所属成套资源:2022年高考数学压轴必刷题(第二辑)
专题08分段函数及其应用B辑-2022年高考数学压轴必刷题(第二辑)
展开这是一份专题08分段函数及其应用B辑-2022年高考数学压轴必刷题(第二辑),文件包含专题08分段函数及其应用B辑解析版docx、专题08分段函数及其应用B辑原卷版docx等2份试卷配套教学资源,其中试卷共31页, 欢迎下载使用。
2022年高考数学压轴必刷题(第二辑)
专题08分段函数及其应用B辑
1.已知函数 若不等式对任意上恒成立,则实数的取值范围为( )
A. B. C. D.
【答案】C
解:由题意得:设,易得,
可得,与x轴的交点为,
① 当,由不等式对任意上恒成立,可得临界值时,相切,此时,,
可得,可得切线斜率为2,,,可得切点坐标(3,3),
可得切线方程:,切线与x轴的交点为,可得此时,,
综合函数图像可得;
② 同理,当,由相切,
(1)当,,可得,可得切线斜率为-2,,,可得切点坐标(1,3),可得切线方程,可得,综合函数图像可得,
(2)当,,相切,可得,
此时可得可得切线斜率为-2,,,可得切点坐标,
可得切线方程:,
可得切线与x轴的交点为,可得此时,,
综合函数图像可得,
综上所述可得,
故选C.
2.已知函数与函数有相同的对称中心,若有最大值,则实数的取值范围是( )
A. B. C. D.
【答案】C
因为的对称中心为(0,1),则由平移知识可得,.如图作出函数与直线的图象,
它们的交点是,由,可以判断是函数的极大值点,由图象知当时,有最大值是或;当时,由,因此无最大值,∴所求的取值范围是.
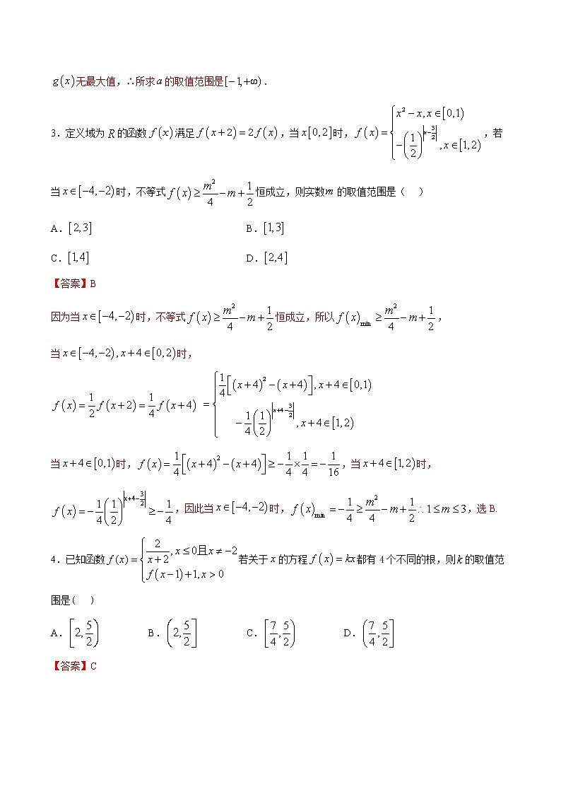
3.定义域为的函数满足,当时,,若当时,不等式恒成立,则实数的取值范围是( )
A. B.
C. D.
【答案】B
因为当时,不等式恒成立,所以,
当时,
当时,,当时, ,因此当时,,选B.
4.已知函数若关于的方程都有4个不同的根,则的取值范围是( )
A. B. C. D.
【答案】C
都有4个不同的根,等价于的图象有四个交点,
因为,
所以,若,则,则;
若,则,则;
若,则,则;
若,则,则;
若,则,则;
,
作出的图象如图,求得,
则,
由图可知,时,的图象有四个交点,
此时,关于的方程有4个不同的根,
所以,的取值范围是,故选C .
