所属成套资源:2021-2022学年八年级数学下册期末综合复习专题提优训练(苏科版)
- 专题04 特殊的平行四边形中折叠问题-2021-2022学年八年级数学下册期末综合复习专题提优训练(苏科版) 试卷 3 次下载
- 专题05 特殊的平行四边形中动点问题-2021-2022学年八年级数学下册期末综合复习专题提优训练(苏科版) 试卷 3 次下载
- 专题07 解分式方程及分式方程中含参数问题-2021-2022学年八年级数学下册期末综合复习专题提优训练(苏科版) 试卷 0 次下载
- 专题08 分式方程的实际应用-2021-2022学年八年级数学下册期末综合复习专题提优训练(苏科版) 试卷 0 次下载
- 专题09 反比例函数及其图象与性质-2021-2022学年八年级数学下册期末综合复习专题提优训练(苏科版) 试卷 0 次下载
专题06 分式及其分式的化解求值运算-2021-2022学年八年级数学下册期末综合复习专题提优训练(苏科版)
展开
这是一份专题06 分式及其分式的化解求值运算-2021-2022学年八年级数学下册期末综合复习专题提优训练(苏科版),文件包含专题06分式及其分式的化解求值运算解析版-2021-2022学年八年级数学下册期末综合复习专题提优训练苏科版docx、专题06分式及其分式的化解求值运算原卷版-2021-2022学年八年级数学下册期末综合复习专题提优训练苏科版docx等2份试卷配套教学资源,其中试卷共24页, 欢迎下载使用。
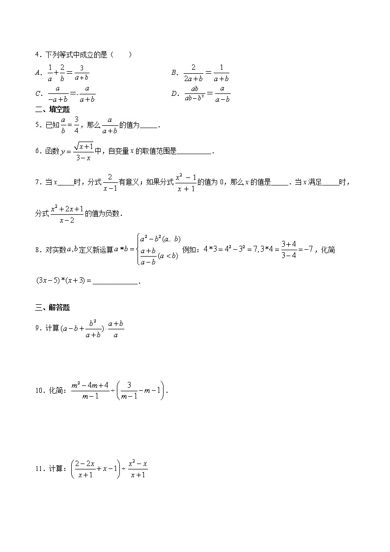
2021-2022学年八年级数学下册期末综合复习专题提优训练(苏科版)专题06 分式及其分式的化解求值运算【典型例题】1.计算:(1); (2)【答案】(1);(2)【分析】(1)根据乘法公式、分式混合运算的性质计算,即可得到答案;(2)根据乘法公式、分式混合运算的性质计算,即可得到答案.【详解】(1)=====;(2)====.【点睛】本题考查了分式的混合运算及分式的化简,正确运用分式的运算法则进行运算是解题的关键.2.化简:,并请你在﹣2,+1,39三个数中选取一个合适的数值作为a的值,求出化简后的值.【答案】【分析】先按照分式运用法则进行化简,再选使分母不为零的数代入求值即可.【详解】====当a的值为﹣2和+1时,分式无意义,故选a的值为39,代入原式=.【点睛】本题考查了分式化简求值,解题关键是熟练运用分式运算法则进行化简,注意:取值时要使分式有意义. 【专题训练】一、选择题1.要使分式有意义,则的取值范围是( )A. B. C. D.【答案】A【分析】根据分式有意义,分母不等于0列不等式求解即可.【详解】由题意得,x-1≠0,解得x≠1.故选A.【点睛】本题考查了分式有意义的条件,熟知分式有意义,分母不为零是解决问题的关键.2.如果把分式 中的和都扩大为原来的2倍,那么分式的值( )A.不变 B.缩小为原来的C.扩大为原来的2倍 D.扩大为原来的4倍【答案】A【分析】依题意,分别用2x和2y去代换原分式中的x和y,利用分式的基本性质化简即可.【详解】分别用2x和2y去代换原分式中的x和y,得:化简后的结果和原式相同,故答案为:A.【点睛】本题主要考查了分式的基本性质,解此类题首先把字母变化后的值代入式子中,然后约分,再与原式比较,最终得出结论.3.若分式的值为0,则x的值是( )A.1 B. C.2 D.【答案】B【分析】分式的值为零:分子x+1=0,且分母x-2≠0.【详解】解:根据题意,得分子x+1=0,且分母x-2≠0,解得,x=-1.故选:B.【点睛】本题考查了分式的值为零的条件.若分式的值为零,需同时具备两个条件:(1)分子为0;(2)分母不为0.这两个条件缺一不可.4.下列等式中成立的是( )A.= B.=C.=﹣ D.=【答案】D【分析】根据分式的基本性质逐项判断即可得.【详解】A、,此项不成立;B、,此项不成立;C、,此项不成立;D、,此项成立;故选:D.【点睛】本题考查了分式的基本性质,熟记性质是解题关键.二、填空题5.已知,那么的值为_____.【答案】【分析】设,代入求值即可.【详解】解:∵,∴设,,故答案为:.