

所属成套资源:高考数学(文数)一轮复习课时练习(学生版)
高考数学(文数)一轮复习课时练习:4.1《平面向量的概念及线性运算》(学生版)
展开
这是一份高考数学(文数)一轮复习课时练习:4.1《平面向量的概念及线性运算》(学生版)
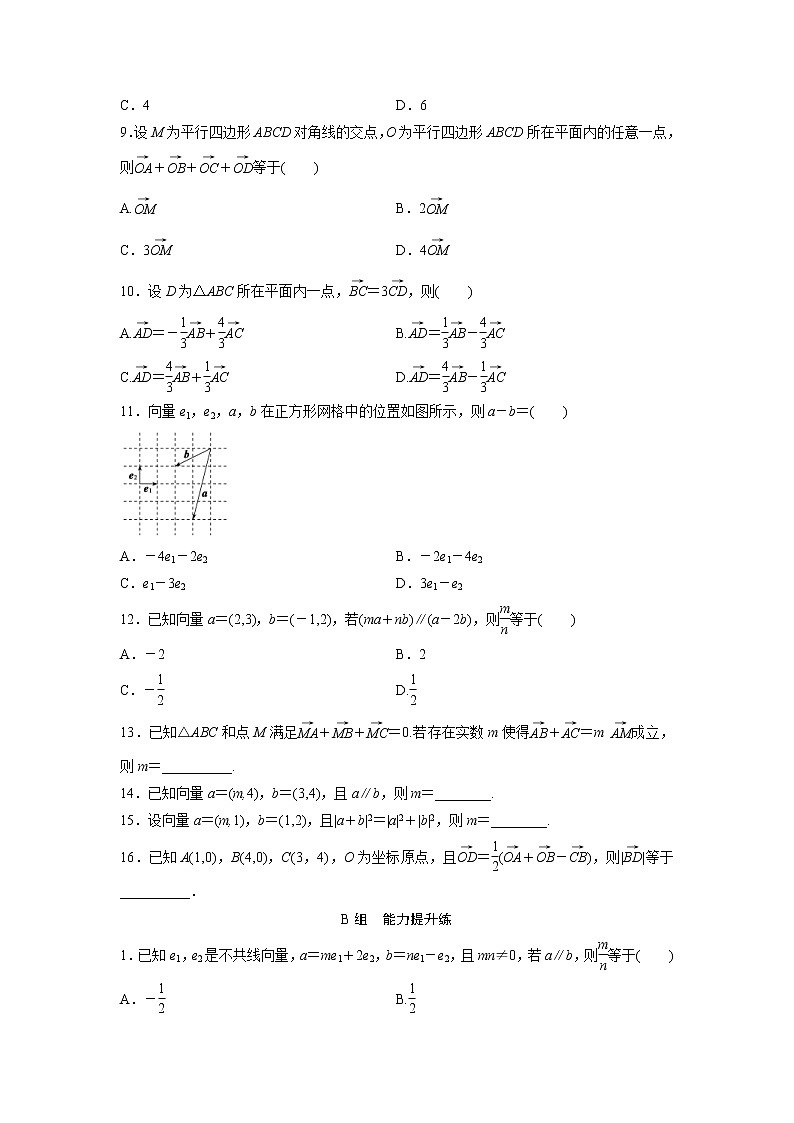
课时规范练A组 基础对点练1.在△ABC中,已知M是BC中点,设eq \o(CB,\s\up6(→))=a,eq \o(CA,\s\up6(→))=b,则eq \o(AM,\s\up6(→))=( )A.eq \f(1,2)a-b B.eq \f(1,2)a+bC.a-eq \f(1,2)b D.a+eq \f(1,2)b2.已知点A(0,1),B(3,2),向量eq \o(AC,\s\up6(→))=(-4,-3),则向量eq \o(BC,\s\up6(→))=( )A.(-7,-4) B.(7,4)C.(-1,4) D.(1,4)3.已知向量a,b,c中任意两个都不共线,但a+b与c共线,且b+c与a共线,则向量a+b+c=( )A.a B.bC.c D.04.设D,E,F分别为△ABC的三边BC,CA,AB的中点,则eq \o(EB,\s\up6(→))+eq \o(FC,\s\up6(→))=( )A.eq \o(BC,\s\up6(→)) B.eq \f(1,2)eq \o(AD,\s\up6(→))C.eq \o(AD,\s\up6(→)) D.eq \f(1,2)eq \o(BC,\s\up6(→))5.已知O,A,B,C为同一平面内的四个点,若2 eq \o(AC,\s\up6(→))+eq \o(CB,\s\up6(→))=0,则向量eq \o(OC,\s\up6(→))等于( )A.eq \f(2,3)eq \o(OA,\s\up6(→))-eq \f(1,3)eq \o(OB,\s\up6(→)) B.-eq \f(1,3)eq \o(OA,\s\up6(→))+eq \f(2,3)eq \o(OB,\s\up6(→))C.2 eq \o(OA,\s\up6(→))-eq \o(OB,\s\up6(→)) D.-eq \o(OA,\s\up6(→))+2 eq \o(OB,\s\up6(→))6.已知点G是△ABC的重心,过点G作一条直线与AB,AC两边分别交于M,N两点,且eq \o(AM,\s\up6(→))=x eq \o(AB,\s\up6(→)),eq \o(AN,\s\up6(→))=y eq \o(AC,\s\up6(→)),则eq \f(xy,x+y)的值为( )A.3 B.eq \f(1,3)C.2 D.eq \f(1,2)7.已知向量a=(2,4),b=(-1,1),则2a-b=( )A.(5,7) B.(5,9)C.(3,7) D.(3,9)8.设向量a=(2,4)与向量b=(x,6)共线,则实数x=( )A.2 B.3C.4 D.69.设M为平行四边形ABCD对角线的交点,O为平行四边形ABCD所在平面内的任意一点,则eq \o(OA,\s\up6(→))+eq \o(OB,\s\up6(→))+eq \o(OC,\s\up6(→))+eq \o(OD,\s\up6(→))等于( )A.eq \o(OM,\s\up6(→)) B.2eq \o(OM,\s\up6(→))C.3eq \o(OM,\s\up6(→)) D.4eq \o(OM,\s\up6(→))10.