









第八章 第八节第三课时 定点、定值、存在性问题课件PPT
展开课时跟踪检测(五十七) 定点、定值、存在性问题
1.(2021·保定一模)已知椭圆C:+=1(a>b>0)的右焦点F2与抛物线y2=4x的焦点重合,且其离心率为.
(1)求椭圆C的方程.
(2)已知与坐标轴不垂直的直线l与C交于M,N两点,线段MN中点为P,问:kMN·kOP(O为坐标原点)是否为定值?请说明理由.
解:(1)∵抛物线y2=4x的焦点为(1,0),
∴椭圆C的半焦距c=1,
又椭圆的离心率e==,∴a=2,则b==.∴椭圆C的方程为+=1.
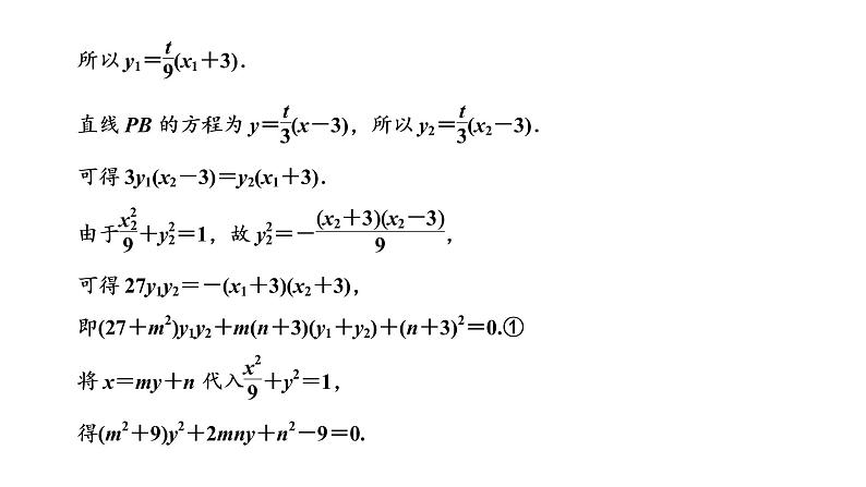
(2)由题意可知,直线l的斜率存在且不为0,设l的方程为y=kx+m,
联立得(3+4k2)x2+8kmx+4m2-12=0.
由Δ>0,可得m2<4k2+3.
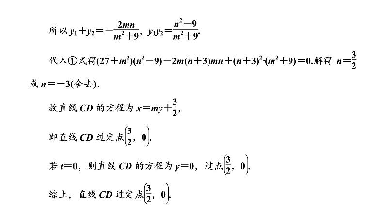
设M(x1,y1),N(x2,y2),则x1+x2=,y1+y2=k(x1+x2)+2m=,
∴P,
∴kOP==-.∴kMN·kOP=-.
∴kMN·kOP为定值,定值为-.
2.(2021·石嘴山模拟)已知F是抛物线C:y2=2px(p>0)的焦点,点M(x0,4)在抛物线上,且|MF|=x0.
(1)求抛物线C的标准方程;
(2)若A,B是抛物线C上的两个动点,且OA⊥OB,O为坐标原点,求证:直线AB过定点.
解:(1)由题意得,|MF|=x0+=x0,解得x0=2p,
因为点M(x0,4)在抛物线C上,
所以42=2px0=4p2,解得p=2,
所以抛物线C的标准方程为y2=4x.
(2)证明:设A(x1,y1),B(x2,y2),
因为OA⊥OB,所以·=0,即x1x2+y1y2=0,
因为点A,B在抛物线C上,所以y=4x1,y=4x2,
代入得+y1y2=0.
因为y1y2≠0,所以y1y2=-16.
设直线AB的方程为x=my+n,
联立得y2-4my-4n=0,
则y1y2=-4n,所以n=4,
所以直线AB的方程为x=my+4,过定点(4,0).
3.(2020·岳阳期末)在平面直角坐标系xOy中,已知椭圆E:+=1(a>b>0)经过点P(2,),离心率e=.
(1)求椭圆E的方程.
(2)过点P斜率为k1,k2的两条直线分别交椭圆E于A,B两点,且满足k1+k2=0.证明:直线AB的斜率为定值.
解:(1)依题意,e===,所以=,
又椭圆E过点P(2,),所以+=1,解得a2=8,b2=4,
所以椭圆E的方程为+=1.
