2021届山东省淄博市部分学校高三下学期4月阶段性诊断考试(二模)数学试题 PDF版
展开山东省淄博市部分学校2023届高三数学下学期4月阶段性诊断考试试题(Word版附解析): 这是一份山东省淄博市部分学校2023届高三数学下学期4月阶段性诊断考试试题(Word版附解析),共24页。试卷主要包含了 “”是“圆等内容,欢迎下载使用。
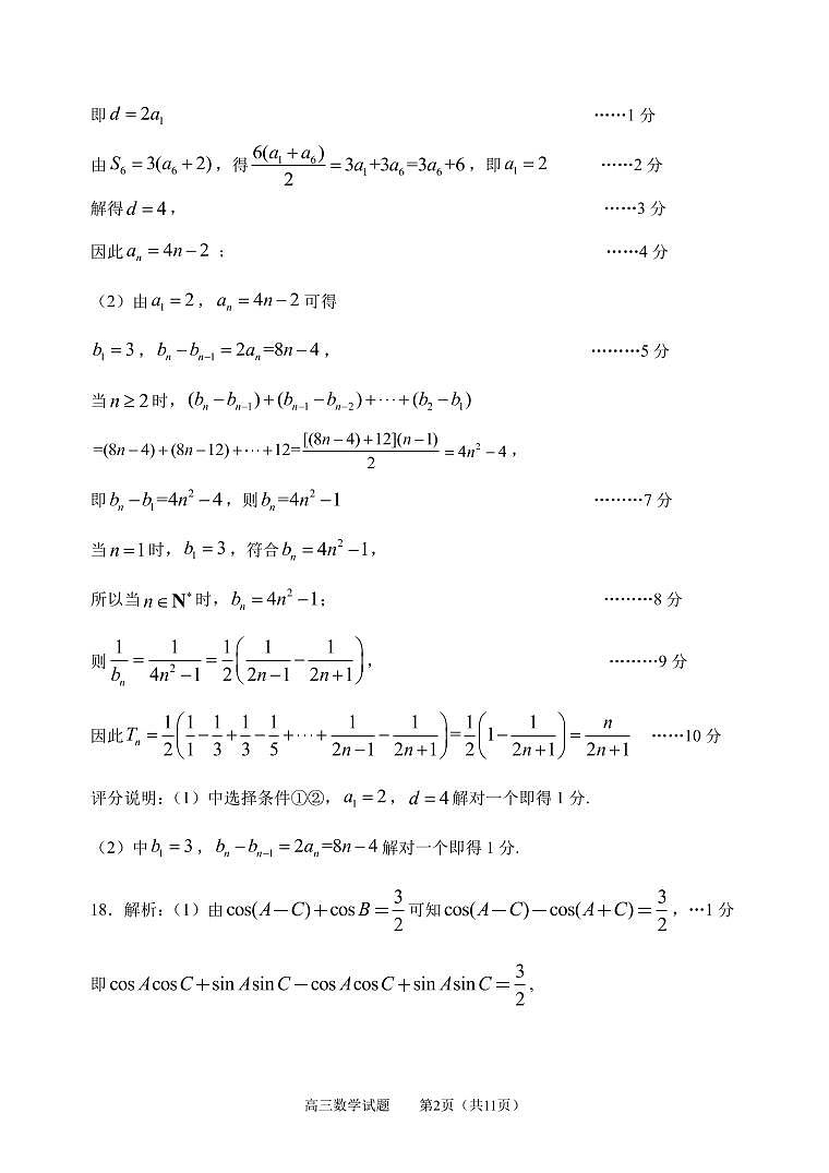
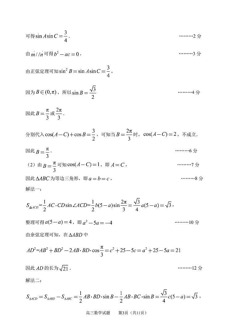
山东省淄博市部分学校2021届高三阶段性诊断考试(二模)数学 答案: 这是一份山东省淄博市部分学校2021届高三阶段性诊断考试(二模)数学 答案,共11页。
山东省淄博市部分学校2021届高三阶段性诊断考试(二模)数学试题: 这是一份山东省淄博市部分学校2021届高三阶段性诊断考试(二模)数学试题,共2页。

