所属成套资源:2022年(人教A版2019)春季高一下 期末数学辅导专题训练+讲义
- 专题03 平面向量的应用(课时训练)-【教育机构专用】2022年春季高一数学辅导讲义(新教材人教A版2019) 试卷 0 次下载
- 专题03 平面向量的应用(重难点突破)-【教育机构专用】2022年春季高一数学辅导讲义(新教材人教A版2019) 其他 1 次下载
- 专题04 复数(重难点突破)-【教育机构专用】2022年春季高一数学辅导讲义(新教材人教A版2019) 其他 0 次下载
- 专题05 立体几何的直观图与简单几何体的表面积、体积(课时训练)-【教育机构专用】2022年春季高一数学辅导讲义(新教材人教A版2019) 试卷 1 次下载
- 专题05 立体几何的直观图与简单几何体的表面积、体积(重难点突破)-【教育机构专用】2022年春季高一数学辅导讲义(新教材人教A版2019) 其他 0 次下载
专题04 复数(课时训练)-【教育机构专用】2022年春季高一数学辅导讲义(新教材人教A版2019)
展开
这是一份专题04 复数(课时训练)-【教育机构专用】2022年春季高一数学辅导讲义(新教材人教A版2019),文件包含专题04复数课时训练解析版docx、专题04复数课时训练原卷版docx等2份试卷配套教学资源,其中试卷共8页, 欢迎下载使用。
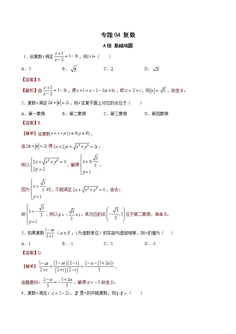
专题04 复数A组 基础巩固 1.设复数满足,则( )A. B. C. D.2.复数满足,则在复平面上对应的点位于( )A.第一象限 B.第二象限 C.第三象限 D.第四象限3.如果复数(,为虚数单位)的实部与虚部相等,则的值为( )A.1 B.-1 C.3 D.-34.复数满足,是的共轭复数,则( )A. B. C.3 D.55.若复数在复平面内对应的点关于轴对称,且,则复数在复平面内对应的点在( )A.第一象限 B.第二象限 C.实轴上 D.虚轴上6.若(是虚数单位),则复数的模为( )A. B. C. D.7.已知为虚数单位,若复数为纯虚数,则( )A. B. C. D.8.已知为虚数单位,则复数的虚部为( )A. B. C. D.9.(河北省保定市定州中学2021届高三期中)是的共轭复数,若为虚数单位) ,则=( )A. B. C. D.10.是虚数单位,复数满足,则( )A. B. C. D.B组 能力提升11.(江苏省泰州中学2021届高三第二次检测)下面四个命题中的真命题为( )A.若复数满足,则B.若复数满足,则C.若复数,满足,则D.若复数,则12.(辽宁省六校2021届高三期中联考)已知复数的实部为,则下列说法正确的是( )A.复数的虚部为 B.复数的共轭复数C. D.在复平面内对应的点位于第三象限13.(2020·宝山·上海交大附中高三月考)若复数z满足,则z的虚部是______.14.(2020·江西省奉新县第一中学高三月考)已知复数(i为虚数单位),复数z满足,则______.15.(2020·天津南开中学高三月考)复数,若复数,在复平面内对应的点关于虚轴对称,则的虚部为______;16.(2020·浙江高三其他模拟)已知复数,,若,则________;的取值范围是________.
相关试卷
这是一份专题12 概率(课时训练)-【教育机构专用】2022年春季高一数学辅导讲义(新教材人教A版2019),文件包含专题12概率课时训练解析版docx、专题12概率课时训练原卷版docx等2份试卷配套教学资源,其中试卷共24页, 欢迎下载使用。
这是一份专题10 统计案例(课时训练)-【教育机构专用】2022年春季高一数学辅导讲义(新教材人教A版2019),文件包含专题10统计案例课时训练解析版docx、专题10统计案例课时训练学生版docx等2份试卷配套教学资源,其中试卷共36页, 欢迎下载使用。
这是一份专题09 随机抽样与用样本估计总体(课时训练)-【教育机构专用】2022年春季高一数学辅导讲义(新教材人教A版2019),文件包含专题09随机抽样与用样本估计总体课时训练解析版docx、专题09随机抽样与用样本估计总体课时训练学生版docx等2份试卷配套教学资源,其中试卷共34页, 欢迎下载使用。