【点睛】本题考查了分式的性质,解题关键是设参数,代入求值.6.函数中,自变量x的取值范围是__________.【答案】x≥-1且x≠3【分析】根据二次根式有意义的条件以及分母不等于零,列出不等式组,进而即可求解.【详解】由题意得:x+1≥0且3-x≠0,解得:x≥-1且x≠3,故答案是:x≥-1且x≠3.【点睛】本题主要考查函数自变量的取值范围,熟练掌握二次根式有意义的条件以及分母不等于零,是解题的关键.7.当x_____时,分式有意义;如果分式的值为0,那么x的值是_____.当x满足_____时,分式的值为负数.【答案】 1 x<2且x≠-1 【分析】根据分式有意义的条件、分式的值为0的条件及分式的值为负数的条件即可解答.【详解】∵分式有意义,∴,即;∵分式的值为0,∴且,∴x=1;∵分式的值为负数,∴x-2<0且即x-2<0且x+1≠0,∴x<2且x≠-1.故答案为:;1;x<2且x≠-1.【点睛】本题是基础题,考查了分式有意义的条件、分式的值为0的条件及分式的值为负数的条件,熟练运用分式有意义的条件、分式的值为0的条件及分式的值为负数的条件是解决问题的关键.8.对实数定义新运算例如:,化简_____________.【答案】或.【分析】根据题意,可分为两种情况进行分析,分别求出化简的结果,即可得到答案.【详解】解:∵,当时,即,==;当,即,==;故答案为:或.【点睛】本题考查了新定义的混合运算,解题的关键是熟练掌握运算法则,正确的进行化简. 三、解答题9.计算【答案】a【分析】根据分式的减法和乘法可以解答本题.【详解】原式= = =a【点睛】本题考查分式的混合运算,解答本题的关键是明确分式混合运算的计算方法.10.化简:.【答案】【分析】原式括号中两项通分并利用同分母分式的减法法则计算,同时利用除法法则变形,约分得到最简结果即可.【详解】.【点睛】本题主要考查了分式的加减乘除混合运算,解题的关键是掌握分式混合运算顺序和运算法则.11.计算:【答案】【分析】根据分式混合运算、完全平方公式的性质计算,即可得到答案.【详解】====.【点睛】本题考查了分式的混合运算,解题的关键是熟练掌握分式混合运算、完全平方公式的性质,从而完成求解.12.计算:.【答案】【分析】根据分式的运算法则即可求出答案.【详解】解:.【点睛】本题考查分式的运算,解题的关键是熟练运用分式的运算法则,本题属于基础题型.13.先化简,再求值:,其中,x=3.【答案】【分析】先根据分式的混合运算顺序和运算法则化简原式,再将x的值代入计算即可.【详解】解:,=,==,=,当x=3时,原式=.【点睛】本题考查了分式化简求值,解题关键是依据分式运算法则准确化简,代入数值后,正确计算.14.先化简:,其中的x选一个适当的数代入求值.【答案】,5【分析】首先利用分式的基本性质及分式的乘除法的运算法则化简,然后在分式有意义的条件中选择一个数代入即可.【详解】原式∵或2时,原式无意义,∴x不能取1和2.当时,原式.【点睛】本题主要考查分式的化简求值,掌握分式的基本性质是解题的关键.15.先化简,再求值.,其中=2【答案】;2.【分析】先把括号里的各项化简,后变除法为乘法,再利用乘法分配律化简,化为最简形式即可.【详解】∵====;当x=2时,原式==2.【点睛】本题考查了分式的化简求值,熟练掌握通分,因式分解,约分,活用乘法的分配律是解题的关键.16.先化简,再求值:,其中.【答案】,【分析】先根据分式混合运算顺序和运算法则化简原式,再将m的值代入计算可得.【详解】解:原式.当时,原式.【点睛】本题主要考查分式的化简求值,解题的关键是掌握分式混合运算顺序和运算法则.17.先化简,再求值:,其中.【答案】,【分析】根据分式的运算法则先进行化简,然后代入计算即可.【详解】原式,当时,原式.【点睛】本题考查了分式的化简求值,熟练掌握分式的运算法则是解题的关键.18.先化简,再从中取一个合适的整数代入求值.【答案】,-1(x取-1时值为-3)【分析】先按照分式运算的顺序和法则化简,再选取数值代入计算即可.【详解】解:原式且为整数又当且时,原分式有意义只能取或①当时,原式(或②当时,原式)【点睛】本题考查分式的化简求值,解题关键是准确应用分式运算法则按照正确的运算顺序进行化简,代入求值时要使分式有意义.19.