5.已知函数是定义在上的偶函数,当时,,则函数的零点个数( )
A. B. C. D.
【答案】B
【解析】
函数有零点即有解,即,
由题意可知,当时,,当时,,
所以当时,,此时的取值范围为;
当时,,此时的取值范围为,时,;
当时,,此时的取值范围为,时,;
当时,,此时的取值范围为,
所以当时,有两解,即当时函数有两个零点,
因为函数是定义在上的偶函数,
所以当时,也有两解,
所以函数共有四个零点,故选B。
6.已知函数(,且)在上单调递增,且关于的方程恰有两个不相等的实数解,则的取值范围是( )
A. B. C. D.
【答案】D
由函数的解析式可知函数在区间上单调递增,
当时,函数单调递减,由复合函数的单调性法则可知:,
且函数在处满足:,解得:,故,
方程恰有两个不相等的实数解,则函数与函数的图像有且仅有两个不同的交点,
绘制函数的图像如图中虚线所示,
令可得:,
由可知,,
则直线与函数的图像在区间上存在唯一的交点,
原问题转化为函数与二次函数在区间上存在唯一的交点,
很明显当,即时满足题意,
当直线与二次函数相切时,设切点坐标为,亦即,
由函数的解析式可得:,故:,则,
切点坐标为,从而:,即.
据此可得:的取值范围是.
故选D.
7.已知函数若关于的方程有且仅有两个不同的整数解,则实数的取值范围是( )
A. B. C. D.
【答案】A
,
当且仅当时,,
方程有且仅有两个不同的整数解等价于,
有两个不同的整数解,
即图象夹在与之间的部分有且仅有两个点的横坐标为整数,
画出的图象,如图,
,
由图象可知,当时,即时,
图象夹在与之间的部分有且仅有两个点的横坐标0,为整数,
所以的取值范围是,故选A.
8.已知函数定义在上的函数满足:,当,,则与的大小关系为( )
A. B.
C. D.不能确定
【答案】A
【解析】
由,知函数在上单调递减,在上单调递增,又,所以函数为偶函数.由,得函数的周期为4.
又 ,
,
而,,且,
所以.故选A.
9.设函数,若,则的取值范围是( )
A. B. C. D.
【答案】D
解:分析题意,可知:
∵a为对数的底数,
∴a只能取a>1和0<a<1两个范围.
又由题意∀x∈R,f(x)>2,
而当0<a<1时,f(x)在x≥1时单调递减趋向﹣∞.
∴0<a<1不满足题意,舍去.
∴只有a>1的情况合适.
当a>1时,函数f(x)在x≥1时的表达式loga(x+3)在x≥1上单调递增,
且在x=1时取最小值f(1)=loga4=2loga2.
由题意,∀x∈R,f(x)>2,
∴必须有2loga2>2,即:a<2.
而在x<1上,
∵a<2.
∴f(x)=(a﹣3)x+3a是递减的一次函数.
此时在x趋向于1时,f(x)=(a﹣3)x+3a趋向于最小值4a﹣3.
∴4a﹣3≥2,解得:
综上所述,可得:.
故选D.
10.已知函数, 若方程有且只有三个不相等的实数解,则实数的取值范围是( )
A. B. C. D.
【答案】A
有且只有三个不相等的实数根,
等价于与图象有三个交点,
画出与图象如图,
与相切时,
过时,,
根据图象可知,时,两图象有三个交点,
若方程有且只有三个不相等的实数解,
则实数的取值范围是,故选A.
11.已知函数,又函数有个不同的零点,则实数的取值范围是( )
A. B.
C. D.
【答案】A
设, 则,
画出函数的图象,如图,
由图可知,
当时,的图象有3个交点,又3个根;
当时,的图象有1个交点,有1个根;
所以要使函数有个不同的零点,
则函数有两个零点:一个零点,另一个零点,
因为因为,抛物线开口向上,
抛物线开口向上,
所以,由函数的图象可得,
即,解得,
实数的取值范围是,故选A.
12.已知函数,又函数有个不同的零点,则实数的取值范围是( )
A. B.
C. D.
【答案】A
因为
当,所以在 时为单调递减函数
当 ,令解得
,所以在 时为单调递增函数
,所以在 时为单调递减函数,且
所以当时,在时取得最大值为
有四个零点,则
令,则有两个不等式实数根,一个在 ,一个在
令
因为
所以只需即可满足有两个不等式实数根,一个在 ,一个在
即解不等式得
所以t的取值范围为
所以选A
13.定义在R上的奇函数,当时,则关于x的函数的所有零点之和为( )
A. B.0 C. D.
【答案】A
因为当时,,
即时,,
当时,,
当时,,
画出时,的图象,再利用奇函数的对称性,画出时的图象,如图所示:
则直线与的图象有5个交点,则方程共有5个实根,
最左边两根之和为,最右边两根之和为,
因为时,,所以,
又,所以,
所以中间的一个根满足,
即,解得,
所以所有根的和为,
故选A.