设D为△ABC所在平面内一点,eq \o(BC,\s\up6(→))=3eq \o(CD,\s\up6(→)),则( )A.eq \o(AD,\s\up6(→))=-eq \f(1,3)eq \o(AB,\s\up6(→))+eq \f(4,3)eq \o(AC,\s\up6(→)) B.eq \o(AD,\s\up6(→))=eq \f(1,3)eq \o(AB,\s\up6(→))-eq \f(4,3)eq \o(AC,\s\up6(→))C.eq \o(AD,\s\up6(→))=eq \f(4,3)eq \o(AB,\s\up6(→))+eq \f(1,3)eq \o(AC,\s\up6(→)) D.eq \o(AD,\s\up6(→))=eq \f(4,3)eq \o(AB,\s\up6(→))-eq \f(1,3)eq \o(AC,\s\up6(→))11.向量e1,e2,a,b在正方形网格中的位置如图所示,则a-b=( )A.-4e1-2e2 B.-2e1-4e2C.e1-3e2 D.3e1-e212.已知向量a=(2,3),b=(-1,2),若(ma+nb)∥(a-2b),则eq \f(m,n)等于( )A.-2 B.2C.-eq \f(1,2) D.eq \f(1,2)13.已知△ABC和点M满足eq \o(MA,\s\up6(→))+eq \o(MB,\s\up6(→))+eq \o(MC,\s\up6(→))=0.若存在实数m使得eq \o(AB,\s\up6(→))+eq \o(AC,\s\up6(→))=m eq \o(AM,\s\up6(→))成立,则m=__________.14.已知向量a=(m,4),b=(3,4),且a∥b,则m=________.15.设向量a=(m,1),b=(1,2),且|a+b|2=|a|2+|b|2,则m=________.16.已知A(1,0),B(4,0),C(3,4),O为坐标原点,且eq \o(OD,\s\up6(→))=eq \f(1,2)(eq \o(OA,\s\up6(→))+eq \o(OB,\s\up6(→))-eq \o(CB,\s\up6(→))),则|eq \o(BD,\s\up6(→))|等于__________.B组 能力提升练1.已知e1,e2是不共线向量,a=me1+2e2,b=ne1-e2,且mn≠0,若a∥b,则eq \f(m,n)等于( )A.-eq \f(1,2) B.eq \f(1,2)C.-2 D.22.在△ABC中,eq \o(AN,\s\up6(→))=eq \f(1,4)eq \o(NC,\s\up6(→)),若P是直线BN上的一点,且满足eq \o(AP,\s\up6(→))=m eq \o(AB,\s\up6(→))+eq \f(2,5)eq \o(AC,\s\up6(→)),则实数m的值为( )A.-4 B.-1C.1 D.43.在平面上,eq \o(AB1,\s\up6(→))⊥eq \o(AB2,\s\up6(→)),|eq \o(OB1,\s\up6(→))|=|eq \o(OB2,\s\up6(→))|=1,eq \o(AP,\s\up6(→))=eq \o(AB1,\s\up6(→))+eq \o(AB2,\s\up6(→)).若|eq \o(OP,\s\up6(→))|
相关试卷
这是一份高考数学(文数)一轮复习创新思维课时练4.1《平面向量的概念及线性运算》(教师版),共6页。试卷主要包含了已知a=,b=,c=,则,若a与b不共线,已知下列各向量等内容,欢迎下载使用。
这是一份高考数学(文数)一轮复习课时练习:4.1《平面向量的概念及线性运算》(教师版),共9页。试卷主要包含了故选A.等内容,欢迎下载使用。
这是一份高考数学(理数)一轮复习:课时达标检测24《平面向量的概念及线性运算》(学生版)