高考数学复习解答题规范练习题
展开
这是一份高考数学复习解答题规范练习题,共21页。
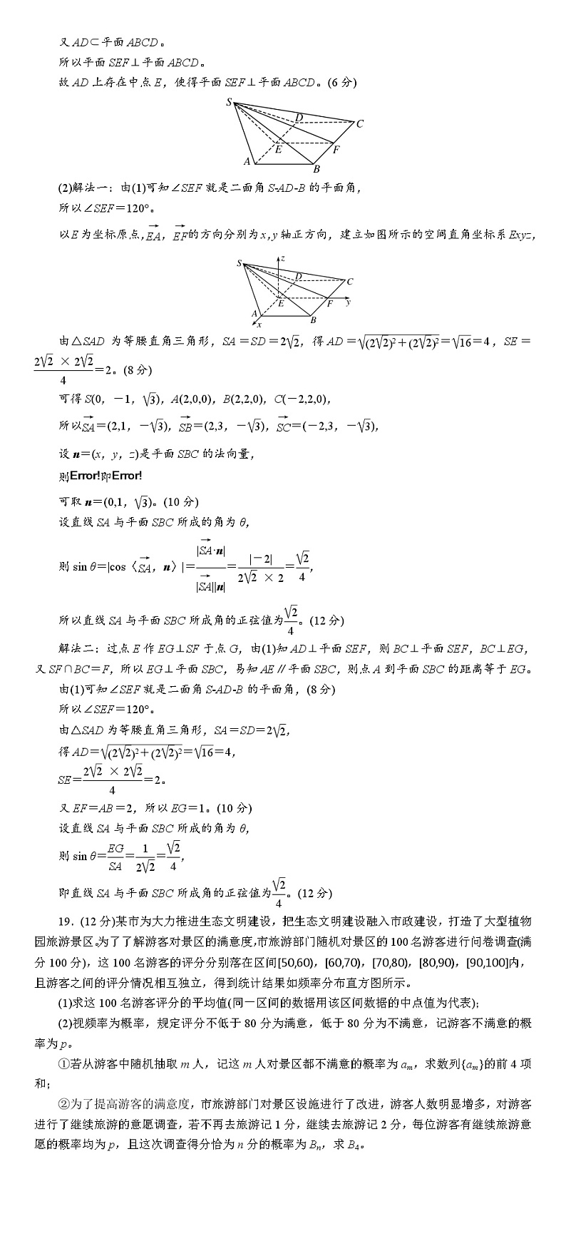
解答题规范练(一)70分解答题规范练解答题:共70分。第17~21题为必考题,每个试题考生都必须作答。第22、23题为选考题,考生根据要求作答。解答应写出文字说明、证明过程或演算步骤。(一)必考题:共60分。17.(12分)在①Sn=2an-2,②数列{an}是公比q>1的等比数列,a1=2,且a,S2+6,a3成等差数列,③{an}是公比q>1的等比数列,a1=2,且a2,S2,9成等比数列这三个条件中任选一个,补充在下面的问题中,并完成解答。已知数列{an}的前n项和为Sn,________。(1)求数列{an}的通项公式;(2)若bn=anlog2an+1,求数列{bn}的前n项和Tn。注:如果选择多个条件分别解答,按第一个解答计分。解 (1)选条件①。当n=1时,a1=2a1-2,即a1=2。 (2分)当n≥2时,Sn-1=2an-1-2,所以an=Sn-Sn-1=2an-2an-1,即an=2an-1(n≥2)。 (4分)又a1=2,所以an≠0,=2,所以数列{an}是以2为首项,2为公比的等比数列,则an=2n。 (6分)选条件②。由a,S2+6,a3成等差数列可得,2(S2+6)=a+a3,所以2(a1+a1q+6)=(a1q)2+a1q2, (3分)又a1=2,所以3q2-2q-8=0,解得q=2或q=-,又公比q>1,所以q=2, (5分)所以an=2n。 (6分)选条件③。由a2,S2,9成等比数列可得,S=9a2,即(2+a2)2=9a2,解得a2=1或a2=4, (2分)又公比q>1,所以a2=4,q==2, (4分)所以an=2n。 (6分)(2)由(1)可得bn=anlog2an+1=2nlog22n+1=(n+1)·2n, (8分)所以Tn=b1+b2+…+bn=2×21+3×22+…+n·2n-1+(n+1)·2n,2Tn=2×22+3×23+…+n·2n+(n+1)·2n+1, (10分)所以-Tn=2×21+22+23+…+2n-(n+1)·2n+1=2+-(n+1)·2n+1=2+2n+1-2-(n+1)·2n+1=-n·2n+1,所以Tn=n·2n+1。 (12分)18.(12分)如图,在四棱锥SABCD中,底面ABCD为矩形,△SAD为等腰直角三角形,SA=SD=2,AB=2,F是BC的中点,二面角SADB的大小等于120°。(1)在AD上是否存在点E,使得平面SEF⊥平面ABCD,若存在,求出点E的位置;若不存在,请说明理由。(2)求直线SA与平面SBC所成角的正弦值。解 (1)在线段AD上存在点E满足题意,且E为AD的中点。如图,取AD中点E,连接EF,SE,SF,因为四边形ABCD是矩形,所以AB⊥AD。又E,F分别是AD,BC的中点,所以EF∥AB,AD⊥EF。(2分)因为△SAD为等腰直角三角形,SA=SD,E为AD的中点,所以SE⊥AD。(3分)因为SE∩EF=E,SE⊂平面SEF,EF⊂平面SEF,所以AD⊥平面SEF。(4分)又AD⊂平面ABCD。所以平面SEF⊥平面ABCD。故AD上存在中点E,使得平面SEF⊥平面ABCD。(6分)(2)解法一:由(1)可知∠SEF就是二面角SADB的平面角,所以∠SEF=120°。以E为坐标原点,,的方向分别为x,y轴正方向,建立如图所示的空间直角坐标系Exyz,由△SAD为等腰直角三角形,SA=SD=2,得AD===4,SE==2。(8分)可得S(0,-1,),A(2,0,0),B(2,2,0),C(-2,2,0),所以=(2,1,-),=(2,3,-),=(-2,3,-),设n=(x,y,z)是平面SBC的法向量,则即可取n=(0,1,)。(10分)设直线SA与平面SBC所成的角为θ,则sin θ=|cos〈,n〉|===,所以直线SA与平面SBC所成角的正弦值为。(12分)解法二:过点E作EG⊥SF于点G,由(1)知AD⊥平面SEF,则BC⊥平面SEF,BC⊥EG,又SF∩BC=F,所以EG⊥平面SBC,易知AE∥平面SBC,则点A到平面SBC的距离等于EG。由(1)可知∠SEF就是二面角SADB的平面角,(8分)所以∠SEF=120°。由△SAD为等腰直角三角形,SA=SD=2,得AD===4,SE==2。又EF=AB=2,所以EG=1。(10分)设直线SA与平面SBC所成的角为θ,则sin θ===,即直线SA与平面SBC所成角的正弦值为。(12分)19.(12分)某市为大力推进生态文明建设,把生态文明建设融入市政建设,打造了大型植物园旅游景区。为了了解游客对景区的满意度,市旅游部门随机对景区的100名游客进行问卷调查(满分100分),这100名游客的评分分别落在区间[50,60),[60,70),[70,80),[80,90),[90,100]内,且游客之间的评分情况相互独立,得到统计结果如频率分布直方图所示。(1)求这100名游客评分的平均值(同一区间的数据用该区间数据的中点值为代表);(2)视频率为概率,规定评分不低于80分为满意,低于80分为不满意,记游客不满意的概率为p。①若从游客中随机抽取m人,记这m人对景区都不满意的概率为am,求数列{am}的前4项和;②为了提高游客的满意度,市旅游部门对景区设施进行了改进,游客人数明显增多,对游客进行了继续旅游的意愿调查,若不再去旅游记1分,继续去旅游记2分,每位游客有继续旅游意愿的概率均为p,且这次调查得分恰为n分的概率为Bn,求B4。解 (1)这100名游客评分的平均值为55×0.01+65×0.24+75×0.35+85×0.26+95×0.14=77.8。