







2022届高三数学二轮复习课件:专题三 专项突破三 数列解答题
展开1.分组转化法具有下列特点的数列常用分组转化法求和:(1)an=bn±cn,且{bn},{cn}为等差数列或等比数列,可采用分组转化法求和.
(2)an= 且{bn},{cn}为等差数列或等比数列,可采用分组转化法求和.
2.错位相减法一般地,数列{an}是等差数列,{bn}是等比数列,求数列{an·bn}的前n项和时,可采用错位相减法,一般是和式两边同乘等比数列{bn}的公比,然后作差求解.
3.裂项相消法实质是将数列的通项分解为两项之差,求和时能消去中间的一些项,最终达到求和的目的,其解题的关键是准确地裂项和消项.(1)裂项原则:一般是前边裂几项,后边就裂几项,直到发现被消去项的规律为止.(2)消项规律:消项后前边剩几项,后边就剩几项,前边剩第几项,后边就剩倒数第几项.
考向一 分组转化法求和
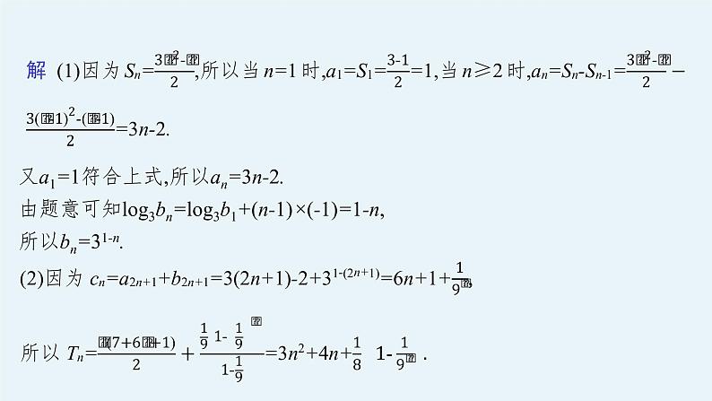
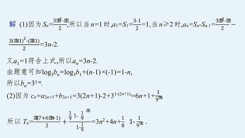
(1)求数列{an},{bn}的通项公式;(2)设cn=a2n+1+b2n+1,求数列{cn}的前n项和Tn.
又a1=1符合上式,所以an=3n-2.由题意可知lg3bn=lg3b1+(n-1)×(-1)=1-n,所以bn=31-n.
解题心得分组转化法求和的技巧(1)若能把一个较为复杂的数列的通项分成两(或多)部分,而每一部分对应的前n项和可求,则分别求和相加即可.(2)若一个数列的前n项和不好求,而数列相邻的两项或多项的和相等且为常数,则对该数列先作并项处理,即先合并项,再求和.
精典对练·得高分(2021·山东聊城一中一模)已知等差数列{an}的首项为2,前n项和为Sn,正项等比数列{bn}的首项为1,且满足a3=2b2,S5=b2+b4.(1)求数列{an},{bn}的通项公式;(2)设cn=(-1)nlg3Sn+lg3bn,求数列{cn}的前26项和.
数学思想·扩思路转化与化归思想(2021·福建三明检测)已知等差数列{an}满足a2=4,a3+a4=17.(1)求数列{an}的通项公式;(2)若数列{bn}满足b1=2,再从①bn+1=2bn,②2bn+1=bn,③bn+1=-bn这三个条件中任选一个作为已知,求数列{an+bn}的前n项和Tn.
点评有些数列求和问题,通过分组或并项,将不易直接求和的问题转化为容易求和的问题,这一过程体现了转化与化归的数学思想.
考向二 裂项相消法求和[例2](2021·河北邯郸高三一模)已知各项均为正数的等差数列{an}的公差为4,其前n项和为Sn,且2a2为S2,S3的等比中项.(1)求{an}的通项公式;
即(a1+4)(a1-2)=0,解得a1=2或a1=-4(舍去),所以an=2+4(n-1)=4n-2.
(方法二)因为数列{an}是公差为4的等差数列,且2a2为S2,S3的等比中项,
因为a2>0,所以4a2=3S2,即4(a1+4)=3(2a1+4),解得a1=2,所以an=2+4(n-1)=4n-2.
误区警示裂项相消法求和的注意事项(1)裂项相消法求和就是将数列中的每一项裂成两项或多项,使这些裂开的项出现有规律的相互抵消,要注意消去了哪些项,保留了哪些项.(2)裂项相消后并不一定只剩下第一项和最后一项,要注意认真计算,观察前面剩余的项数,后面剩余的项数与前面剩余的项数一样多.
精典对练·得高分(2021·湖南雅礼中学高三模拟)已知等差数列{an}满足a2=3,S5=25.(1)求数列{an}的通项公式;
解 (1)因为数列{an}为等差数列,设公差为d,
所以a3=5.又a2=3,所以d=a3-a2=2,所以an=3+2(n-2)=2n-1.
