





所属成套资源:2022年秋季(人教2019A版)高一上期末专题训练+精品讲义
- 专题13 函数y=Asin(ωx+φ)的图像与性质(课时训练)-【教育机构专用】2022年秋季高一上精品讲义(新教材人教A版) 试卷 3 次下载
- 专题13 函数y=Asin(ωx+φ)的图像与性质(重难点突破)-【教育机构专用】2022年秋季高一上精品讲义(新教材人教A版) 其他 4 次下载
- 专题14 三角恒等变换、三角函数的应用(重难点突破)-【教育机构专用】2022年秋季高一上精品讲义(新教材人教A版) 其他 4 次下载
- 期末测试卷(A卷 基础巩固)-【教育机构专用】2022年秋季高一上精品讲义(新教材人教A版) 试卷 3 次下载
- 期末测试卷(B卷 能力提升)-【教育机构专用】2022年秋季高一上精品讲义(新教材人教A版) 试卷 3 次下载
专题14 三角恒等变换、三角函数的应用(课时训练)-【教育机构专用】2022年秋季高一上精品讲义(新教材人教A版)
展开
这是一份专题14 三角恒等变换、三角函数的应用(课时训练)-【教育机构专用】2022年秋季高一上精品讲义(新教材人教A版),文件包含专题14三角恒等变换三角函数的应用课时训练解析版docx、专题14三角恒等变换三角函数的应用课时训练原卷版docx等2份试卷配套教学资源,其中试卷共19页, 欢迎下载使用。
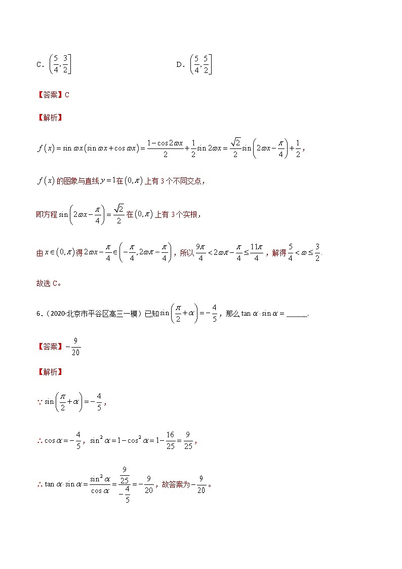
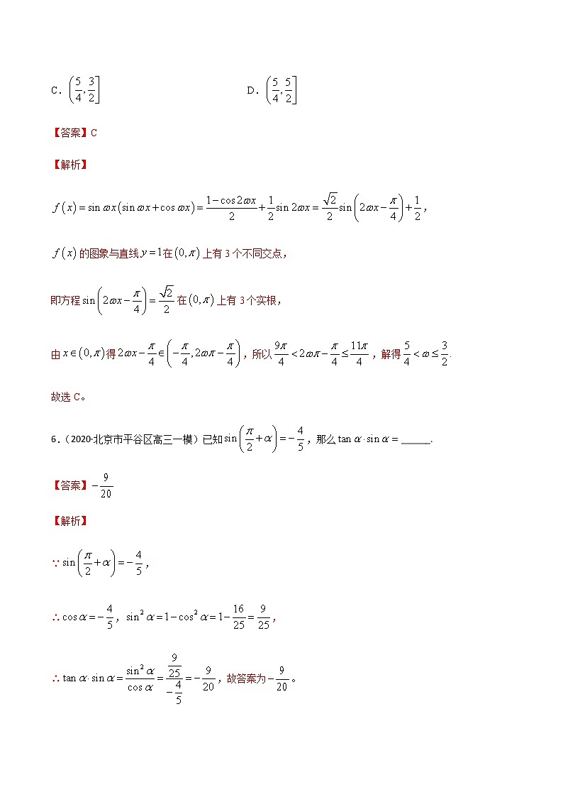
专题14 三角恒等变换、三角函数的应用【基础巩固】1.(2020届四川省成都市高三第二次诊断)已知锐角满足则( )A. B. C. D.2.(2020届山西省大同市第一中学高三一模)已知,,则等于( ).A. B. C. D.3.(2020·浙江高一课时练习)如图所示为一质点做简谐运动的图象,则下列判断中正确的是( )A.该质点的振动周期为 B.该质点的振幅为C.该质点在和时振动速度最大 D.该质点在和时的振动速度为04.(2020届百校联考高考考前冲刺)已知为坐标原点,角的终边经过点且,则( )A. B. C. D.5.(2020届甘肃省兰州市高三诊断)已知函数(),若函数的图象与直线在上有3个不同的交点,则的取值范围是( )A. B.C. D.6.(2020·北京市平谷区高三一模)已知,那么______.7.(2020届百校联考高考考前冲刺)若,则____.8.已知函数f(x)=sin(2x)+1.(1)用“五点法”作出f(x)在上的简图;(2)写出f(x)的对称中心以及单调递增区间;(3)求f(x)的最大值以及取得最大值时x的集合.