(2)证明:设A(x1,y1),B(x2,y2),直线AP的方程为y=k(x-2)+,
由消去y得(2k2+1)x2-(8k2-4k)x+8k2-8k-4=0,Δ>0,
所以x1+xP=x1+2=,
所以x1=.
又因为直线PA,PB的斜率互为相反数,
所以x2=,
所以kAB==
===.
所以直线AB的斜率为定值.
4.已知点A(0,-2),椭圆E:+=1(a>b>0)的离心率为,F是椭圆E的右焦点,直线AF的斜率为,O为坐标原点.设过点A的动直线l与E相交于P,Q两点.
(1)求椭圆E的方程.
(2)是否存在直线l,使得△OPQ的面积为?若存在,求出l的方程;若不存在,请说明理由.
解:(1)设F(c,0),因为直线AF的斜率为,A(0,-2),
所以=,得c=.
又=,b2=a2-c2,解得a=2,b=1,
所以椭圆E的方程为+y2=1.
(2)假设存在直线l,使得△OPQ的面积为.
当l⊥x轴时,不合题意,故可设直线l的方程为y=kx-2,P(x1,y1),Q(x2,y2).
联立消去y得(1+4k2)x2-16kx+12=0.
由Δ=16(4k2-3)>0,解得k<-或k>,
所以x1+x2=,x1x2=.
所以|PQ|=·=·
=,
点O到直线l的距离d=,
所以S△OPQ=d|PQ|=.
设=t>0,则4k2=t2+3,
则S△OPQ==,解得t=1或t=4,
即k=±1,±,符合题意.
所以存在直线l:y=±x-2或y=±x-2,使得△OPQ的面积为.
5.双曲线C:x2-y2=2右支上的弦AB过右焦点F.
(1)求弦AB的中点M的轨迹方程;
(2)是否存在以AB为直径,且过原点O的圆?若存在,求出直线AB的斜率k的值;若不存在,请说明理由.
解:(1)设点A(x1,y1),B(x2,y2),M(x,y).
因为双曲线C:x2-y2=2的右焦点为F(2,0),
所以①当AB⊥x轴时,x=2,y=0.
②当AB与x轴不垂直时,由x-y=2,x-y=2,
两式相减得
(x1+x2)(x1-x2)-(y1+y2)(y1-y2)=0.
又x1+x2=2x,y1+y2=2y,
所以x(x1-x2)-y(y1-y2)=0.
因为kAB==kFM=,
所以x(x-2)-y·y=0,即x2-2x-y2=0.
又点(2,0)满足上式,点A,B在双曲线x2-y2=2的右支上,所以x≥2,
故所求中点M的轨迹方程为x2-2x-y2=0(x≥2).
(2)假设存在以AB为直径,且过原点O的圆.
设A(x1,y1),B(x2,y2),
当AB⊥x轴时,|AF|≠|OF|,
所以可设lAB:y=k(x-2)(k≠±1).
由已知得OA⊥OB,所以x1x2+y1y2=0.(*)
由得(1-k2)x2+4k2x-4k2-2=0,
所以x1+x2=,x1x2=.
所以y1y2=k2(x1-2)(x2-2)
=k2[x1x2-2(x1+x2)+4]=,
x1x2+y1y2=-=≠0,与(*)式矛盾,
所以不存在以AB为直径,且过原点O的圆.
2024届高考数学二轮复习专题4圆锥曲线中的定点、定值、存在性问题课件: 这是一份2024届高考数学二轮复习专题4圆锥曲线中的定点、定值、存在性问题课件,共30页。
高中数学高考第8讲 第2课时 圆锥曲线中的定值、定点与存在性问题课件PPT: 这是一份高中数学高考第8讲 第2课时 圆锥曲线中的定值、定点与存在性问题课件PPT,共34页。PPT课件主要包含了word部分,点击进入链接等内容,欢迎下载使用。
《备战2023年高考数学一轮复习》课件 第八章 第6节 第二课时 定点、定值与探索性问题: 这是一份《备战2023年高考数学一轮复习》课件 第八章 第6节 第二课时 定点、定值与探索性问题,共24页。PPT课件主要包含了考点一定点问题,解题策略,针对训练,考点二定值问题,考点三探索性问题,备选例题等内容,欢迎下载使用。