







初中数学人教版八年级下册第十六章 二次根式综合与测试图文ppt课件
展开1.理解并掌握二次根式混合运算的运算法则。2.熟练运用二次根式的混合运算法则进行计算。
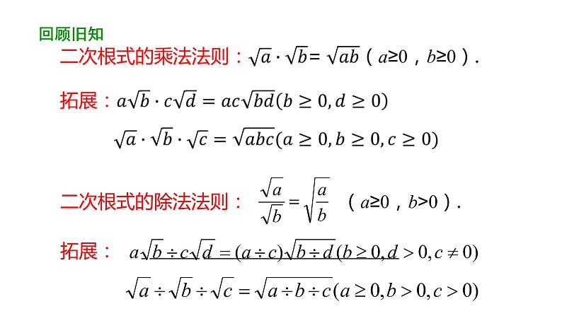
二次根式的除法法则: (a≥0,b>0).
二次根式的加减:一般地,二次根式加减时,可以先将二次根式化成最简二次根式,再将被开方数相同的二次根式进行合并.
已知一块矩形菜地的长为 ,宽为 ,求矩形菜地的面积.
1.二次根式的混合运算种类:二次根式的加、减、乘、除、乘方(或开方)的混合运算.
2.二次根式的混合运算顺序:先乘方,再乘除,最后加减,有括号的先算括号里面的(或先去掉括号),与整式的混合运算顺序相同.
3.二次根式的混合运算依据:有理数的运算律(交换律、结合律、分配律)、多项式乘法法则和乘法公式(平方差公式、完全平方公式)在二次根式的运算中仍然适用.
4.二次根式混合运算的几种常见类型及计算方法
二次根式的混合运算结果一定要化成最简形式;
在进行二次根式的计算时,能用乘法公式的要尽量使用乘法公式,同时要注意公式的正用和逆用,以及简化运算过程.
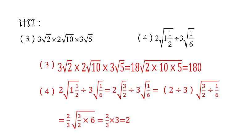
3.计算:
加、减、乘、除、乘方(或开方)
先乘方,再乘除,最后加减,有括号的先算括号里面的(或先去掉括号)
有理数的运算律、多项式乘法法则和乘法公式
知识点1:二次根式的混合运算
知识点2:二次根式的混合运算与乘法公式
人教版八年级下册16.3 二次根式的加减集体备课ppt课件: 这是一份人教版八年级下册16.3 二次根式的加减集体备课ppt课件,共5页。PPT课件主要包含了例4计算,例5计算等内容,欢迎下载使用。
初中数学人教版八年级下册16.3 二次根式的加减示范课课件ppt: 这是一份初中数学人教版八年级下册16.3 二次根式的加减示范课课件ppt,共28页。PPT课件主要包含了单×多,单×单,学习目标,二次根式的混合运算,2原式,拓展计算,解1原式,分母有理化,分母有理化的应用,链接中考等内容,欢迎下载使用。
人教版八年级下册16.3 二次根式的加减优秀ppt课件: 这是一份人教版八年级下册16.3 二次根式的加减优秀ppt课件