所属成套资源:2022年高考数学高分突破冲刺练(全国通用)
专题23 不等式证明解答题专练-2022年高考数学高分突破冲刺练(全国通用)
展开
这是一份专题23 不等式证明解答题专练-2022年高考数学高分突破冲刺练(全国通用),文件包含专题23不等式证明解答题专练-2022年高考数学高分突破冲刺练全国通用解析版docx、专题23不等式证明解答题专练-2022年高考数学高分突破冲刺练全国通用原卷版docx等2份试卷配套教学资源,其中试卷共28页, 欢迎下载使用。
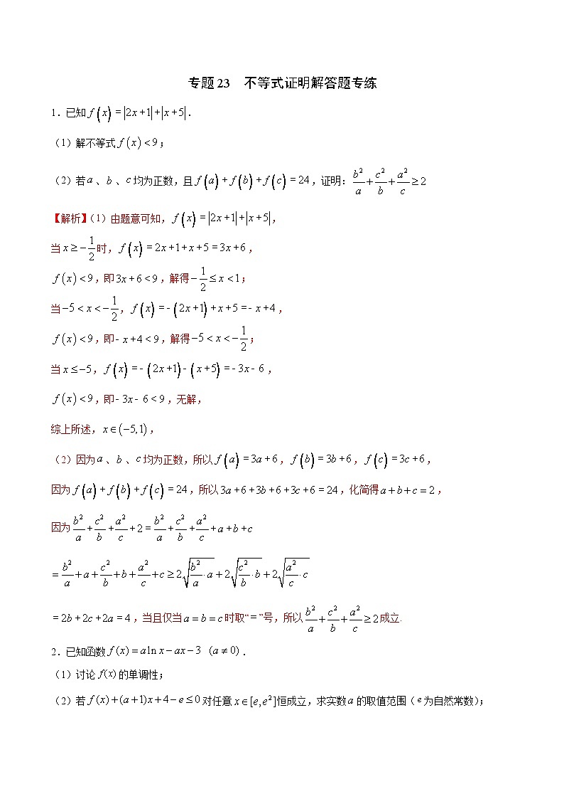
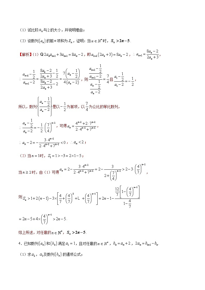
专题23 不等式证明解答题专练1.已知.(1)解不等式;(2)若、、均为正数,且,证明: 2.已知函数 .(1)讨论的单调性;(2)若对任意恒成立,求实数的取值范围(为自然常数);(3)求证:. 3.已知正项数列满足,.(1)试比较与的大小,并说明理由;(2)设数列的前项和为,证明:当时,. 4.已知数列和满足,且对任意的,,.(1)求,及数列的通项公式;(2)记,, 求证:,. 5.已知函数,其中.(1)讨论的单调性;(2)当时,证明:;(3)求证:对任意的且,都有:.(其中为自然对数的底数). 6.正项数列的前项和为,满足对每个,成等差数列,且成等比数列.(1)求的值;(2)求的通项公式;(3)求证: 7.记函数的最小值为.(1)求的值;(2)若正数,,满足,证明:. 8.设函数()的最小值为.(1)求的值;(2)若,,为正实数,且,证明:. 9.已知函数的图像在点处的切线方程为.(1)确定实数的值,并求函数的单调区间;(2)若,求证:. 10.已知函数. (1)求不等式的解集;(2)设函数的最小值为m,当a,b,,且时,求的最大值. 11.已知实数a、b、.(1)若,求的最小值;(2)若,求证:. 12.已知,,为正数,且满足.(1)证明:.(2)证明:. 13.(1)用反证法证明:若角A,B为三角形ABC的内角,且A>B,则cosB>0;(2)证明:当a>0,b>0,且a≠b时,有. 14.已知实数a、b、c>0,求证:a3+b3+c3≥(a2+b2+c2)·(a+b+c). 15.(1)已知实数满足,证明:;(2)已知,求证:-≥+-2. 16.设函数.(1)若的解集为,求实数,的值;(2)当,时,若存在,使得成立的的最大值为,且实数,满足,证明:. 17.(1)已知,证明:;(2)若对任意实数,不等式恒成立,求实数的取值范围. 18.已知函数,,对于任意的,都有.(1)求的取值范围(2)若,证明:()(3)在(2)的条件下,证明: 19.已知数列满足,.(1)证明:数列为等比数列,并求数列的通项公式;(2)求证:. 20.已知,其中a∈R.(1)讨论f(x)的极值点的个数;(2)当n∈N*时,证明:.
相关试卷
这是一份专题13 空间几何体的体积-2022年高考数学高分突破冲刺练(全国通用),文件包含专题13空间几何体的体积-2022年高考数学高分突破冲刺练全国通用解析版docx、专题13空间几何体的体积-2022年高考数学高分突破冲刺练全国通用原卷版docx等2份试卷配套教学资源,其中试卷共30页, 欢迎下载使用。
这是一份专题16 圆锥曲线中的面积问题-2022年高考数学高分突破冲刺练(全国通用),文件包含专题16圆锥曲线中的面积问题-2022年高考数学高分突破冲刺练全国通用解析版docx、专题16圆锥曲线中的面积问题-2022年高考数学高分突破冲刺练全国通用原卷版docx等2份试卷配套教学资源,其中试卷共27页, 欢迎下载使用。
这是一份专题12 基本不等式及其应用-2022年高考数学高分突破冲刺练(全国通用),文件包含专题12基本不等式及其应用-2022年高考数学高分突破冲刺练全国通用解析版docx、专题12基本不等式及其应用-2022年高考数学高分突破冲刺练全国通用原卷版docx等2份试卷配套教学资源,其中试卷共22页, 欢迎下载使用。