(4分)(2)①由题意得p=(0.001+0.024+0.035)×10=0.6=,所以am=m,所以数列{am}的前4项和为=。(8分)②由题意得B1=,B2=2+=,且Bn=Bn-1+Bn-2(n≥3,n∈N*),则B3=×+×=。所以B4=×+×=。(12分)20.(12分)已知函数f(x)=aln x+-x,其中a<2。(1)求f(x)的极值;(2)设m∈Z,当a=1时,若关于x的不等式f(x)<m-(x-2)·ex在区间(0,1]上恒成立,求m的最小值。解 (1)由题意得f(x)的定义域为(0,+∞),f′(x)=--1=-=-,(1分)当a-1≤0,即a≤1时,令f′(x)>0,得0<x<1,则f(x)在(0,1)内单调递增;令f′(x)<0,得x>1,则f(x)在(1,+∞)内单调递减。所以f(x)在x=1处取极大值,且极大值为f(1)=a-2,无极小值。(3分)当0<a-1<1,即1<a<2时,令f′(x)=0,得x=1或x=a-1,当x∈(0,a-1)∪(1+∞)时,f′(x)<0,则f(x)在(0,a-1),(1,+∞)内单调递减;当x∈(a-1,1)时,f′(x)>0,则f(x)在(a-1,1)内单调递增。所以f(x)在x=a-1处取得极小值,且极小值为f(a-1)=aln(a-1)-a+2,在x=1处取得极大值,且极大值为f(1)=a-2。(5分)综上所述,当a≤1时,f(x)的极大值为a-2,无极小值;当1<a<2时,f(x)的极大值为a-2,极小值为aln(a-1)-a+2。(6分)(2)由f(x)<m-(x-2)·ex,得m>ln x-x+(x-2)·ex,设h(x)=ln x-x+(x-2)·ex,x∈(0,1],则h′(x)=(x-1),(7分)当0<x≤1时,x-1≤0。设u(x)=ex-,0<x≤1,易知u(x)在(0,1]内单调递增。又u=-2<0,u(1)=e-1>0,所以存在x0∈,使u(x0)=0,即ex0=,ln x0=-x0。当x∈(0,x0)时,u(x)<0,h′(x)>0,当x∈(x0,1]时,u(x)>0,h′(x)≤0,所以函数h(x)在(0,x0)内单调递增,在(x0,1]内单调递减,(9分)所以h(x)max=h(x0)=(x0-2)·ex0+ln x0-x0=(x0-2)·-2x0=1-。因为函数y=1-在内单调递增,所以h(x)max∈(-4,-3),又m>h(x)对任意的x∈(0,1]恒成立,所以m≥-3,又m∈Z,所以m的最小值是-3。(12分)21.(12分)已知椭圆C:+=1(a>b>0)和点Q(0,2),F1,F2分别是椭圆的左、右焦点,且|F1F2|=2,线段QF2与椭圆相交于点P,且PF1⊥PF2。(1)求椭圆C的标准方程;(2)若直线l:y=2x+m与△PQF1的内切圆M相切,与椭圆C交于A,B两点,求|AB|的值。解 (1)解法一:由题设得F1(-,0),F2(,0),直线QF2的方程为y=-2(x-),设P(x0,y0),则y0=-2(x0-) ①,由PF1⊥PF2得x+y=5 ②,联立①②可得,P,则|PF1|=4,|PF2|=2,由|PF1|+|PF2|=6=2a得a=3,a2=9,从而b2=4。故椭圆C的标准方程为+=1。(4分)解法二:设O为坐标原点,由题意知,∠QOF2=90°,F2(,0),则|QF2|=5。因为PF1⊥PF2,所以∠F1PF2=90°。又∠QF2O=∠F1F2P,所以△QOF2∽△F1PF2,==,即==,解得|F1P|=4,|PF2|=2,由|PF1|+|PF2|=6=2a得a=3,a2=9,从而b2=4。故椭圆C的标准方程为+=1。(4分)(2)如图,设圆M的半径为r,且圆M与△F1QP的三条边QF1,PF1,PQ分别相切于点G,H,N,连接MN,MH,根据圆的切线长和等腰三角形的性质可得|F1G|=|F1H|=|F2N|,又|PH|=|PN|,MH⊥PH,MN⊥PN,所以四边形MHPN为正方形,得|PH|=|PN|=r,由椭圆的定义可得|PF1|+|PF2|=|F1H|+r+|F2N|-r=2|F1H|=2a=6,|F1H|=3。所以r=|PF1|-|F1H|=4-3=1,|QN|=|QF2|-|F1H|=5-3=2,所以|QM|=,故M(0,),故内切圆M的方程为x2+(y-)2=1。(8分)而y=2x+m与x2+(y-)2=1相切,故=1,解得m=0或m=2。设A(x1,y1),B(x2,y2),由得40x2+36mx+9m2-36=0,所以x1+x2=-,x1x2=,所以|x1-x2|==×,|AB|=|x1-x2|=×,故|AB|=3或|AB|=3。(12分)(二)选考题:共10分。请考生在第22、23题中任选一题作答。如果多做,则按所做的第一题计分。22.[选修4-4:坐标系与参数方程](10分)在直角坐标系xOy中,曲线C的参数方程为(t为参数)。以坐标原点为极点,x轴正半轴为极轴建立极坐标系,直线l的极坐标方程为ρ(sin θ-3cos θ)=6。(1)将曲线C的参数方程化为普通方程,指出曲线C表示的类型,并把直线l的极坐标方程化为直角坐标方程;(2)若点P在曲线C上,求点P到直线l距离的最小值。解 (1)将曲线C的参数方程(t为参数)消去参数t,可得曲线C的普通方程为y2=4x。所以曲线C表示以原点为顶点,F(1,0)为焦点的抛物线。利用y=ρsin θ,x=ρcos θ将直线l的极坐标方程ρ(sin θ-3cos θ)=6变形整理,得l的直角坐标方程为y=3x+6。(5分)(2)直线l的方程为y=3x+6,设P,则点P到直线l的距离d==,当m=时d取得最小值,且dmin=,此时点P。(10分)23.[选修4-5:不等式选讲](10分)已知a>0,b>0,c>0。