


























































































































































北师大版八年级下册第五章 分式与分式方程综合与测试习题ppt课件
展开
这是一份北师大版八年级下册第五章 分式与分式方程综合与测试习题ppt课件,文件包含北师版八年级下册数学第5章543分式方程的应用习题课件pptx、北师版八年级下册数学第5章集训课堂测素质分式的运算习题课件pptx、北师版八年级下册数学第5章集训课堂测素质分式方程及其应用习题课件pptx、北师版八年级下册数学第5章集训课堂测素质分式的意义和基本性质习题课件pptx、北师版八年级下册数学第5章533分式的混合运算习题课件pptx、北师版八年级下册数学第5章全章热门考点整合应用习题课件pptx、北师版八年级下册数学第5章542目标二分式方程的解的应用习题课件pptx、北师版八年级下册数学第5章集训课堂练素养2分式运算中的常用技巧与方法习题课件pptx、北师版八年级下册数学第5章集训课堂练素养1分式及其运算的九种常见题型习题课件pptx、北师版八年级下册数学第5章532目标二异分母分式的加减习题课件pptx、北师版八年级下册数学第5章511分式的定义习题课件pptx、北师版八年级下册数学第5章512目标一分式的基本性质习题课件pptx、北师版八年级下册数学第5章集训课堂练素养分式的意义及性质的四种题型习题课件pptx、北师版八年级下册数学第5章512目标二约分习题课件pptx、北师版八年级下册数学第5章531同分母分式的加减习题课件pptx、北师版八年级下册数学第5章52目标二分式的除法习题课件pptx、北师版八年级下册数学第5章532目标一通分习题课件pptx、北师版八年级下册数学第5章52目标三分式的乘方习题课件pptx、北师版八年级下册数学第5章52目标一分式的乘法习题课件pptx、北师版八年级下册数学第5章541认识分式方程习题课件pptx、北师版八年级下册数学第5章542目标一分式方程的解法习题课件pptx、北师版八年级下册数学第5章集训课堂练素养巧用分式方程的解求字母的值或取值范围习题课件pptx等22份课件配套教学资源,其中PPT共405页, 欢迎下载使用。
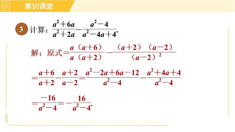
【点拨】去分母,得2x-b=3x-6,∴x=6-b.∵x≥0,∴6-b≥0,解得b≤6.又∵x-2≠0,∴x≠2,即6-b≠2,b≠4.∴b的取值范围是b≤6且b≠4.
又∵k为整数,∴k=-6,-5,-4,-3,-2,-1,1,2,3,4,5,6,7,8,9,10,11,12,13.∴符合条件的所有k值的乘积为正数.
【点拨】解方程,得ax=2.∵x,a均为整数,∴a=±1或a=±2.∵x=±1为增根,∴a≠±2.∴a=±1.