【能力提升】9.(多选题)如图是某市夏季某一天的温度变化曲线,若该曲线近似地满足函数,则下列说法正确的是( )A.该函数的周期是16B.该函数图象的一条对称轴是直线C.该函数的解析式是D.这一天的函数关系式也适用于第二天E.该市这一天中午12时天气的温度大约是27℃10.(2020届甘肃省兰州市高三诊断)若,则( )A. B. C. D.11.(2020·吉林省高三二模(理))设,,则的值为( )A. B.C. D.12.(2020届安徽省“江南十校”高三综合素质检测)已知.给出下列判断:①若,且,则;②存在使得的图象向右平移个单位长度后得到的图象关于轴对称;③若在上恰有7个零点,则的取值范围为;④若在上单调递增,则的取值范围为.其中,判断正确的个数为( )A.1 B.2 C.3 D.413.(2020·辉县市第二高级中学高一期中)已知某海滨浴场海浪的高度y(米)是时间t的(0≤t≤24,单位:小时)函数,记作y=f(t),下表是某日各时的浪高数据:t(h)03691215182124y(m)1.51.00.51.01.51.00.50.991.5经长期观测,y=f(t)的曲线可近似地看成是函数y=Acosωt+b的图象.(1)根据以上数据,求出函数y=Acosωt+b的最小正周期T、振幅A及函数表达式; (2)依据规定,当海浪高度高于1米时才对冲浪爱好者开放,请依据(1)的结论,判断一天内的上午8时到晚上20时之间,有多长时间可供冲浪者进行运动?
14.(2020·黄梅国际育才高级中学高一期中)已知0<α<<β<π,cos,sin(α+β)=.(1)求sin 2β的值;(2)求cos的值.
15.已知函数.(1)求的最小正周期;(2)当时,求的值域.
相关试卷
这是一份专题13 函数y=Asin(ωx+φ)的图像与性质(课时训练)-【教育机构专用】2022年秋季高一上精品讲义(新教材人教A版),文件包含专题13函数yAsinωx+φ的图像与性质课时训练解析版docx、专题13函数yAsinωx+φ的图像与性质课时训练原卷版docx等2份试卷配套教学资源,其中试卷共22页, 欢迎下载使用。
这是一份专题10 函数的应用(课时训练)-【教育机构专用】2022年秋季高一上精品讲义(新教材人教A版),文件包含专题10函数的应用课时训练解析版docx、专题10函数的应用课时训练原卷版docx等2份试卷配套教学资源,其中试卷共21页, 欢迎下载使用。
这是一份专题09 对数与对数函数(课时训练)-【教育机构专用】2022年秋季高一上精品讲义(新教材人教A版),文件包含专题09对数与对数函数课时训练解析版docx、专题09对数与对数函数课时训练原卷版docx等2份试卷配套教学资源,其中试卷共18页, 欢迎下载使用。