先化简:,再从-1、-2、-3三个数中,选一个你认为合适的数作为的值代入求值.【答案】,2【分析】先根据分式的混合运算顺序和运算法则化简原式,再将x的值代入计算可得.【详解】解:原式∵分式分母不为0,∴x不能为-1,-2,∴ x可选-3,将代入得:原式.【点睛】本题考查分式的运算,其中主要涉及分式的加减法以及分式的乘除法,分式的加减法关键是化异分母为同分母,分式的除法关键是将被除分子变成乘以该分子的倒数.20.先化简,再求值:,其中.【答案】,【分析】先通分,计算括号内的分式的减法运算,同步把除法转化为乘法运算,约分后得到化简的结果,再按照零次幂与负整数指数幂的含义化简 再代入化简后的代数式求值即可.【详解】解: 当时,原式【点睛】本题考查的是分式的化简求值,零次幂与负整数指数幂的含义,掌握以上知识是解题的关键.21.先化简,再求值:,其中m从﹣1、0、1、2这四个数中选取.【答案】【分析】原式括号中两项通分并利用同分母分式加法法则计算,同时利用除法法则变形,约分得到最简结果,把m的值代入计算即可求出值.【详解】解:,当,0,1时,原式没有意义;当时,原式.【点睛】此题考查了分式的化简求值,熟练掌握运算法则是解本题的关键.22.先化简:()÷,再从﹣3,﹣4,3,4中选一个合适的数作为x的值代入求值.【答案】x+3,−1【分析】先利用分式混合运算的运算法则进行化简,排除掉分母等于0的值,再将x=﹣4代入即可得出结果.【详解】解: ()÷ ∴当时,原式=4+3=−1【点睛】本题主要考察分式化简求值,准确记住分式加减乘除计算规则是解题关键.23.先化简÷(﹣x﹣1),再从﹣2,﹣1,1,2中选取一个你喜爱的x值代入求值.【答案】,.【分析】根据分式的运算法则进行化简,然后将x的值代入即可求出答案.【详解】解:原式,,,,由分式有意义的条件可知:x只能取-1,当x=-1时,原式=.【点睛】本题考查分式的化简求值,解题的关键是熟练运用分式的运算法则,本题属于基础题型.24.(1)化简:(2)先化简再求值:,其中.【答案】(1),(2),【分析】(1)先计算括号内的分式减法,再算除法即可;(2)先依据分式运算法则和顺序化简,再代入求值即可.【详解】解:(1),,,,;(2),,,,∵,∴a=2(不符合题意,舍去)或a=-2,把a=-2代入,原式.【点睛】本题考查了分式的运算和分式化简求值,解题关键是熟练运用分式的运算法则和运算顺序解题.25.(1)先化简,再求值:,已知.(2)先化简,再求值:,从中选出合适的的整数值代入求值.【答案】(1);1;(2);-1【分析】(1)由分式的加减乘除混合运算,把分式进行化简,然后得到,再代入计算,即可得到答案;(2)由分式的加减乘除混合运算,把分式进行化简,然后结合,以及分式有意义的条件,得到x的值,再代入计算,即可得到答案;【详解】(1)解:原式;当时,;原式.解:原式;当时,∵,,,,当时,原式.【点睛】本题考查了分式的加减乘除混合运算,分式的化简求值,分式有意义的条件,解题的关键是熟练掌握运算法则,正确的进行解题.
相关试卷
这是一份专题07 分式及分式的基本性质(10大考点)-八年级数学下册重难点专题提优训练(苏科版),文件包含专题07分式及分式的基本性质解析版重点突围docx、专题07分式及分式的基本性质原卷版重点突围docx等2份试卷配套教学资源,其中试卷共31页, 欢迎下载使用。
这是一份初中数学苏科版八年级下册10.1 分式优秀课后练习题,文件包含专题09高频考点专题分式运算中的技巧解析版4大技巧docx、专题09高频考点专题分式运算中的技巧原卷版4大技巧docx等2份试卷配套教学资源,其中试卷共19页, 欢迎下载使用。
这是一份专题08 分式方程的实际应用-2021-2022学年八年级数学下册期末综合复习专题提优训练(苏科版),文件包含专题08分式方程的实际应用解析版-2021-2022学年八年级数学下册期末综合复习专题提优训练苏科版docx、专题08分式方程的实际应用原卷版-2021-2022学年八年级数学下册期末综合复习专题提优训练苏科版docx等2份试卷配套教学资源,其中试卷共20页, 欢迎下载使用。

