所属成套资源:2021-2022学年人教A版(2019)高一数学上学期 期末考试仿真模拟试卷
期末考试仿真模拟试卷一-【新教材】2021-2022学年人教A版(2019)高一数学上学期(原卷+解析)
展开
这是一份期末考试仿真模拟试卷一-【新教材】2021-2022学年人教A版(2019)高一数学上学期(原卷+解析),文件包含2021-2022学年高一数学上学期期末考试仿真模拟试卷一全国通用解析版doc、2021-2022学年高一数学上学期期末考试仿真模拟试卷一全国通用原卷版doc等2份试卷配套教学资源,其中试卷共20页, 欢迎下载使用。
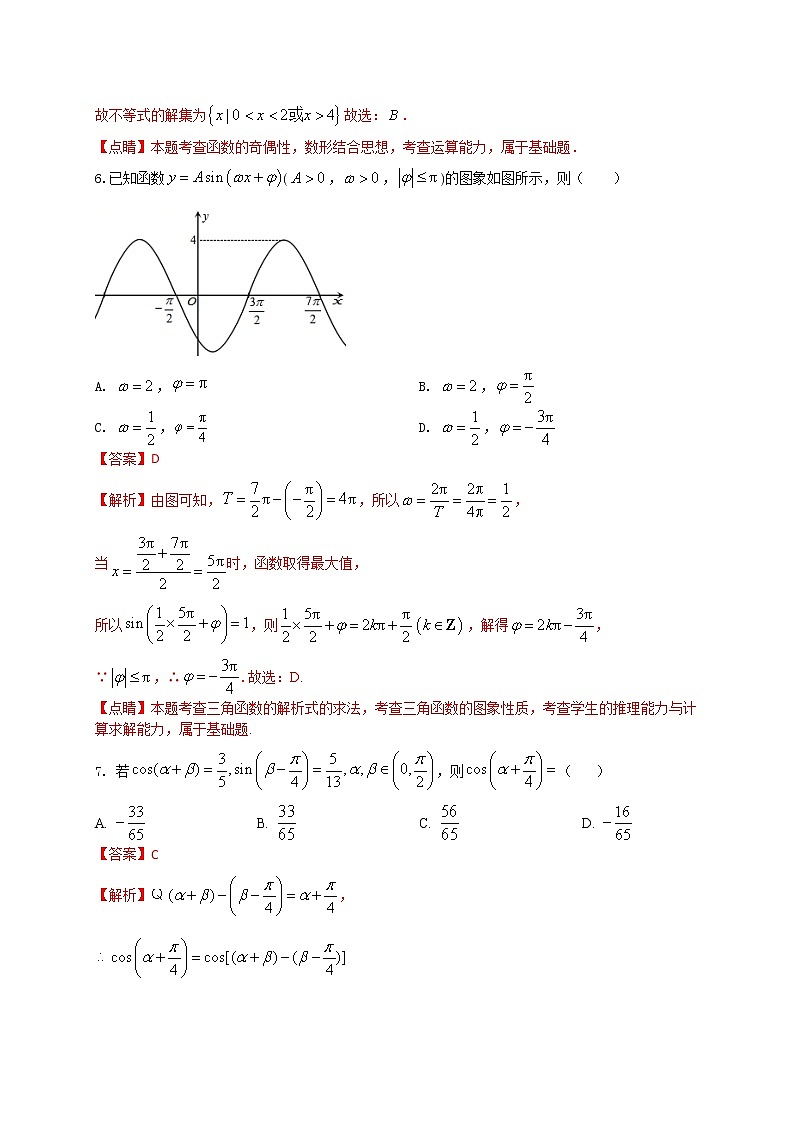
2021-2022学年高一数学上学期期末考试仿真模拟试卷一一、单项选择题:本题共8小题,每小题5分,共40分.在每小题给出的四个选项中,只有一项是符合题目要求的.1.命题:,,则为( )A. , B. , C. , D. , 2.已知集合则( )A. B. C. D. 3. 已知命题:,,命题:函数是减函数,则命题成立是成立的( )A. 充分不必要条件 B. 充要条件C 必要不充分条件 D. 既不充分也不必要条件4.函数的零点所在区间为( )A. B. C. D. 5.已知是奇函数,且当时,则不等式的解集为( )A. 或 B. 或C. 或 D. 或6.已知函数,,的图象如图所示,则( )A. , B. ,C. , D. , 7. 若,则( )A. B. C. D. 8.已知定义在上的奇函数,对任意的都有,当时,,则函数在内所有零点之和为( )A. 6 B. 8 C. 10 D. 12二、多项选择题:本题共4小题,每小题5分,共20分.在每小题给出的选项中,有多项符合题目要求,全部选对的得5分,有选错的得0分,部分选对的得3分.9.已知集合 A = {x | ax2},B ={2,} , 若 B ⊆ A,则实数 a 的值可能是( )A. −1 B. 1 C. −2 D. 210.下列计算结果为有理数的有( ).A. B. lg2 +lg5 C. D. 11.已知函数f(x)=x,g(x)=x-4,则下列结论正确的是( )A. 若h(x)=f(x)g(x),则函数h(x)的最小值为4B. 若h(x)=f(x)|g(x)|,则函数h(x)的值域为RC. 若h(x)=|f(x)|-|g(x)|,则函数h(x)有且仅有一个零点D. 若h(x)=|f(x)|-|g(x)|,则|h(x)|≤4恒成立12.已知函数 的图象关于直线对称,则( )A. 函数为奇函数B. 函数在上单调递增C. 若,则的最小值为D. 