第二篇 专题五 第3课时 圆锥曲线中的存在性与证明问题 2022版高考数学复习
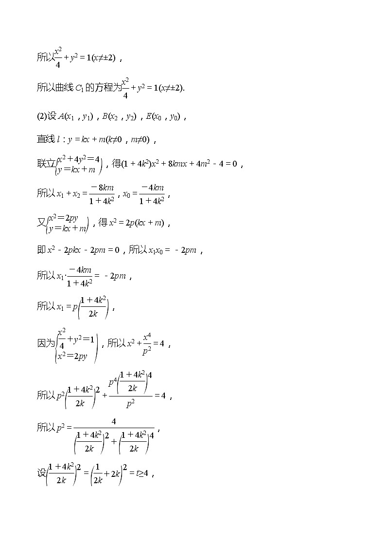
展开第3课时 圆锥曲线中的存在性与证明问题圆锥曲线中的存在性问题【典例1】(2021·承德二模)已知M(-2,0),N(2,0),动点P满足:直线PM与直线PN的斜率之积为常数-,设动点P的轨迹为曲线C1.抛物线C2:x2=2py(p>0)与C1在第一象限的交点为A,过点A作直线l交曲线C1于点B,交抛物线C2于点E(点B,E不同于点A).(1)求曲线C1的方程.(2)是否存在不过原点的直线l,使点E为线段AB的中点?若存在,求出p的最大值;若不存在,请说明理由.【思维点拨】(1)设动点P(x,y),由直线PM与直线PN的斜率之积为常数-,化简可得(2)分别联立直线与椭圆、直线与抛物线、椭圆与抛物线方程,结合根与系数的关系可得【解析】(1)设动点P(x,y),则kPM=,kPN=,因为kPMkPN=-,所以·=-,所以+y2=1(x≠±2),所以曲线C1的方程为+y2=1(x≠±2).(2)设A(x1,y1),B(x2,y2),E(x0,y0),直线l:y=kx+m(k≠0,m≠0),联立,得(1+4k2)x2+8kmx+4m2-4=0,所以x1+x2=,x0=,又,得x2=2p(kx+m),即x2-2pkx-2pm=0,所以x1x0=-2pm,所以x1·=-2pm,所以x1=p,因为,所以x2+=4,所以p2+=4,所以p2=,设==t≥4,则p2=,当k=,即t=4时,p2取得最大值,最大值为,即p=,此时A,直线l不过点M,N,所以存在不过原点的直线l,使点E为线段AB的中点,且p的最大值为. 本例若改为:如图,已知椭圆C1:+y2=1,抛物线C2:y2=2px(p>0),点A是椭圆C1与抛物线C2的交点,过点A的直线l交椭圆C1于点B,交抛物线C2于M(B,M不同于A).若存在不过原点的直线l使M为线段AB的中点,求p的最大值.【解析】设A(x1,y1),B(x2,y2),M(x3,y3),C(-x1,-y1),则OM∥BC,kAM·kOM=kAB·kBC=·==-,则kAM·kOM=·=·=·=-⇒y+y3y1+8p2=0,若y3存在,则Δ=y-32p2≥0.由于+2px1=1⇒x1=-2p+,于是y=2px1=-4p2+2p,故-4p2+2p≥32p2⇒≥18p⇒p≤.于是p的最大值为,此时x1=,y1=,即在A时取得. 关于存在性问题的解题策略(1)直接求解,求出要探究的参数值、点、直线等,即可说明存在性,若无解,则不存在.(2)假设存在,并作为条件使用,结合已知条件进行推导,探究是否有矛盾,没有矛盾符合题意则存在,否则不存在. (2021·泰安一模)已知椭圆C:+=1(a>b>0)的离心率为,短轴长为2.(1)求椭圆C的方程;(2)已知A,B是椭圆C上的两个不同的动点,以线段AB为直径的圆经过坐标原点O.是否存在以O为圆心的定圆恒与直线AB相切?若存在,求出定圆方程;若不存在,请说明理由.【解析】(1)由题意,解得:,所以椭圆C的方程为:+=1.(2)设A(x1,y1),B(x2,y2),直线AB的方程为:x=my+t,联立方程,消去x得:(m2+3)y2+2mty+(t2-6)=0,所以y1+y2=-,y1y2=,因为以线段AB为直径的圆经过坐标原点O,所以·=0,所以x1x2+y1y2=0,所以(my1+t)(my2+t)+y1y2=0,整理得:(m2+1)y1y2+mt(y1+y2)+t2=0,把y1+y2=-,y1y2=代入上式得:(m2+1)·+mt·+t2=0,整理得:t2=,因为原点(0,0)到直线AB:x=my+t的距离d=,所以d2==,所以存在以O为圆心的定圆x2+y2=恒与直线AB相切.