- 专题强化训练试卷四 简单几何体的结构特征、表面积与体积(基础练,含解析)-【新教材】2021-2022学年人教A版(2019)高中数学必修第二册 试卷 1 次下载
- 专题强化训练试卷四 简单几何体的结构特征、表面积与体积(提升练,含解析)-【新教材】2021-2022学年人教A版(2019)高中数学必修第二册 试卷 0 次下载
- 专题强化训练试卷五 空间点、线、面之间的位置关系(基础练,含解析)-【新教材】2021-2022学年人教A版(2019)高中数学必修第二册 试卷 1 次下载
- 专题强化训练试卷五 空间点、线、面之间的位置关系(提升练,含解析)-【新教材】2021-2022学年人教A版(2019)高中数学必修第二册 试卷 0 次下载
- 专题强化训练试卷一 平面向量数量积及其应用(提升练,含解析)-【新教材】2021-2022学年人教A版(2019)高中数学必修第二册 试卷 0 次下载
专题强化训练试卷一 平面向量数量积及其应用(基础练,含解析)-【新教材】2021-2022学年人教A版(2019)高中数学必修第二册
展开专题强化训练试卷一 平面向量数量积及其应用 (基础篇)
一、选择题:本题共8小题,每小题5分,共40分.在每小题给出的四个选项中,只有一项是符合题目要求的.
1.已知向量,,且,则( )
A.-4 B.1 C.4 D.7
2.已知单位向量满足, ,则与的夹角为( )
A. B.
C. D.
3.已知向量,满足,,则( )
A.4 B.3
C.2 D.0
4.在等腰直角三角形中,,则( )
A.0 B.
C. D.1
5.向量,满足,,,则在方向上的投影为( )
A.-1 B. C. D.1
6.如图,,则( )
A. B.1 C. D.
7.设,向量,,若,则等于( )
A. B. C. D.
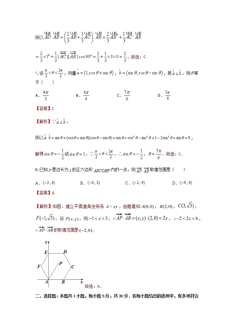
8.已知是边长为的正六边形内的一点,则取值范围是( )
A. B. C. D.
二、选择题:本题共4小题,每小题5分,共20分.在每小题给出的选项中,有多项符合题目要求.全部选对的得5分,部分选对的得2分,有选错的得0分.
9.已知向量,,则( )
A. B.
C. D.与的夹角为
10.对于任意的平面向量,,,下列说法错误的是
A.若且,则 B.
C.若,且,则 D..
11.已知,,则正确的有( )
A. B.的单位向量是
C. D.与平行
12.中,,,,在下列命题中,是真命题的有
A.若,则为锐角三角形
B.若.则为直角三角形
C.若,则为钝角三角形
D.若,则为等腰三角形
三、填空题:本题共4小题,每小题5分,共20分.
13.已知向量,,若,则_________.
14.若向量,满足,则与的夹角为_____
15.已知向量与的夹角为60°.且,若,且,则实数的值是___________.
16.如图,在四边形ABCD中,,,,且,则实数的值为__________,若M,N是线段BC上的动点,且,则的最小值为_______.
四、解答题:本题共6小题,共70分.解答应写出文字说明、证明过程或演算步骤.
17.已知.
(1)求与的夹角;
(2)求.
18.设 t 为实数,已知向量
(1)若 t = 3,求和的值;
(2)若向量与所成角为 135° ,求 t 值.
19.已知向量a=(2cosα,2sinα),b=(cosα-sinα,cosα+sinα).
(1) 求向量a与b的夹角;
(2) 若(λb-a)⊥a,求实数λ的值.
20.如图,在矩形中,点是边上的中点,
点在边上.
(1)若,点是边的靠近的三等分点,
求的值;
(2)若,,当时,求的长.
21. 在△ABC中,AB=6,AC=3,D为BC中点,,.
(1)若,求的值;
(2)若,求的值.
22.已知向量且
求(1)及;(2)若的最小值是,求的值。
人教A版 (2019)必修 第二册第六章 平面向量及其应用6.3 平面向量基本定理及坐标表示一课一练: 这是一份人教A版 (2019)必修 第二册第六章 平面向量及其应用6.3 平面向量基本定理及坐标表示一课一练,文件包含635平面向量数量积的坐标表示提升练-2020-2021学年下学期高一数学同步课堂人教A版2019必修第二册解析版docx、635平面向量数量积的坐标表示提升练-2020-2021学年下学期高一数学同步课堂人教A版2019必修第二册原卷版docx等2份试卷配套教学资源,其中试卷共13页, 欢迎下载使用。
高中数学人教A版 (2019)必修 第二册6.3 平面向量基本定理及坐标表示当堂检测题: 这是一份高中数学人教A版 (2019)必修 第二册6.3 平面向量基本定理及坐标表示当堂检测题,文件包含635平面向量数量积的坐标表示基础练-2020-2021学年下学期高一数学同步课堂人教A版2019必修第二册解析版docx、635平面向量数量积的坐标表示基础练-2020-2021学年下学期高一数学同步课堂人教A版2019必修第二册原卷版docx等2份试卷配套教学资源,其中试卷共10页, 欢迎下载使用。
高中数学人教A版 (2019)必修 第二册6.2 平面向量的运算练习: 这是一份高中数学人教A版 (2019)必修 第二册6.2 平面向量的运算练习,文件包含624向量的数量积基础练-2020-2021学年下学期高一数学同步课堂人教A版2019必修第二册解析版docx、624向量的数量积基础练-2020-2021学年下学期高一数学同步课堂人教A版2019必修第二册原卷版docx等2份试卷配套教学资源,其中试卷共12页, 欢迎下载使用。