(1)求证:(a+b)(1+abc2)≥4abc;(2)若++=3,求证:++≥6。证明 (1)要证(a+b)(1+abc2)≥4abc,即证a+a2bc2+b+ab2c2-4abc≥0,即证a(b2c2-2bc+1)+b(a2c2-2ac+1)≥0,即证a(bc-1)2+b(ac-1)2≥0,此式显然成立,当且仅当bc=ac=1,即a=b=时,等号成立,所以(a+b)(1+abc2)≥4abc。(5分)(2)要证++≥6,即证+1++1++1≥6,即证++≥。因为++=3,所以+1++1++1=6,即++=6,所以++=≥×3××3×=,当且仅当==,即a=b=c时,等号成立,所以++≥6。(10分)(二)70分解答题规范练解答题:共70分。第17~21题为必考题,每个试题考生都必须作答。第22、23题为选考题,考生根据要求作答。解答应写出文字说明、证明过程或演算步骤。(一)必考题:共60分。17.(12分)在①=,②=,③2acsin B=(a+c)2-b2这三个条件中任选一个,补充在下面问题中,并求解。在△ABC中,角A,B,C的对边分别为a,b,c,________,H为AB边上靠近点A的三等分点,CH⊥BC,△BCH的面积S=2,求b。注:如果选择多个条件分别解答,按第一个解答计分。解 选条件①。由三角形内角和定理可得A+B=π-C,所以sin(A+B)=sin(π-C)=sin C,所以=,(2分)结合正弦定理可得=,即(a+b)(a-b)+c(c-a)=0,化简得a2+c2-b2=ac,故cos B===。因为0<B<π,所以B=。(5分)因为CH⊥BC,所以BH==2BC=2a,CH=a,所以△BCH的面积S=BC×HC=a×a=2,解得a=2,所以BH=2a=4。(8分)因为H为AB边上靠近点A的三等分点,所以c=BA=BH=×4=6,所以由余弦定理可得b2=a2+c2-2accos B=22+62-2×2×6×cos=28,所以b=2。(12分)选条件②。由=及正弦定理可得=,化简得2sin A=,即2sin Asin C-2cos Acos C=1,所以2cos(A+C)=-1。(3分)由三角形内角和定理可得A+C=π-B,所以cos B=。因为0<B<π,所以B=。(5分)因为CH⊥BC,所以BH==2BC=2a,CH=a,所以△BCH的面积S=BC×HC=a×a=2,解得a=2,所以BH=2a=4。(8分)因为H为AB边上靠近点A的三等分点,所以c=BA=BH=×4=6,所以由余弦定理可得b2=a2+c2-2accos B=22+62-2×2×6×cos=28,所以b=2。(12分)选条件③。由已知可得2acsin B=a2+c2-b2+2ac,即sin B=+1,结合余弦定理可得sin B=cos B+1,即sin B-cos B=1,所以2sin=1,所以sin=,(3分)因为0<B<π,所以-<B-<,所以B-=,所以B=。(5分)因为CH⊥BC,所以BH==2BC=2a,CH=a,所以△BCH的面积S=BC×HC=a×a=2,解得a=2,所以BH=2a=4。(8分)因为H为AB边上靠近点A的三等分点,所以c=BA=BH=×4=6,所以由余弦定理可得b2=a2+c2-2accos B=22+62-2×2×6×cos=28,所以b=2。(12分)18.(12分)为进一步加强毒品预防教育工作,增强广大学生防毒、拒毒的自我保护意识,加强禁毒宣传力度,维护青少年身心健康,某校组织学生开展了以“珍爱生命,远离毒品”为主题的禁毒知识宣传活动,并组织全校学生参加“禁毒知识竞赛”。现从参加竞赛的学生中随机抽取若干名,统计其成绩(单位:分),并按[50,60),[60,70),[70,80),[80,90),[90,100]分组,得到如下频率分布直方图。已知成绩在[60,70)的有9人。(1)估计本次竞赛成绩的中位数(结果保留两位小数)。(2)将成绩在[80,100]的定义为“优秀”,在[50,80)的定义为“非优秀”。根据所给数据,完成下面的2×2列联表,并根据列联表判断是否有95%的把握认为竞赛成绩是否优秀与是否为新生有关?说明你的理由。 新生非新生合计优秀 非优秀15 合计25 (3)以频率估计概率,从该校学生中任意抽取4人进行继续教育,设这4人中竞赛成绩在[50,70)的人数为X,求X的分布列和数学期望。附:K2=, P(K2≥k0)0.050.010.001k03.8416.63510.828解 (1)由题可知成绩在[80,90)的频率为1-10×(0.005+0.015+0.025+0.020)=0.35,(2分)所以成绩在[50,60),[60,70),[70,80),[80,90),[90,100]的频率分别为0.05,0.15,0.25,0.35,0.2,所以中位数在[80,90)中,设中位数为x,则(x-80)×0.035=0.05,解得x=≈81.43。所以本次竞赛成绩的中位数约为81.43分。(4分)(2)设样本容量为n,则=0.015×10,解得n=60,所以样本容量为60。(5分)完成的2×2列联表如下: 新生非新生合计优秀102333非优秀151227合计253560 所以K2==≈3.896>3.841,故有95%的把握认为竞赛成绩是否优秀与是否为新生有关。(8分)(3)由题可知,从该校学生中任意抽取1人,该学生成绩在[50,70)的概率p=0.05+0.15=0.2=,X的所有可能取值为0,1,2,3,4,且X~B,(9分)所以P(X=0)=C×0×4=;P(X=1)=C×1×3=;P(X=2)=C×2×2=;P(X=3)=C×3×1=;P(X=4)=C×4×0=。所以X的分布列为 X01234PE(X)=4×=。(12分)19.