt课件
展开
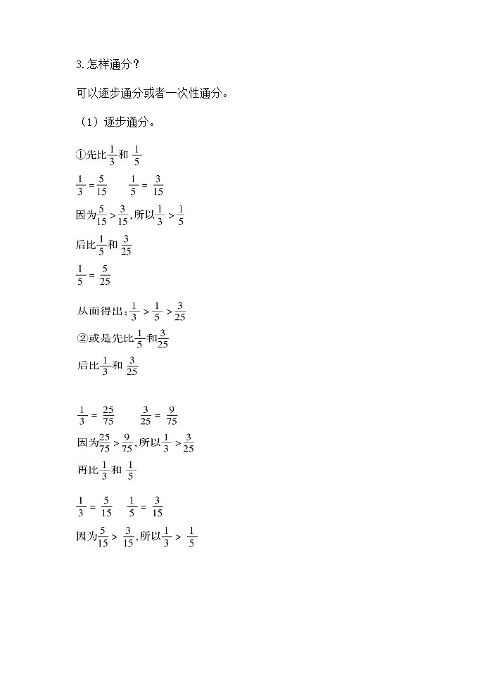
这是一份小学数学人教版五年级下册4 分数的意义和性质通分通分说课ppt课件,文件包含5416通分2课件ppt、5416通分2教案docx、5416通分2学案docx、5416通分2当堂达标docx等4份课件配套教学资源,其中PPT共14页, 欢迎下载使用。
5.4.16通分(2)班级: 姓名: 【课堂达标】1.( )叫通分。 2.给下列各组分数通分。和 和 和 3.比较每组中两个分数的大小。○ ○ ○ ○ ○ ○ ○ ○【拓展练习】4.3、5和25的最小公倍数是( ) 。 5.聪聪和明明从学校的图书馆各借了一本《格林童话》。聪聪看了这本书的,明明看了这本书的。谁看的页数多? 【学习评价】自评师评☆☆☆ 5.4.16通分(2)参考答案【课堂达标】1. 把异分母分数分别化成和原来分数相等的同分母分数2. = = = = = =3. < < < > > < > <【拓展练习】4. 755. 因为=,=,>,所以聪聪看的多。
相关课件
这是一份数学五年级下册1 观察物体(三)背景图课件ppt,文件包含512观察物体课件ppt、512观察物体教案doc、512观察物体学案1doc、512观察物体学案doc、512观察物体当堂达标doc等5份课件配套教学资源,其中PPT共15页, 欢迎下载使用。
这是一份小学通分授课课件ppt,文件包含5415通分1课件ppt、5415通分1教案docx、5415通分1学案docx、5415通分1当堂达标docx等4份课件配套教学资源,其中PPT共13页, 欢迎下载使用。
这是一份小学数学人教版五年级下册4 分数的意义和性质真分数和假分数课文配套ppt课件,文件包含546真分数和假分数2课件ppt、546真分数和假分数2教案doc、546真分数和假分数2学案doc、546真分数和假分数2当堂达标docx等4份课件配套教学资源,其中PPT共12页, 欢迎下载使用。

