所属成套资源:2022新高考艺术生40天突破数学90分专题训练
第20讲 正余弦定理-2022年新高考艺术生40天突破数学90分练习题
展开
这是一份第20讲 正余弦定理-2022年新高考艺术生40天突破数学90分练习题,文件包含第20讲正余弦定理解析版docx、第20讲正余弦定理原卷版docx等2份试卷配套教学资源,其中试卷共31页, 欢迎下载使用。
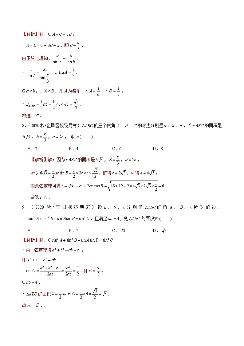
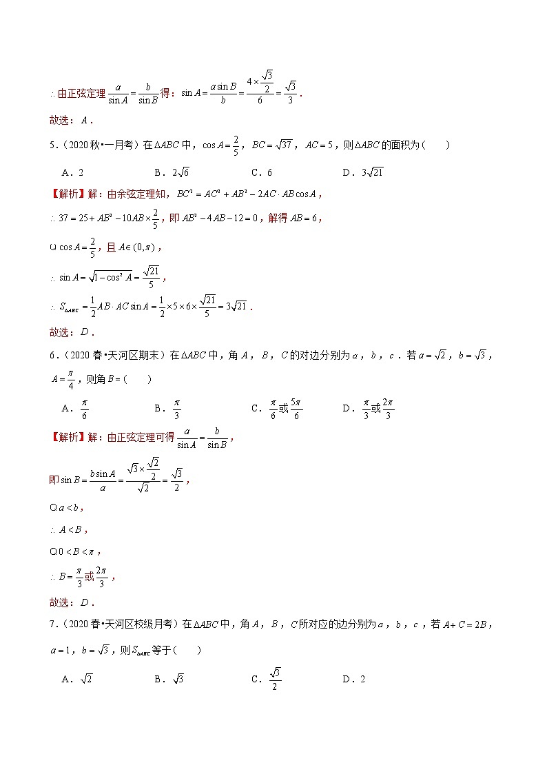
第20讲 正余弦定理一.选择题(共18小题) 1.(2020秋•金安区校级期末)在中,角,,所对应的边分别为,,,若,,,则 A. B. C. D.2.(2020秋•东莞市期末)在中,,,,则 A. B. C.3 D.3.(2020秋•榆林期末)的内角,,的对边分别为,,.若,,,则的值为 A. B. C. D.4.(2020秋•会宁县期末)在中,已知,,,则的值为 A. B. C. D.5.(2020秋•一月考)在中,,,,则的面积为 A.2 B. C.6 D.6.(2020春•天河区期末)在中,角,,的对边分别为,,.若,,,则角 A. B. C.或 D.或7.(2020春•天河区校级月考)在中,角,,所对应的边分别为,,,若,,,则等于 A. B. C. D.28.(2020秋•金凤区校级月考)的三个内角、、的对边分别是、、,若的面积是,,,则 A.2 B.4 C.6 D.89.(2020秋•宁县校级期末)设,,分别是的角,,所对的边,,且满足,则的面积为 A.1 B.2 C. D.10.(2020秋•河南期末)在中,若,则最大角的余弦值为 A. B. C. D.11.(2020秋•宁县校级期末)在中,若,则角 A. B. C. D.12.(2020春•荔湾区期中)设的三边分别为,,,若,,则的外接圆半径为 A. B. C. D.213.(2020秋•襄阳期中)在中,已知,,,则 A. B.或 C. D.或14.(2020春•道里区校级期中)已知的三个内角,,的对边分别为,,,若,,,则等于 A.1 B.2 C.3 D.415.(2020春•沙坪坝区校级期末)在中,若,则 A. B. C. D.16.(2020•内三模)已知中内角、、所对应的边依次为、、,若,则的面积为 A. B. C. D.17.(2020•河西区二模)已知的内角,,的对边分别为,,,的面积为,,则 A. B. C. D.18.(2020春•青羊区校级期中)已知的三个内角,,所对的边分别为,,,其面积为,若满足关系式,则角 A. B. C. D.二.填空题(共7小题)19.(2020秋•咸阳期末)在中,内角,,所对的边分别是,,,若,,,则的面积为 .20.(2021•一模拟)的内角,,所对的边长分别为,,,若,则 .21.(2020秋•南昌期末)在中,角,,的对边分别是,,,若,,则 .22.(2020秋•桂林期末)在中,三个内角,,的对边分别是,,,若,,,则 .23.(2020秋•郑州期末)在中,角,,的对边分别为,,,,,则的面积是 .24.(2020秋•昌江区校级期中)已知的内角,,的对边分别为,,,若的面积为,则 .25.(2020春•温江区期末)在中,角,,所对的边为,,,若的面积,则的大小为 .三.解答题(共25小题)26.(2020春•温州期中)在锐角中,角,,所对的边分别为,,,已知,.(1)求角的大小;(2)求周长的取值范围.27.(2020春•绥化期末)在中,角,,所对的边分别是,,,且.(1)求;(2)若的面积为8,,求的值.28.(2019秋•拉萨期末)的内角,,的对边分别别为,,,已知.