(12分)如图,已知四边形ABCE是等腰梯形,AE=AB=BC=CD=DE。将△EAD沿AD折叠,使E到达S处,得到四棱锥SABCD。若M,N分别为SA,BC的中点。(1)试问:线段BD上是否存在一点O,使平面MNO∥平面SCD?若存在,请确定点O的位置;若不存在,请说明理由。(2)若平面SAD⊥平面ABCD,求直线SA与平面SBC所成角的正弦值。解 (1)线段BD上存在点O,使得平面MNO∥平面SCD,且O为BD的中点。下面证明当O为BD的中点时,平面MNO∥平面SCD。根据题意,四边形ABCE是等腰梯形,AE=AB=BC=CD=DE,可得四边形ABCD为菱形,取BD的中点O,连接AC,则AC∩BD=O,O为AC的中点。连接OM,ON,又M,N分别为SA,BC的中点,所以OM∥SC,ON∥CD。又OM⊄平面SCD,SC⊂平面SCD,所以OM∥平面SCD。(4分)同理可得ON∥平面SCD,又OM∩ON=O,OM⊂平面MNO,ON⊂平面MNO,所以平面MNO∥平面SCD。(6分)(2)取AD的中点H,连接SH,BH,则SH⊥AD,BH⊥AD,因为平面SAD⊥平面ABCD,平面SAD∩平面ABCD=AD,SH⊂平面SAD,所以SH⊥平面ABCD,所以SH⊥BH。(8分)以H为坐标原点,HA,HB,HS所在直线分别为x,y,z轴,建立如图所示的空间直角坐标系Hxyz。设AB=2,则A(1,0,0),D(-1,0,0),B(0,,0),S(0,0,)。所以=(0,,-),==(-2,0,0),=(1,0,-),设平面SBC的法向量为m=(x,y,z),则则x=0,令y=1,得z=1,所以m=(0,1,1)为平面SBC的一个法向量。(10分)设直线SA与平面SBC所成的角为θ,则sin θ=|cos〈m,〉|===。所以直线SA与平面SBC所成角的正弦值为。(12分)20.(12分)已知函数f(x)=。(1)求f(x)的极值;(2)若函数g(x)=f(x)-+2e只有一个零点,求a的值。解 (1)由题意知f(x)的定义域为(0,+∞)。f′(x)==。(2分)由f′(x)>0得1-2ln x>0,解得0<x<,由f′(x)<0得1-2ln x<0,解得x>,所以f(x)在(0,)上单调递增,在(,+∞)上单调递减。所以f(x)的极大值为f()=,无极小值。(4分)(2)g(x)=f(x)-+2e只有一个零点,即-+2e=0只有一个根。可化为=x2-2ex+e-1a只有一个根。令h(x)=,m(x)=x2-2ex+e-1a,则h′(x)=。由h′(x)=0,得x=e,由h′(x)>0,得0<x<e,由h′(x)<0,得x>e,所以h(x)的单调递增区间为(0,e),单调递减区间(e,+∞)。所以当x=e时,h(x)取得最大值h(e)=。(9分)函数m(x)=x2-2ex+e-1a=(x-e)2+e-1a-e2,当x=e时,m(x)取得最小值m(e)=e-1a-e2,(10分)若函数g(x)=f(x)-+2e只有一个零点,则e-1a-e2=,所以a=e3+1。所以当函数g(x)=f(x)-+2e只有一个零点时,a=e3+1。(12分)21.(12分)如图,椭圆C:+=1(a>b>0)的左、右焦点分别为E,F,点D在C上,∠DEF=90°,|EF|=2,|+|=。(1)求C的标准方程;(2)若P为OF的中点,四边形GHST为C的内接长方形,HS⊥x轴,直线HP交C于点Q,且直线QS交x轴于点U,求|OU|的值。解 (1)由题意可得c=1,所以E(-1,0),F(1,0),设D(xD,yD)(yD>0),则xD=-1,得yD=,由|+|=,得||=,又||=2,∠DEF=90°,则|DE|==,由得a=2,b=,所以C的标准方程为+=1。(4分)(2)由题意知直线HP的斜率一定存在且不为0,设为k(k≠0),易知P,直线HP的方程为y=k。联立,得消去y得(3+4k2)x2-4k2x+k2-12=0,(6分)设H(x1,y1),Q(x2,y2),U(n,0),则S(x1,-y1),所以x1+x2=,x1·x2=。因为Q,S,U三点共线,所以kSU=kQU,即=,(8分)所以y2(x1-n)+y1(x2-n)=0,即k(x1-n)+k(x2-n)=0,化简得2x2x1-(x1+x2)+n=0,得-·+n=0,化简得=0,所以n=8,所以|OU|=8。(12分)(二)选考题:共10分。请考生在第22、23题中任选一题作答。如果多做,则按所做的第一题计分。22.[选修4-4:坐标系与参数方程](10分)在直角坐标系xOy中,曲线C的参数方程为(θ为参数)。以坐标原点为极点,x轴正半轴为极轴建立极坐标系,直线l的极坐标方程为ρcos=。(1)求曲线C的普通方程和l的直角坐标方程;(2)已知点P(2,1),直线l与曲线C交于A,B两点,求。解 (1)由得两式平方并相加得(x-1)2+(y+)2=4,所以曲线C的普通方程为(x-1)2+(y+)2=4。(2分)由ρcos=,得ρ =,化简得ρcos θ-ρsin θ-1=0,将代入上式,得x-y-1=0。所以l的直角坐标方程为x-y-1=0。(5分)(2)因为P(2,1)在x-y-1=0上,所以(t为参数)是l的参数方程,设A,B对应的参数分别为t1,t2,将l的参数方程代入(x-1)2+(y+)2=4,化简得t2+(2+)t+2+1=0,所以t1+t2=-(2+),t1·t2=2+1,(8分)|AB|=|t1-t2|===,|PA|·|PB|=t1t2=2+1。所以==。(10分)23.[选修4-5:不等式选讲](10分)已知函数f(x)=|x+1|。(1)求不等式xf(x)-|x-2|≤0的解集;(2)若关于x的不等式f(x)+|x-a2|≥2恒成立,求实数a的取值范围。