下列关于分式方程增根的说法正确的是( )A.使所有的分母的值都同时为零的解是增根B.分式方程的解为0就是增根C.使分子的值为0的解就是增根D.使最简公分母的值为0的解是增根
相关课件
这是一份初中数学北师大版八年级下册第一章 三角形的证明综合与测试习题课件ppt,文件包含全章热门考点整合应用pptx、集训课堂练素养2等腰三角形中作辅助线的八种常用方法pptx、集训课堂测素质等腰三角形的性质和判定pptx、集训课堂测素质线段垂直平分线角平分线的性质和判定pptx、集训课堂测素质直角三角形的性质和判定pptx、集训课堂练素养勾股定理解题的十种常见题型pptx、111目标二再探等腰三角形的性质pptx、141目标二角平分线的判定pptx、121目标二直角三角形边的性质勾股定理pptx、114目标一等边三角形的判定pptx、142三角形的角平分线pptx、121目标一直角三角形角的性质pptx、121目标三勾股定理的证明pptx、114目标二含30°角的直角三角形的性质pptx、131目标一线段垂直平分线的性质pptx、121目标四直角三角形的判定pptx、113等腰三角形的判定pptx、112等边三角形的性质pptx、132三角形三边的垂直平分线pptx、集训课堂练素养3“手拉手”共顶点模型的等腰三角形pptx、集训课堂练素养角平分线中常用的作辅助线的方法pptx、131目标二线段垂直平分线的判定pptx、141目标一角平分线的性质pptx、122直角三角形全等的判定pptx、111目标一重温全等三角形的判定和性质pptx、集训课堂练素养1构造含30°角的直角三角形模型的方法pptx等26份课件配套教学资源,其中PPT共475页, 欢迎下载使用。
这是一份初中数学北师大版八年级下册第三章 图形的平移与旋转综合与测试习题ppt课件,文件包含北师版八年级下册数学第3章集训课堂练素养1旋转在解几何题中的九种常用技巧习题课件pptx、北师版八年级下册数学第3章全章热门考点整合应用习题课件pptx、北师版八年级下册数学第3章集训课堂测素质图形的平移旋转及其应用习题课件pptx、北师版八年级下册数学第3章集训课堂测素质中心对称与图案设计习题课件pptx、北师版八年级下册数学第3章311平移的定义与性质习题课件pptx、北师版八年级下册数学第3章集训课堂练素养旋转的性质在解几何问题中的应用习题课件pptx、北师版八年级下册数学第3章33目标一中心对称习题课件pptx、北师版八年级下册数学第3章集训课堂练素养2图形变换的四种作图习题课件pptx、北师版八年级下册数学第3章321目标二旋转的性质习题课件pptx、北师版八年级下册数学第3章313图形在坐标平面中两次平移的坐标变化习题课件pptx、北师版八年级下册数学第3章322旋转作图习题课件pptx、北师版八年级下册数学第3章312图形在坐标平面中一次平移的坐标变化习题课件pptx、北师版八年级下册数学第3章34简单的图案设计习题课件pptx、北师版八年级下册数学第3章33目标二中心对称图形习题课件pptx、北师版八年级下册数学第3章321目标一旋转的定义习题课件pptx等15份课件配套教学资源,其中PPT共304页, 欢迎下载使用。
这是一份北师大版八年级下册第二章 一元一次不等式和一元一次不等式组综合与测试习题课件ppt,文件包含北师版八年级下册数学第2章242一元一次不等式的实际应用习题课件pptx、北师版八年级下册数学第2章252方案优化的应用习题课件pptx、北师版八年级下册数学第2章集训课堂测素质一元一次不等式组习题课件pptx、北师版八年级下册数学第2章集训课堂测素质一元一次不等式习题课件pptx、北师版八年级下册数学第2章全章热门考点整合应用习题课件pptx、北师版八年级下册数学第2章集训课堂练素养一元一次不等式组的解法技巧习题课件pptx、北师版八年级下册数学第2章读一读一元一次不等式组的应用习题课件pptx、北师版八年级下册数学第2章262一元一次不等式组解法的应用习题课件pptx、北师版八年级下册数学第2章集训课堂练素养一元一次不等式的解法的应用习题课件pptx、北师版八年级下册数学第2章23目标二不等式性质的应用习题课件pptx、北师版八年级下册数学第2章241目标二一元一次不等式解法的应用习题课件pptx、北师版八年级下册数学第2章22不等式的基本性质习题课件pptx、北师版八年级下册数学第2章21不等关系习题课件pptx、北师版八年级下册数学第2章251目标一一元一次不等式与一次函数的关系习题课件pptx、北师版八年级下册数学第2章251目标二一元一次不等式与一次函数的实际应用习题课件pptx、北师版八年级下册数学第2章261一元一次不等式组及其解法习题课件pptx、北师版八年级下册数学第2章23目标一不等式的解与解集习题课件pptx、北师版八年级下册数学第2章241目标一一元一次不等式及其解法习题课件pptx等18份课件配套教学资源,其中PPT共379页, 欢迎下载使用。