资料中包含下列文件,点击文件名可预览资料内容
还剩2页未读,
继续阅读
2021届陕西省西安市西工大附中高三下学期5月第十二次适应性模拟检测数学理科试题 PDF版
展开
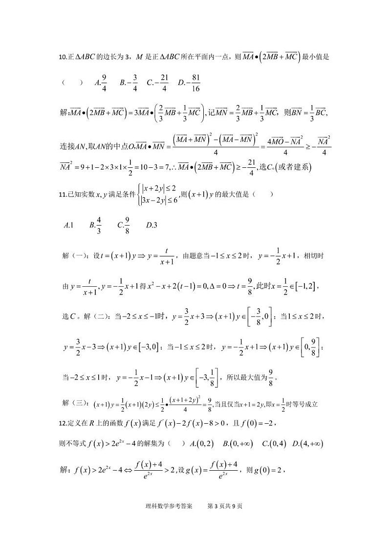
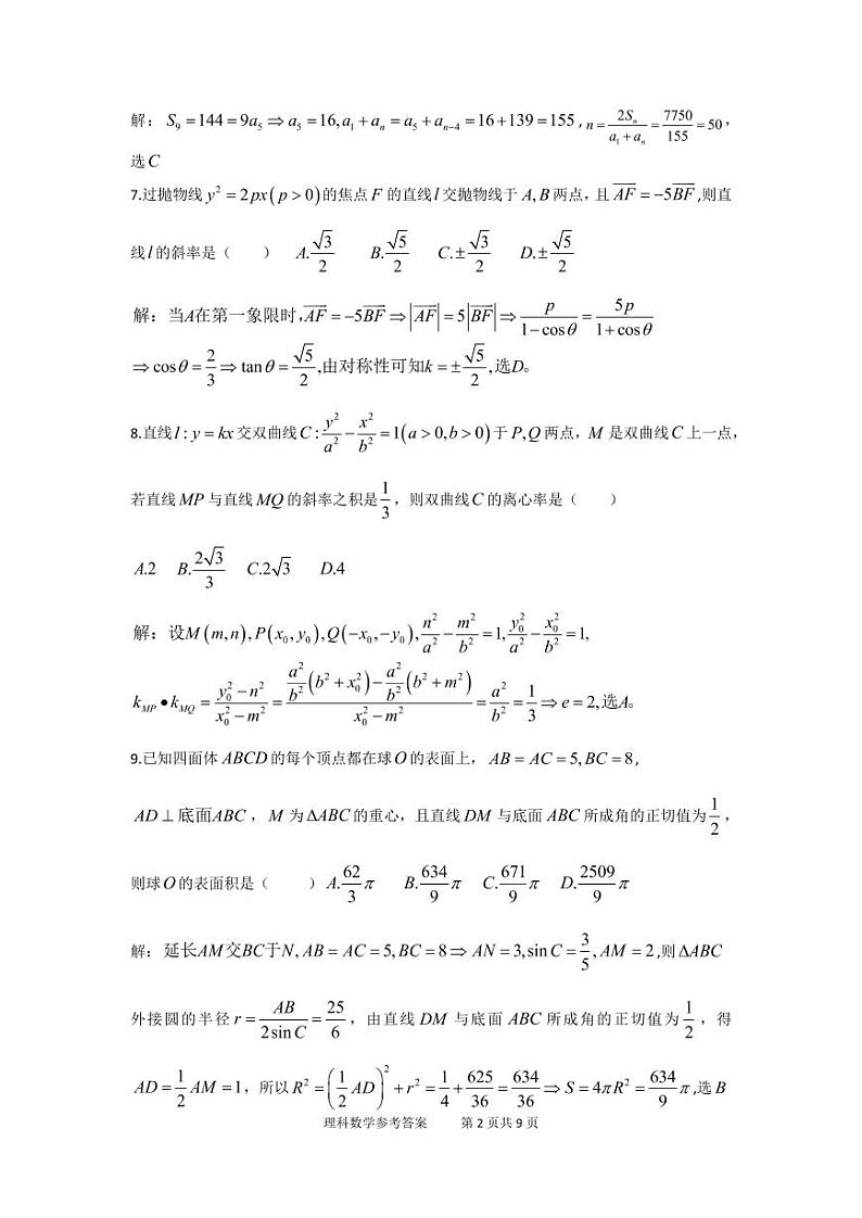
这是一份2021届陕西省西安市西工大附中高三下学期5月第十二次适应性模拟检测数学理科试题 PDF版,文件包含高三理科数学12参考答案pdf、高三理科数学12试题pdf等2份试卷配套教学资源,其中试卷共13页, 欢迎下载使用。
相关试卷
2018届陕西省西安市西工大附中高三年级第十二次模拟练习文科数学试题(PDF版):
这是一份2018届陕西省西安市西工大附中高三年级第十二次模拟练习文科数学试题(PDF版),文件包含文数答案pdf、文科数学试题pdf等2份试卷配套教学资源,其中试卷共8页, 欢迎下载使用。
2018届陕西省西安市西工大附中高三年级第十二次模拟练习文科数学试题(PDF版):
这是一份2018届陕西省西安市西工大附中高三年级第十二次模拟练习文科数学试题(PDF版),文件包含文数答案pdf、文科数学试题pdf等2份试卷配套教学资源,其中试卷共8页, 欢迎下载使用。
2021届陕西省西安市西工大附中高三下学期5月第十二次适应性模拟检测数学文科试题 PDF版:
这是一份2021届陕西省西安市西工大附中高三下学期5月第十二次适应性模拟检测数学文科试题 PDF版,文件包含12测文科答案pdf、12测文科试题pdf等2份试卷配套教学资源,其中试卷共8页, 欢迎下载使用。