解 (1)xf(x)-|x-2|≤0可化为x|x+1|-|x-2|≤0,等价于或或解得x≤-1或-1<x≤-1+。所以原不等式的解集为(-∞,-1+]。(5分)(2)f(x)+|x-a2|≥2,即|x+1|+|x-a2|≥2。因为|x+1|+|x-a2|≥|(x+1)-(x-a2)|=|a2+1|,所以|a2+1|≥2,即a2+1≥2,解得a≥1或a≤-1。所以实数a的取值范围为(-∞,-1]∪[1,+∞)。(10分) (三)70分解答题规范练解答题:共70分。第17~21题为必考题,每个试题考生都必须作答。第22、23题为选考题,考生根据要求作答。解答应写出文字说明、证明过程或演算步骤。(一)必考题:共60分。17.(12分)如图,在平面四边形ABCD中,∠A=,∠ABC+∠ADC=π,CD=2,BD=BC。(1)求BD的长;(2)求AB+2AD的最大值。解 (1)因为在平面四边形ABCD中,∠A=,∠ABC+∠ADC=π,所以∠C=。设BC=2x(x>0),则BD=x,由余弦定理可知BD2=BC2+CD2-2BC·CDcos∠C,即7x2=4x2+4+4x,得x=2,所以BD=2。(5分)(2)解法一:设∠ABD=θ,则∠ADB=-θ,由正弦定理得===,所以AB=sin,AD=sin θ,(8分)因此AB+2AD===sin(θ+φ),其中tan φ=。所以当sin(θ+φ)=1时,AB+2AD取得最大值,且最大值为。(12分)解法二:在△ABD中,设AB=m,AD=n,m>0,n>0,由余弦定理可知BD2=AB2+AD2-2AB·ADcos∠A,即m2+n2-mn=28,则(m+2n)2=28+n(5m+3n)。(8分)由基本不等式可知7n(5m+3n)≤2=(m+2n)2。所以(m+2n)2≤28+(m+2n)2,(10分)则(m+2n)2≤28,即(m+2n)2≤,所以m+2n≤,当且仅当m=n时取等号。所以AB+2AD的最大值为。(12分)18.(12分)如图,四棱锥PABCD的底面ABCD内接于半径为2的圆O,AB为圆O的直径,AB∥CD,2DC=AB,E为AB上一点,且PE⊥平面ABCD,ED=。(1)求证:PA⊥DE;(2)若直线PB与平面ABCD所成的角为,求二面角CPBD的余弦值。解 (1)证明:连接CO,因为AB∥CD,2DC=AB,所以AO∥CD,且AO=CD,所以四边形ADCO是平行四边形。连接DO,因为圆O的半径为2,所以AO=OC=DC=AD=DO=2,所以△AOD为等边三角形,所以在△AOD中,AO边上的高为ADsin=2×=。因为ED=,所以DE为AO边上的高,所以DE⊥AO。(2分)因为PE⊥平面ABCD,DE⊂平面ABCD,所以PE⊥DE,又DE⊥AE,AE,PE⊂平面PAE,且AE∩PE=E,所以DE⊥平面PAE。因为PA⊂平面PAE,所以PA⊥DE。(4分)(2)由PE⊥平面ABCD可知,∠PBE为直线PB与平面ABCD所成的角,所以∠PBE=,所以PE=EB=3。(6分)又由(1)知,ED,EB,EP两两垂直,如图,以E为坐标原点,以ED,EB,EP所在直线分别为x,y,z轴建立空间直角坐标系Exyz。则B(0,3,0),C(,2,0),D(,0,0),P(0,0,3),所以=(,-3,0),=(0,3,-3),=(,-1,0)。设平面PBD的法向量为n1=(x1,y1,z1),则即得令y1=1,则n1=(,1,1)。(8分)设平面PBC的法向量为n2=(x2,y2,z2),则即令x2=1,则y2=,z2=,所以n2=(1,,)。(10分)所以cos〈n1,n2〉===。易知二面角CPBD为锐二面角,所以二面角CPBD的余弦值为。(12分)19.(12分)为了加强食品安全监管,某县市场监管局计划添购一批食品检测仪器,符合这次采购要求的检测仪器只有甲、乙两种型号,下表是该县市场监管局以往使用甲、乙两种型号检测仪器的使用年限及数量统计表。使用年限1年2年3年4年甲型号检测仪器数量/台2873乙型号检测仪器数量/台3962以频率估计概率。(1)分别从以往使用的甲、乙两种型号检测仪器中各随机抽取一台,求甲型号检测仪器的使用年限比乙型号检测仪器的使用年限恰好多1年的概率;(2)若该县市场监管局购买甲、乙两种型号检测仪器各2台,记2年后仍可使用的检测仪器的台数为ξ,求ξ的分布列与数学期望。解 (1)记事件Ai为“从以往使用的甲型号检测仪器中随机抽取一台,使用年限为i年”,事件Bi为“从以往使用的乙型号检测仪器中随机抽取一台,使用年限为i年”,i=1,2,3,4;事件C为“从以往使用的甲、乙两种型号检测仪器中各随机抽取一台,甲型号检测仪器的使用年限比乙型号检测仪器的使用年限恰好多1年”,则P(C)=P(A2B1)+P(A3B2)+P(A4B3)=×+×+×=。(4分)(2)由题意知甲型号检测仪器2年后仍可使用的概率为,乙型号检测仪器2年后仍可使用的概率为。设2年后仍可使用的甲型号检测仪器有X台,乙型号检测仪器有Y台,易知X~B,Y~B。(6分)由题意知ξ的所有可能取值为0,1,2,3,4,且P(ξ=0)=P(X=0,Y=0)=C02·C02=,P(ξ=1)=P(X=1,Y=0)+P(X=0,Y=1)=C11·C02+C02·C11=,P(ξ=3)=P(X=2,Y=1)+P(X=1,Y=2)=C20·C11+C11·C20=,P(ξ=4)=P(X=2,Y=2)=C20·C20=,P(ξ=2)=1-P(ξ=0)-P(ξ=1)-P(ξ=3)-P(ξ=4)=,(10分)所以ξ的分布列为ξ01234P所以E(ξ)=0×+1×+2×+3×+4×=。(12分)20.(12分)已知F1是椭圆C:+=1(a>)的左焦点,过点P(0,-2)作两条互相垂直的直线l1和l2,直线l1与C交于点A,B,当直线l1经过点F1时,直线l2与C有且只有一个公共点。