

还剩3页未读,
继续阅读
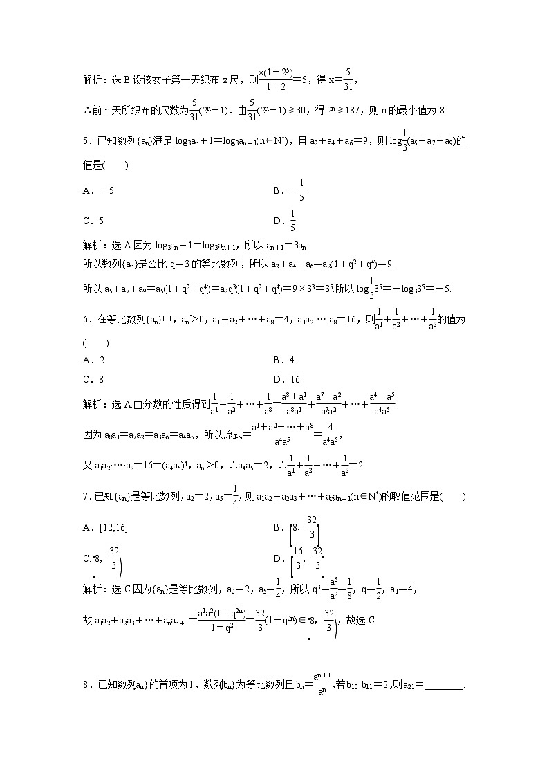
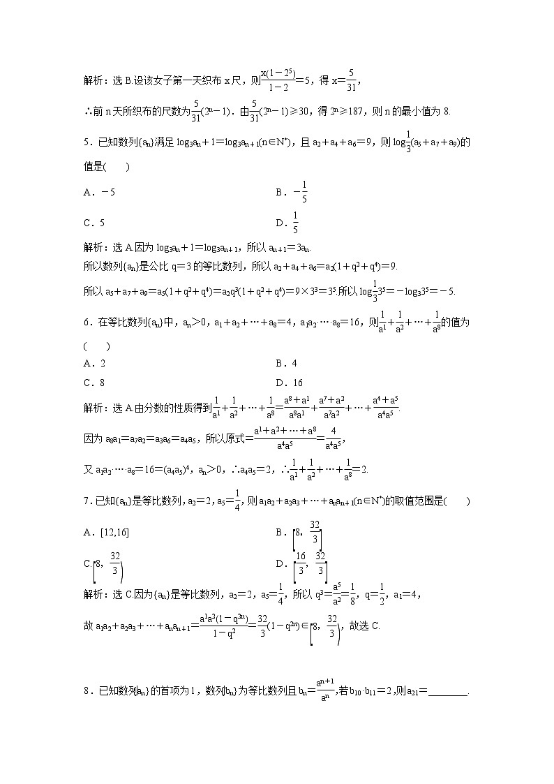
高考数学(理数)一轮复习检测卷:5.3《等比数列及其前n项和》 (教师版)
展开
这是一份高考数学(理数)一轮复习检测卷:5.3《等比数列及其前n项和》 (教师版)
相关试卷
高考数学(文数)一轮复习创新思维课时练5.3《等比数列及其前n项和》(教师版):
这是一份高考数学(文数)一轮复习创新思维课时练5.3《等比数列及其前n项和》(教师版),共6页。
高考数学(文数)一轮复习课时练习:5.3《等比数列及其前n项和》(教师版):
这是一份高考数学(文数)一轮复习课时练习:5.3《等比数列及其前n项和》(教师版),共6页。
高考数学(理数)一轮复习检测卷:5.3《等比数列及其前n项和》 (学生版):
这是一份高考数学(理数)一轮复习检测卷:5.3《等比数列及其前n项和》 (学生版),共3页。