14.已知函数数列满足:,且是单调递增函数,则实数的取值范围是( )
A. B. C. D.
【答案】C
因为
且是单调递增数列,
所以根据指数函数的单调性可得,
根据一次函数的单调性可得,
由分段函数的单调性结合数列的单调性可得,
,综合三种情况解得. 故选C.
15.若函数在上是单调函数,且存在负的零点,则的取值范围是( )
A. B. C. D.
【答案】B
【解析】
当时,,所以函数在上只能是单调递增函数,又存在负的零点,而当时,f(0)=1+a,当时,f(0)=3a-2,0<3a-21+a,解得
.
故选B.
16.已知函数,设,若中有且仅有4个元素,则满足条件的整数的个数为
A.31 B.32 C.33 D.34
【答案】D
因为,符合条件的整数根,除零外有且只有三个即可,
画出的函数图象如图所示,
当时,;当时,,
即轴左侧的图象在下面,轴右侧的图象在上面,
,,
,,
平移,由图可知,
当时, ,符合题意;
时, ,符合题意;
时, ,符合题意;
时, ,符合题意
整数的值为
及,共个,故选D.
17.若函数(其中是自然对数的底数),且函数有两个不同的零点,则实数的取值范围是( )
A. B. C. D.
【答案】D
由,可得,作出函数的图象,而表示过原点且斜率为的直线,由图可知,当时,与有两个不同
的交点,满足题意;
过原点作的切线,设切点为,因为,
所以切线方程为,将代入,得,
此时切线的斜率为,也即当时,与相切,
由图可知,当时,与有两个不同的交点,满足题意;
综上可知,实数的取值范围是.
答案选D
18.已知函数,则对任意,若,下列不等式成立的是( )
A. B.
C. D.
【答案】D
【解析】
由题意及解析式画分段函数图形:有图可以知道该函数图形关于轴对称是偶函数,,且在为单调递增函数,又对任意,若必有,由于为偶函数,等价于与,即,故选D.
19.已知函数(且),若函数的图象上有且仅有两个点关于轴对称,则的取值范围是( )
A. B. C. D.
【答案】D
【解析】
关于轴对称函数为,时,与的图象有且仅有一个交点,函数的图象上有且仅有两个点关于轴对称,符合题意,当时,要使与的图象有且仅有一个交点,则,综上所述,的取值范围是,,故选D.
20.已知函数 ,则函数的零点个数为( )
A. B. C. D.
【答案】B
【解析】
由可得:或,
当时,,
当时,,单调递减,
当时,,单调递增,
函数在处有极小值,
绘制函数的图象如图所示,观察可得,函数的零点个数为3.
本题选择B选项.
21.已知定义在上的函数满足,且,则方程在区间上的所有实根之和为( )
A. B. C. D.
【答案】C
由题意知
即的图象关于点对称,函数的周期为2,则函数,在区间上的图象如图所示:由图形可知函数,在区间上的交点为,易知点的横坐标为-3,若设的横坐标为,则点的横坐标为-,所以方程在区间上的所有实数根之和为 .
故选C.
22.定义函数,若存在实数使得方程无实数根,则实数的取值范围是( )
A. B. C. D.
【答案】C
【解析】
存在实数使得方程无实数根,等价于值域不为,
当时,时,, 时,,值域为,不合题意,排除;
当时,时,,时,,值域为,不合题意,排除;
当时,时,,时,,值域不为,合题意,排除,故选C.
23.设函数.若曲线与函数的图象有4个不同的公共点,则实数的取值范围是( )
A. B. C. D.
【答案】A
【解析】
由有,显然,在同一坐标系中分别作出直线和函数的图象,当直线与相切时,求出,当直线与相切时,求得,所以,又当直线经过点时,,此时与有两个交点,一共还是4个交点,符合. ,综上,,选A.