(1)求C的标准方程;(2)若直线l2与C有两个交点,求|AB|的取值范围。解 (1)设F1(-c,0),其中c= ①。当直线l1经过点F1时,直线l1的斜率kPF1=,所以直线l2的斜率为,方程为y=x-2,l2与椭圆C的方程联立,消去y,得3x2+a22=3a2,整理得(a2c2+12)x2-8a2cx+4a2=0。(3分)因为直线l2与椭圆C有且只有一个公共点,所以Δ=64a4c2-16a2(a2c2+12)=0,即ac=2 ②。由①②得a2=4,所以C的标准方程为+=1。(5分)(2)由题易得直线l1的斜率存在且不为零,设其方程为y=kx-2(k≠0),与椭圆C的方程联立,消去y,得(3+4k2)x2-16kx+4=0,则Δ=256k2-16(3+4k2)>0,得k2>。同理,当直线l2与椭圆C有两个交点时,k2<4,所以<k2<4。(7分)设A(x1,y1),B(x2,y2),则x1+x2=,x1x2=,所以|AB|=·|x1-x2|=·=2·。(9分)设t=3+4k2,则t∈(4,19),===-42+,因为f(t)=-42+在(4,19)上单调递增。所以f(t)∈,所以|AB|的取值范围是。(12分)21.(12分)已知函数f(x)=ex-ax2-x。(1)当a=1时,求曲线y=f(x)在点(1,f(1))处的切线方程;(2)若函数F(x)=f(x)+x有两个极值点x1,x2,求证:x1x2<(ln(2a))2解 (1)当a=1时,f(x)=ex-x2-x,则f′(x)=ex-2x-1,所以f′(1)=e-3,又f(1)=e-2,所以切线方程为y=(e-3)(x-1)+e-2,即y=(e-3)x+1。(2分)(2)证明:由题意得F(x)=ex-ax2,则F′(x)=ex-2ax。因为函数F(x)有两个极值点x1,x2,所以F′(x)=0有两个不相等的实数根x1,x2。令h(x)=ex-2ax,则h′(x)=ex-2a。①当a≤0时,h′(x)>0恒成立,则函数h(x)为R上的增函数,(5分)故h(x)在R上至多有一个零点,不符合题意。②当a>0时,令h′(x)=0,得x=ln(2a),当x∈(-∞,ln(2a))时,h′(x)<0,故函数h(x)在(-∞,ln(2a))上单调递减,当x∈(ln(2a),+∞)时,h′(x)>0,故函数h(x)在(ln(2a),+∞)上单调递增。因为函数h(x)=0有两个不相等的实数根x1,x2,所以h(x)min=h(ln(2a))=2a-2aln(2a)<0,得a>。(7分)不妨设x1<x2,则x1<ln(2a),x2>ln(2a)>1。又h(0)=1>0,所以x1∈(0,ln(2a))。令G(x)=h(x)-h(2ln(2a)-x)=ex-4ax-+4aln(2a),则G′(x)=ex+-4a≥2-4a=0,所以函数G(x)在R上单调递增。(9分)由x2>ln(2a)可得G(x2)>G(ln(2a))=0,即h(x2)>h(2ln(2a)-x2)。又x1,x2是函数h(x)的两个零点,即h(x1)=h(x2),所以h(x1)>h(2ln(2a)-x2)。因为x2>ln(2a),所以2ln(2a)-x2<ln(2a),又x1<ln(2a),函数h(x)在(-∞,ln(2a))上单调递减,所以x1<2ln(2a)-x2,即x1+x2<2ln(2a)。又x1+x2>2,所以2<2ln(2a),因此x1x2<(ln(2a))2。(12分)(二)选考题:共10分。请考生在第22、23题中任选一题作答。如果多做,则按所做的第一题计分。22.[选修4-4:坐标系与参数方程](10分)在直角坐标系xOy中,直线l的参数方程为(t为参数)。以坐标原点为极点,x轴的正半轴为极轴建立极坐标系,曲线C的极坐标方程为ρ2=。(1)求直线l的普通方程和曲线C的参数方程;(2)点P是曲线C上的动点,过点P作直线l′与l相交于点A,若l′与l的夹角为,求|AP|的最大值及此时点P的直角坐标。解 (1)将直线l的参数方程中的参数消去,得y=x-,所以直线l的普通方程为x-y-=0。(2分)因为ρ2=,所以8ρ2cos2θ+ρ2=36,又ρcos θ=x,x2+y2=ρ2,所以8x2+x2+y2=36,所以曲线C的直角坐标方程为+=1,所以曲线C的参数方程是(α为参数)。(5分)(2)由题意及(1)设P(2cos α,6sin α),0≤α<2π,点P到直线l的距离为d,则|AP|=2d=2×=|6sin α-2cos α+|=|4sin+|≤5。(7分)当|AP|=5时,sin=1,得α=,此时xP=2cos α=-1,yP=6sin α=3。所以|AP|的最大值是5,当|AP|最大时点P的直角坐标是(-1,3)。(10分)23.[选修4-5:不等式选讲](10分)已知函数f(x)=7-2|x|-|x-2|。(1)解不等式f(x)>0。(2)是否存在a>-1,使得关于x的方程a2+(4-f(x))·a-f(x)+7=0有解?请说明理由。解 (1)由题意知f(x)=7-2|x|-|x-2|=(2分)作出y=f(x)的大致图象如图所示,由3x+5=0得x=-;由9-3x=0得x=3。所以f(x)>0的解集是。(5分)(2)由a2+(4-f(x))·a-f(x)+7=0得=f(x)(a>-1)。由(1)知f(x)≤f(0)=5,又=(a+1)++2≥2+2=6,当且仅当a=1时等号成立,所以不存在a>-1,使得关于x的方程a2+(4-f(x))·a-f(x)+7=0有解。(10分) (四)70分解答题规范练解答题:共70分。第17~21题为必考题,每个试题考生都必须作答。第22、23题为选考题,考生根据要求作答。解答应写出文字说明、证明过程或演算步骤。