若直线AB的斜率为0,则圆x2+y2=与直线y=相切,综上所述:存在以O为圆心的定圆x2+y2=恒与直线AB相切.圆锥曲线中的证明问题 【典例2】设椭圆E:+=1(a>b>0)的左、右焦点分别为F1,F2,过点F1的直线交椭圆E于A,B两点.若椭圆E的离心率为,△ABF2的周长为4.(1)求椭圆E的方程;(2)设不经过椭圆的中心O而平行于弦AB的直线交椭圆E于点C,D,设弦AB,CD的中点分别为M,N,证明:O,M,N三点共线.【思维点拨】(1)先由△ABF2的周长求出a,再结合离心率求出c,利用b2=a2-c2求出b2(2)分两种情况求解:当直线AB,CD的斜率不存在时,利用对称性知O,M,N三点共线;当直线AB,CD的斜率存在时,设斜率为k,利用“点差法”【规范解答】(1)由△ABF2的周长为4,可知4a=4,所以a=.又e==,所以c=,b2=a2-c2=3.于是椭圆E的方程为+=1.4分(2)当直线AB,CD的斜率不存在时,由椭圆的对称性知,中点M,N在x轴上,此时O,M,N三点共线.6分当直线AB,CD的斜率存在时,设其斜率为k(k≠0),且设A(x1,y1),B(x2,y2),M(x0,y0),则两式相减,得+-=0,整理得·=-,所以·=-,即k·kOM=-(kOM为直线OM的斜率),所以kOM=-.9分同理可得kON=-(kON为直线ON的斜率).11分所以kOM=kON,即O,M,N三点共线.综上所述,O,M,N三点共线.12分易错点容易忽视直线斜率不存在的情况障碍点利用“点差法”得k·kOM=-,k·kON=-,故有kOM=kON学科素养逻辑推理、数学运算、直观想象评分细则“点差法”结果整理正确得1分 圆锥曲线中的证明问题的解决方法解决证明问题时,主要根据直线、圆锥曲线的性质、直线与圆锥曲线的位置关系等,通过相关的性质应用、代数式的恒等变形以及必要的数值计算等进行证明.常用的证明方法有:(1)证A,B,C三点共线,可证kAB=kAC或=λ.(2)证直线MA⊥MB,可证kMA·kMB=-1或·=0.(3)证|AB|=|AC|,可证A点在线段BC的垂直平分线上. (2021·新高考II卷)已知椭圆C的方程为+=1(a>b>0),右焦点为F(,0),且离心率为.(1)求椭圆C的方程;(2)设M,N是椭圆C上的两点,直线MN与曲线x2+y2=b2(x>0)相切.证明:M,N,F三点共线的充要条件是|MN|=.【解析】(1)由题意,椭圆半焦距c=,且e==,所以a=,又b2=a2-c2=1,所以椭圆方程为+y2=1;(2)由(1)得,曲线为x2+y2=1(x>0),当直线MN的斜率不存在时,直线MN:x=1,不合题意;当直线MN的斜率存在时,设M(x1,y1),N(x2,y2),必要性:若M,N,F三点共线,可设直线MN:y=k(x-)即kx-y-k=0,由直线MN与曲线x2+y2=1(x>0)相切可得=1,解得k=±1,联立可得4x2-6x+3=0,所以x1+x2=,x1·x2=,所以|MN|=·=,所以必要性成立;充分性:设直线MN:y=kx+b(kb<0),即kx-y+b=0,由直线MN与曲线x2+y2=1(x>0)相切可得=1,所以b2=k2+1,联立可得(1+3k2)x2+6kbx+3b2-3=0,所以x1+x2=-,x1·x2=所以|MN|=·==·=,化简得3(k2-1)2=0,所以k=±1,所以或所以直线MN:y=x-或y=-x+,所以直线MN过点F(,0),M,N,F三点共线,充分性成立;所以M,N,F三点共线的充要条件是|MN|=. 闭Word文档返回原板块

