


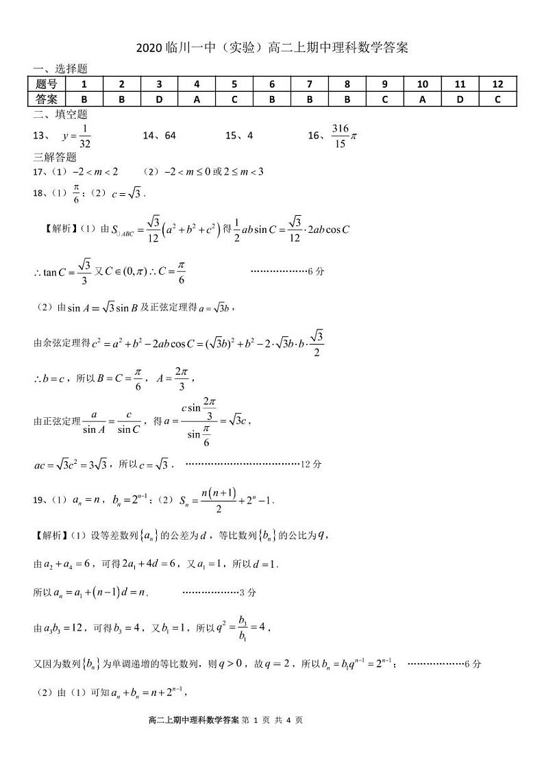
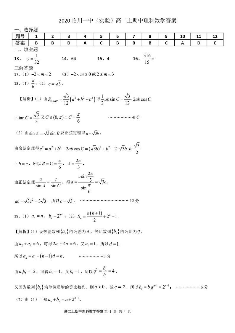
江西省临川一中暨临川一中实验学校2020-2021学年高二上学期期中考试数学(理)试题(含答案)
展开2021-2022学年江西省抚州市临川一中暨临川一中实验学校高一(上)期末数学试卷: 这是一份2021-2022学年江西省抚州市临川一中暨临川一中实验学校高一(上)期末数学试卷,共20页。试卷主要包含了选择题,多选题,填空题,解答题等内容,欢迎下载使用。
2021届江西省临川第一中学暨临川一中实验学校高三上学期第二次月考数学(理)试题 PDF版: 这是一份2021届江西省临川第一中学暨临川一中实验学校高三上学期第二次月考数学(理)试题 PDF版,文件包含答案pdf、试题pdf等2份试卷配套教学资源,其中试卷共14页, 欢迎下载使用。
2021江西省临川一中暨临川一中实验学校高二上学期期中考试数学(理)试题(可编辑)PDF版含答案: 这是一份2021江西省临川一中暨临川一中实验学校高二上学期期中考试数学(理)试题(可编辑)PDF版含答案