(一)必考题:共60分。17.(12分)已知正项等比数列{an}满足a2·a5=a7,a8=256,正项数列{bn}的前n项和为Sn,且2Sn=b+bn-2。(1)求数列{an},{bn}的通项公式;(2)若cn=,求数列{cn}的前n项和Mn。解 (1)设等比数列{an}的公比为q(q>0),因为a2·a5=a7,a8=256,所以a1q·a1q4=a1q6,a1q7=256,所以a1=q=2,所以an=2n。(2分)因为2Sn=b+bn-2 ①,所以当n=1时,2S1=2b1=b+b1-2,解得b1=2或b1=-1(舍去);当n≥2时,2Sn-1=b+bn-1-2 ②,①-②得2bn=b-b+bn-bn-1,即(bn+bn-1)·(bn-bn-1-1)=0,因为bn+bn-1>0,所以bn-bn-1-1=0,即bn-bn-1=1。所以数列{bn}是以2为首项,1为公差的等差数列,所以bn=2+(n-1)×1=n+1。(5分)(2)由(1)可得Sn==,所以cn==n·2n+1,(7分)所以Mn=1×22+2×23+3×24+…+(n-1)×2n+n×2n+1,2Mn=1×23+2×24+3×25+…+(n-1)×2n+1+n×2n+2,(9分)故-Mn=22+23+24+25+…+2n+1-n×2n+2=-n×2n+2=-[4+(n-1)×2n+2],所以Mn=4+(n-1)×2n+2。(12分)18.(12分)如图,在等腰三角形ABC中,AB=AC=,BC=2,E,F分别在边AB,AC上,且EF∥BC。将△AEF沿EF折起,使点A到点A′的位置,得到四棱锥A′BCFE,且平面A′EF⊥平面BCFE。(1)若直线A′B与平面BCFE所成的角为,求的值。(2)若E,F分别为AB,AC的中点,求二面角A′BEC的余弦值。解 (1)如图,取BC的中点H,连接AH交EF于点O,则O为EF的中点,连接A′O,BO。由题意知AH⊥BC,又EF∥BC,所以AO⊥EF,即A′O⊥EF。又平面A′EF⊥平面BCFE,平面A′EF∩平面BCFE=EF,A′O⊂平面A′EF,所以A′O⊥平面BCFE,故∠A′BO即直线A′B与平面BCFE所成的角,所以∠A′BO=,(4分)则在Rt△A′BO中,A′O=BO。因为AB=AC=,BC=2,所以AH=2。设A′O=t,则HO=2-t,所以BO==t,解得t=。所以===。(6分)(2)解法一:如图,过点O作OG⊥AB于点G,连接A′G。由(1)知A′O⊥平面BCFE,因为AB⊂平面BCFE,所以A′O⊥AB。又OG⊥AB,OG,A′O⊂平面A′OG,OG∩A′O=O,所以AB⊥平面A′OG,又A′G⊂平面A′OG,所以AB⊥A′G,所以∠A′GO为二面角A′BEC的平面角。(9分)易知在Rt△A′GO中,A′O=1,OG===,于是A′G===,所以cos∠A′GO==,所以二面角A′BEC的余弦值为。(12分)解法二:由(1)知A′O⊥平面BCFE,因为OH,OF⊂平面BCFE,所以A′O⊥OH,A′O⊥OF,又OH⊥OF,所以可以O为坐标原点,OH,OF,OA′所在直线分别为x,y,z轴建立如图所示的空间直角坐标系,则O(0,0,0),A′(0,0,1),E,B(1,-1,0),则=(1,-1,-1),=。易知平面BCFE的一个法向量为=(0,0,1)。(8分)设平面A′BE的一个法向量为m=(x,y,z),则故取y=2,则m=(1,2,-1)。(10分)所以cos〈,m〉===-,由图知二面角A′BEC为锐二面角,所以二面角A′BEC的余弦值为。(12分)19.(12分)雅言传承文明,经典滋润人生,中国的经典诗文是中华民族精神文明的重要组成部分。近年来某市教育局积极推广经典诗文诵读活动,致力于营造“诵读国学经典,积淀文化底蕴”的书香校园,引导广大学生熟悉诗词歌赋,亲近中华经典,感悟中华传统文化的深厚魅力,丰厚学生的人文积淀。该市教育局为调查活动开展的效果,对全市参加过经典诗文诵读活动的学生进行了测试,并从中抽取了1 000份试卷,根据这1 000份试卷的成绩(单位:分)得到如下频数分布表。成绩/分[65,70)[70,75)[75,80)[80,85)[85,90)[90,95)[95,100]频数40902004001508040(1)求这1 000份试卷成绩的平均数(同一组中的数据用该组区间的中点值为代表)。(2)假设此次测试的成绩X服从正态分布N(μ,σ2),其中μ近似为样本平均数,σ2近似为样本方差s2,已知s的近似值为6.61。以样本估计总体,假设有84.14%的学生的测试成绩高于该市教育局预期的平均成绩,则该市教育局预期的平均成绩大约为多少(结果保留一位小数)?(3)该市教育局准备从成绩在[90,100]内的120份试卷中用分层抽样的方法抽取6份,再从这6份试卷中随机抽取3份进行进一步分析,记Y为抽取的3份试卷中测试成绩在[95,100]内的份数,求Y的分布列和数学期望。参考数据:若X~N(μ,σ2),则P(μ-σ<X≤μ+σ)≈0.682 7,P(μ-2σ<X≤μ+2σ)≈0.954 5,P(μ-3σ<X≤μ+3σ)≈0.997 3。解 (1)由频数分布表得=67.5×0.04+72.5×0.09+77.5×0.2+82.5×0.4+87.5×0.15+92.5×0.08+97.5×0.04=82.15。(4分)(2)由题意得X~N(82.15,6.612),则P(X>μ-σ)≈+≈0.841 4,又μ-σ=82.15-6.61=75.54≈75.5,故该市教育局预期的平均成绩大约为75.5分。(8分)(3)由题意可得利用分层抽样的方法抽取的6份试卷中成绩在[90,95)内的有4份,成绩在[95,100]内的有2份,故Y的所有可能取值为0,1,2,且P(Y=0)==,P(Y=1)==,P(Y=2)==,所以Y的分布列为Y012P数学期望E(Y)=0×+1×+2×=1。