24.已知函数(是自然对数底数),方程有四个实数根,则的取值范围为( )
A. B. C. D.
【答案】B
【解析】
函数,
当x≥0时,f′(x)=ex+xex≥0恒成立,所以f(x)在[0,+∞)上为增函数;
当x<0时,f′(x)=-ex-xex=-ex(x+1),
由f′(x)=0,得x=-1,当x∈(-∞,-1)时,f′(x)=-ex(x+1)>0,f(x)为增函数,
当x∈(-1,0)时,f′(x)=-ex(x+1)<0,f(x)为减函数,
所以函数f(x)在(-∞,0)上有一个最大值为f(-1)= -(-1)e-1=,要使方程f2(x)+tf(x)+1=0(t∈R)有四个实数根,
令f(x)=m,则方程m2+tm+1=0应有两个不等根,且一个根在(0,)内,
一个根在( ,+∞)内,再令g(m)=m2+tm+1,因为g(0)=1>0,
则只需g( )<0,即()2+t+1<0,解得:t<.
所以,方程f2(x)+tf(x)+1=0(t∈R)有四个实数根的t的取值范围是(-∞,).
选B.
25.设函数,,若对任意实数,恒成立,则实数的取值范围为( )
A. B. C. D.
【答案】D
【解析】
由题意,当时,,则,
所以,所以,
当时,,则,所以,所以,
综上可得实数的取值范围是,故选D.
26.已知函数满足条件:对于,且,存在唯一的且,使得.当成立时,( )
A. B. C. D.
【答案】A
【解析】
若对于,存在唯一的,使得,所以在和上单调,则,且,由得,即,即,则,故选D.
27.已知函数,函数有四个不同的零点,且满足:, 则的取值范围是( )
A. B. C. D.
【答案】B
【解析】
,
由二次函数的对称性可得
由 可得,
函数有四个不同的零点,
等价于的图象与的图象有四个不同的交点,
画出的图象与的图象,由图可得,
∴
∴=
令 , ∴,故选B.
28.定义在上的函数满足,当时,,函数.若对任意,存在,不等式成立,则实数的取值范围是( )
A. B. C. D.
【答案】A
【解析】
由题得函数在[0,1]上的值域为,
函数在[1,上是减函数,在上是增函数,
所以函数在上的值域为.
所以函数在的值域为∪.
因为定义在上的函数满足,
所以函数在的值域为∪.
所以函数在的值域为∪.
所以函数f(x)在的最小值为-12.
∵函数g(x)=x3+3x2+m,
∴=3x2+6x,
令3x2+6x>0,所以x>0或x<﹣2,
令3x2+6x<0,所以﹣2<x<0,
∴函数g(x)=x3+3x2+m,在(﹣∞,﹣2),(0,+∞)单调递增.在(﹣2,0)单调递减,
∴∃t∈[﹣4,﹣2),g(t)最小=g(﹣4)=m﹣16,
∵不等式f(s)﹣g(t)≥0,
∴﹣12≥m﹣16,
故实数满足m≤4,
故答案为A
29.已知函数,.设为实数,若存在实数,使得成立,则实数的取值范围为( )
A. B. C. D.
【答案】B
当时,,
∵,∴,
∴.
当时,单调递增,
∴.
综上可得.
若存在实数,使得成立,
则,
即,
整理得,
解得.
∴实数的取值范围为.
故选B.
30.已知函数,关于的方程恰好有三个不同的实数解,则的取值范围为( )
A. B. C. D.
【答案】B
【解析】
由分段函数画出函数y=f(x)的图像,如下图
f(1)=0.5,所以当时,有三个解.由的韦达定理可知,,所以,,令函数,,
且,在上单调递减,所以
所以在区间上单调递增,,所以,选B.
相关试卷
这是一份专题17 平面向量B辑-2022年高考数学压轴必刷题(第二辑),文件包含专题17平面向量B辑解析版docx、专题17平面向量B辑原卷版docx等2份试卷配套教学资源,其中试卷共26页, 欢迎下载使用。
这是一份专题11利用导数研究函数的性质B辑-2022年高考数学压轴必刷题(第二辑),文件包含专题11利用导数研究函数的性质B辑解析版docx、专题11利用导数研究函数的性质B辑原卷版docx等2份试卷配套教学资源,其中试卷共31页, 欢迎下载使用。
这是一份专题09分段函数及其应用C辑-2022年高考数学压轴必刷题(第二辑),文件包含专题09分段函数及其应用C辑解析版docx、专题09分段函数及其应用C辑原卷版docx等2份试卷配套教学资源,其中试卷共35页, 欢迎下载使用。