函数的图象向右平移个单位长度得到函数的图象三、填空题:本题共4小题,每小题5分,多空题,第一空2分,第二空3分,共20分.13.若“”是“”的必要不充分条件,则的取值范围是________.14..已知函数为偶函数,其中.若此函数的最小正周期为,那么____________.15.已知,则__________.16.已知函数①若,则不等式的解集为__________.②若存在实数,使函数有两个零点,则实数的取值范围是__________.四、解答题:本题共6小题,共70分。解答应写出文字说明、证明过程或演算步骤.17.已知函数值域为集合,函数的定义域为集合 ,全集.(1)若,求; (2)若,求的取值范围. 18.设:实数满足,:实数满足.(Ⅰ)当时,若为真,求实数的取值范围;(Ⅱ)当时,若是的必要条件,求实数的取值范围. 19.已知函数,且.(1)求的值;(2)求的值. 20.函数的图象如图所示.(1)求函数的解析式和单调增区间;(2)将函数的图象向左平移个单位长度,得到的图象,求函数在上的最值并求出相应的值. 21.已知函数(是自然对数的底).(1)若,判断的奇偶性,并说明理由;(2)若函数为奇函数,当时,恒成立,求实数的取值范围. 22.已知函数,.(1)若在区间上不单调,求的取值范围;(2)设,若函数在区间恒有意义,求实数的取值范围;(3)已知方程在有两个不相等的实数根,求实数的取值范围.
相关试卷
这是一份期末考试仿真模拟试卷五-【新教材】2021-2022学年人教A版(2019)高一数学上学期(原卷+解析),文件包含2021-2022学年高一数学上学期期末考试仿真模拟试卷五全国通用解析版doc、2021-2022学年高一数学上学期期末考试仿真模拟试卷五全国通用原卷版doc等2份试卷配套教学资源,其中试卷共18页, 欢迎下载使用。
这是一份期末考试仿真模拟试卷四-【新教材】2021-2022学年人教A版(2019)高一数学上学期(原卷+解析),文件包含2021-2022学年高一数学上学期期末考试仿真模拟试卷四全国通用解析版doc、2021-2022学年高一数学上学期期末考试仿真模拟试卷四全国通用原卷版doc等2份试卷配套教学资源,其中试卷共20页, 欢迎下载使用。
这是一份期末考试仿真模拟试卷三-【新教材】2021-2022学年人教A版(2019)高一数学上学期(原卷+解析),文件包含2021-2022学年高一数学上学期期末考试仿真模拟试卷三全国通用解析版doc、2021-2022学年高一数学上学期期末考试仿真模拟试卷三全国通用原卷版doc等2份试卷配套教学资源,其中试卷共21页, 欢迎下载使用。