(12分)20.(12分)双曲线C的中心在原点O,焦点在x轴上,且焦点到其渐近线y=±2x的距离为2。(1)求双曲线C的标准方程;(2)过点P(0,2)的直线l与双曲线C的左、右两支分别交于A,B两点,与其渐近线分别交于M,N(从左至右)两点。①证明:|AM|=|BN|;②是否存在这样的直线l,使得=,若存在,求出直线l的方程;若不存在,请说明理由。解 (1)因为双曲线C的渐近线为y=±2x,双曲线的焦点在x轴上,所以可设双曲线C的标准方程为-=1(a>0,b>0),则渐近线的方程为y=±x,焦点F(±c,0),所以解得a=1,b=2,所以双曲线的方程为x2-=1。(4分)(2)①由(1)知双曲线的方程为x2-=1,其渐近线的方程为y=±2x,设直线l:y=kx+2,因为直线l交双曲线C的左右两支分别于A,B,所以-2<k<2,联立得(4-k2)x2-4kx-8=0,设A(x1,y1),B(x2,y2),所以x1+x2=,x1x2=,联立解得x=,y=,则N,联立解得x=,y=,则M,所以|AM|=,|BN|=,所以|AM|2-|BN|2=(1+k2)=(1+k2)=(1+k2)=0,所以|AM|=|BN|。(8分)②由A,M,N,B共线,可得==,由①可得===,解得k2=3,所以k=±符合题意,所以直线l的方程为y=±x+2。(12分)21.(12分)已知函数f(x)=xln x-mex(m∈R)。(1)当m=时,求函数f(x)的单调区间;(2)当m≥时,求证:f(x)<0。解 (1)函数f(x)的定义域为(0,+∞)。当m=时,f(x)=xln x-ex-1,则f′(x)=1+ln x-ex-1。(1分)记g(x)=1+ln x-ex-1,则g′(x)=-ex-1。显然g′(x)在(0,+∞)上单调递减,且g′(1)=0,所以当x∈(0,1)时,g′(x)>0,函数g(x)单调递增;当x∈(1,+∞)时,g′(x)<0,函数g(x)单调递减。所以g(x)≤g(1)=1+ln 1-1=0,即f′(x)≤0恒成立,(3分)所以函数f(x)在(0,+∞)上单调递减。所以函数f(x)的单调递减区间为(0,+∞),无单调递增区间。(4分)(2)证明:要证f(x)<0,只需证mex>xln x。①当0<x≤1时,ex>1,xln x≤0,m≥,不等式显然成立。(5分)②当x>1时,xln x>0,ex>e,由m≥可得,mex≥ex,于是原问题可转化为求证·ex>xln x,即证-ln x>0。(6分)令h(x)=-ln x,则h′(x)=,令p(x)=2ex-2(x-1)-x,则p′(x)=2xex-2-1,易知p′(x)在(0,+∞)上单调递增,(8分)又p′(1)=-1<0,p′(2)=3>0,所以存在x0∈(1,2)使得p′(x0)=0,所以p(x)在(1,x0)上单调递减,在(x0,+∞)上单调递增,又p(1)=-1<0,p(2)=0,故当x∈(1,2)时,h′(x)<0,h(x)单调递减,当x∈(2,+∞)时,h′(x)>0,h(x)单调递增,所以当x>1时,h(x)≥h(2)=1-ln 2>0,(11分)即f(x)<0。综上,f(x)<0。(12分)(二)选考题:共10分。请考生在第22、23题中任选一题作答。如果多做,则按所做的第一题计分。22.[选修4-4:坐标系与参数方程](10分)在平面直角坐标系xOy中,曲线C的参数方程为(m为参数)。以坐标原点O为极点,x轴的正半轴为极轴建立极坐标系,直线l的极坐标方程为ρ=a(a>0)。(1)求曲线C的普通方程与直线l的直角坐标方程,并说明C是哪一种曲线;(2)若曲线C与直线l交于M,N两点,P(0,a),+=4,求a的值。解 (1)将曲线C的参数方程(m为参数)中的参数消去,得y=x2,故曲线C的普通方程为y=x2,且C表示以O为顶点,为焦点的抛物线。(2分)由ρ=a(a>0)得ρsin θ-ρcos θ=a(a>0),将y=ρsin θ,x=ρcos θ代入ρsin θ-ρcos θ=a(a>0),得y=x+a(a>0),故直线l的直角坐标方程为y=x+a(a>0)。(5分)(2)易知点P(0,a)在直线l上,则直线l的参数方程为(t为参数,a>0),代入y=x2,得t2--a=0。(7分)设点M,N对应的参数分别为t1,t2,则t1+t2=,t1t2=-,所以+=====4,得a=。(10分)23.[选修4-5:不等式选讲](10分)已知f(x)=log2(|2x-1|+|x-4|-m)。(1)若函数f(x)的定义域为R,求m的取值集合M;(2)若正数a,b满足a,b∈M,证明:<。解 (1)因为函数f(x)的定义域为R,所以|2x-1|+|x-4|-m>0即m<|2x-1|+|x-4|在R上恒成立。设g(x)=|2x-1|+|x-4|,则g(x)=结合函数g(x)的图象(图略)可知g(x)min=g=,所以m<,即集合M=m。(5分)(2)证明:由题意可知0<a<,0<b<,要证<,即证ab+25>5(a+b),即证ab+25-5(a+b)>0,即证(a-5)(b-5)>0。因为0<a<,0<b<,所以a-5<0,b-5<0,所以(a-5)(b-5)>0,故<。(10分)
相关试卷
这是一份高考数学解答题规范专题练 (含答案),共11页。试卷主要包含了已知抛物线C等内容,欢迎下载使用。
这是一份高考数学解答题规范专题练 (含答案),共11页。试卷主要包含了已知函数f=xex+ax2,已知点M为圆O等内容,欢迎下载使用。
这是一份高考数学解答题规范专题练 (含答案),共12页。试卷主要包含了已知抛物线C等内容,欢迎下载使用。