一题多解·练思维(2021·广东汕头一模)已知等比数列{an}的前n项和为Sn,给出条件:
若 , (1)求m的值及数列{an}的通项公式;
考向三 错位相减法求和[例3](2021·河北保定高三二模)已知数列{an}满足an=(an-1 (n≥2),a1=e.(1)求an的通项公式;(2)求a1+2a2+3a3+…+10a10.
方法技巧错位相减法求和的三个技巧一是巧拆分,即把数列的通项转化为等差数列和等比数列的通项的积,并求出等比数列的公比;二是构差式,即求出前n项和的表达式,然后乘等比数列的公比,两式作差;三是得结论,即根据差式的特征进行准确求和.
(1)解 设{an}的公比为q,则an=qn-1.因为a1,3a2,9a3成等差数列,
易错防范·不丢分(2021·湖南长沙四县市高三联考)①等差数列{an}满足a1=1,a5=9(n∈N*);②数列{an}的前n项和为Sn=n2;③公差不为0的等差数列{an}的首项a1=1,且a1,a2,a5成等比数列.在这三个条件中任选一个,补充在下面的问题中,并作答.问题:已知数列{bn}满足b1+b2+…+bn=3n, . (1)求数列{an},{bn}的通项公式;
(1)解 b1+b2+…+bn=3n,则当n≥2时,b1+b2+…+bn-1=3n-1,两式作差可得bn=2×3n-1(n≥2),当n=1时,b1=3,不符合上式,
若选①:设等差数列{an}的公差为d,因为a1=1,所以a5=1+4d=9,解得d=2,所以an=1+2(n-1)=2n-1.
若选②:当n≥2时,an=Sn-Sn-1=n2-(n-1)2=2n-1,当n=1时,a1=S1=1,符合上式,所以an=2n-1.若选③:设等差数列{an}的公差为d,d≠0,
误区警示应用错位相减法求和对数学运算素养有较高的要求.容易出现两个错误:一是相减时弄错最后一项的符号;二是忘记把相减后和前面的系数化为1.
考向四 数列中的存在性问题[例4]已知各项均为正数的等比数列{an}中,a1+a3=10,a3+a5=40.设bn=lg2an.(1)求数列{bn}的通项公式.
(1)解 设各项均为正数的等比数列{an}的公比为q(q>0),则a1+a1q2=10,a1q2+a1q4=40,解得a1=2,q=2,所以an=2n,bn=lg22n=n.
又k为正整数,所以k的最大值为4.故存在正整数k,且k的最大值为4.
解题心得假设推理法解数列存在性问题解决数列中的存在性问题的一般方法是假设推理法,即先假设所探求对象存在或结论成立,以此假设为前提进行运算或逻辑推理,若由此推出矛盾,则假设不成立,即不存在.若推不出矛盾,即得到存在的结果.
精典对练·得高分(2021·湖北襄阳模拟)在①{bn}为等比数列,b1=a1,3b2=a2,②{bn}为等差数列,2b1=a1,4b2=a2,③{bn}为等比数列,b1=a1+2,b2=a2+4这三个条件中任选一个,补充在下面的问题中,并解答.
又a1=2满足an=(2n-1)·2n,所以an=(2n-1)·2n.若选①,设等比数列{bn}的公比为q(q≠0).
由已知得b1=2,b2=2q=4,则q=2,所以bn=2×2n-1=2n.
由Sk=k2≥2 020,k∈N*,可得k≥45,所以存在正整数k,使得Sk≥2 020成立,且k的最小值为45.若选②,设等差数列{bn}的公差为d.由已知得b1=1,b2=3,则d=b2-b1=2,
由Sk=2k+1-2≥2 020,k∈N*得k≥10,所以存在正整数k,使得Sk≥2 020成立,且k的最小值为10.若选③,设等比数列{bn}的公比为q(q≠0).
数学思想·扩思路函数与方程思想(2021·江西南昌一中月考)在数列{an}中,a1=1,a1+2a2+3a3+…+nan= an+1.(1)求数列{an}的通项公式;(2)若存在n∈N*,使得an≥(n+1)3nλ成立,求实数λ的最大值.
点评本题第(2)问是根据含参不等式有解求参数范围,先分离参数,转化为求函数的最值,蕴含了转化的数学思想.在求最值时对新构造的数列分析其单调性,体现了函数思想的应用.
新高考数学二轮复习专题三规范答题3数列课件: 这是一份新高考数学二轮复习专题三规范答题3数列课件,共5页。PPT课件主要包含了思路分析等内容,欢迎下载使用。
《新高考数学大二轮复习课件》专题三 规范答题3 数列: 这是一份《新高考数学大二轮复习课件》专题三 规范答题3 数列,共7页。PPT课件主要包含了命题分析,步骤要点,规范解答,阅卷细则等内容,欢迎下载使用。
高考数学二轮复习热点突破专题2数列规范答题示范课_数列解答题课件: 这是一份高考数学二轮复习热点突破专题2数列规范答题示范课_数列解答题课件,共9页。