(Ⅰ)求;(Ⅱ)若的面积为,求的周长.29.(2020•靖远县模拟)在中,角,,所对的边分别为,,,且满足.(1)求角的大小;(2)若,求面积的最大值.30.(2019秋•咸阳期末)在中,、、分别是角、、的对边,且.(1)求角的大小;(2)若,,求的面积.31.(2018秋•巴南区期末)已知中,内角,的对边分别为,,,且.(Ⅰ)求证:,,成等差数列;(Ⅱ)求函数取得最大值时角的值.32.(2019秋•安徽月考)在锐角中,内角,,的对边分别为,,.已知(1)求角;(2)若,,求的值.33.(2020秋•卡若区校级期末)在中,,,的对边分别为,,,且.(1)求的大小;(2)如果,,求的值.34.(2020秋•海原县校级期末)(1)在中,,,,求的长;(2)在中,角,,所对的边分别为,,,若,,,求的面积.35.(2020秋•滁州期末)已知的内角,,的对边分别是,,,满足.(1)若,,求的面积;(2)求的值.36.(2020秋•金凤区校级期末)的内角,,的对边分别为,,,已知.(1)求;(2)若,的面积为,求的周长.37.(2020秋•金凤区校级期末)已知的三个内角,,所对的边分别为,,,且.(1)求;(2)若,的面积为4,求.38.(2020秋•潍坊期末)已知的内角,,的对边分别为,,,且.(1)求;(2)若,且边上的中线长为,求.39.(2020秋•榆林期末)在中,内角,,的对边分别为,,,且,,.(Ⅰ)求的值;(Ⅱ)求的面积.40.(2020春•金牛区校级月考)已知函数.(1)求的单调递增区间;(2)在中,内角,,的对边分别为,,,已知(A),,,成等差数列,且,求边的值.41.(2019秋•让胡路区校级期末)已知,,分别为三个内角,,的对边,且满足:.(1)求.(2)若是中点,,求的面积.42.(2020秋•宣城期末)已知在中,角,,的对边分别为,,,且.(1)求角的大小;(2)若,求面积的最大值.43.(2020秋•洛阳期末)在中,角,,的对边分别为,,,且.(1)求;(2)若,,求,.44.(2020秋•永昌县校级期末)已知函数.(1)求函数的单调递增区间;(2)在中,角,,所对的边分别为,,,若,(C)且,求周长的最大值.45.(2020秋•东莞市期末)在①,,②,这两组条件中任选一组补充在下面问题的横线上,并进行解答.已知的内角,,所对的边分别是,,,若,______.(1)求;(2)求的面积.46.(2020秋•太原期末)已知中,,,分别是角,,的对边,,.(1)求,,;(2)若,求的面积.47.(2020秋•岳麓区校级期末)在锐角中,角、、所对的边分别为、、,已知.(1)求角的大小;(2)若,,求的面积.48.(2020秋•郴州期末)在锐角中,已知内角,,的对边分别为,,,且满足.(Ⅰ)求角;(Ⅱ)若的面积为,且,求.49.(2020秋•天津期末)在中,已知.(1)求角的大小;(2)若,的面积为,求的值.50.(2020春•菏泽期末)在平面四边形中,已知,.(1)若,求; (2)求.
相关试卷
这是一份第1讲 集合-2022年新高考艺术生40天突破数学90分练习题,文件包含第1讲集合解析版docx、第1讲集合原卷版docx等2份试卷配套教学资源,其中试卷共12页, 欢迎下载使用。
这是一份第33讲 轨迹方程-2022年新高考艺术生40天突破数学90分练习题,文件包含第33讲轨迹方程解析版docx、第33讲轨迹方程原卷版docx等2份试卷配套教学资源,其中试卷共12页, 欢迎下载使用。
这是一份第32讲 圆锥曲线-2022年新高考艺术生40天突破数学90分练习题,文件包含第32讲圆锥曲线解析版docx、第32讲圆锥曲线原卷版docx等2份试卷配套教学资源,其中试卷共25页, 欢迎下载使用。

