2022年高考二轮复习数学(文)专题检测15《“选填”压轴小题命题的4大区域》(教师版)
展开1.已知角α的顶点为坐标原点,始边与x轴的非负半轴重合,终边上有两点A(1,a),B(2,b),且cs 2α=eq \f(2,3),则|a-b|=( )
A.eq \f(1,5) B.eq \f(\r(5),5)
C.eq \f(2\r(5),5) D.1
解析:选B 由cs 2α=eq \f(2,3),得cs2 α-sin2α=eq \f(2,3),∴eq \f(cs2α-sin2α,cs2α+sin2α)=eq \f(2,3),
即eq \f(1-tan2α,1+tan2α)=eq \f(2,3),∴tan α=±eq \f(\r(5),5),即eq \f(b-a,2-1)=±eq \f(\r(5),5),∴|a-b|=eq \f(\r(5),5).故选B.
2.若将函数y=2sineq \b\lc\(\rc\)(\a\vs4\al\c1(x+\f(π,3)))sineq \b\lc\(\rc\)(\a\vs4\al\c1(\f(π,6)-x))的图象向左平移φ(φ>0)个单位长度,所得图象对应的函数恰为奇函数,则φ的最小值为( )
A.eq \f(π,6) B.eq \f(π,12)
C.eq \f(π,4) D.eq \f(π,3)
解析:选A 由y=2sineq \b\lc\(\rc\)(\a\vs4\al\c1(x+\f(π,3)))sineq \b\lc\(\rc\)(\a\vs4\al\c1(\f(π,6)-x)),可得y=2sineq \b\lc\(\rc\)(\a\vs4\al\c1(x+\f(π,3)))cseq \b\lc\(\rc\)(\a\vs4\al\c1(x+\f(π,3)))=sineq \b\lc\(\rc\)(\a\vs4\al\c1(2x+\f(2π,3))),该函数的图象向左平移φ个单位长度后,所得图象对应的函数解析式为g(x)=sineq \b\lc\[\rc\](\a\vs4\al\c1(2x+φ+\f(2π,3)))=sineq \b\lc\(\rc\)(\a\vs4\al\c1(2x+2φ+\f(2π,3))),因为g(x)=sineq \b\lc\(\rc\)(\a\vs4\al\c1(2x+2φ+\f(2π,3)))为奇函数,所以2φ+eq \f(2π,3)=kπ(k∈Z),φ=eq \f(kπ,2)-eq \f(π,3)(k∈Z),又φ>0,故φ的最小值为eq \f(π,6),选A.
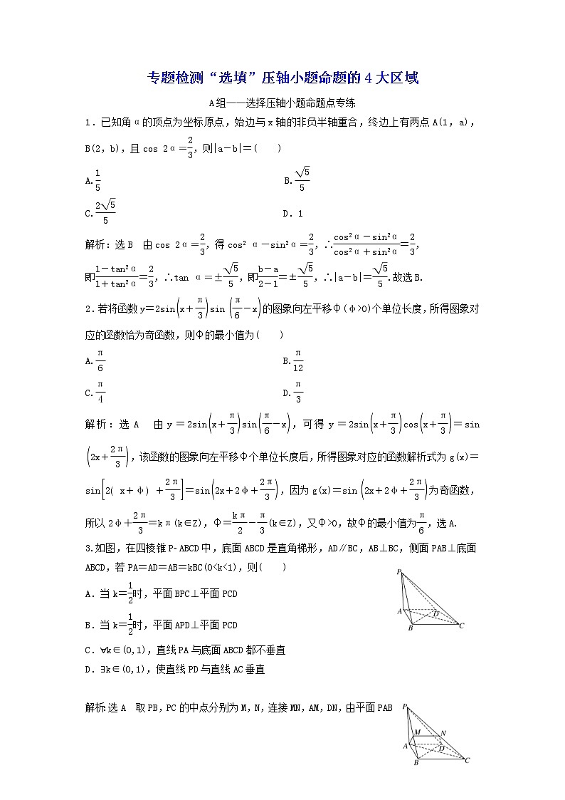
3.如图,在四棱锥PABCD中,底面ABCD是直角梯形,AD∥BC,AB⊥BC,侧面PAB⊥底面ABCD,若PA=AD=AB=kBC(0
B.当k=eq \f(1,2)时,平面APD⊥平面PCD
C.∀k∈(0,1),直线PA与底面ABCD都不垂直
D.∃k∈(0,1),使直线PD与直线AC垂直
解析:选A 取PB,PC的中点分别为M,N,连接MN,AM,DN,由平面PAB⊥平面ABCD,BC⊥AB,可知BC⊥平面PAB,∴BC⊥AM,又M为PB的中点,PA=AB,∴AM⊥PB,可得AM⊥平面PBC,而AD∥BC且AD=eq \f(1,2)BC,同时MN∥BC且MN=eq \f(1,2)BC,∴AD∥MN且AD=MN,则四边形ADNM为平行四边形,可得AM∥DN,则DN⊥平面BPC,又DN⊂平面PCD,∴平面BPC⊥平面PCD.其余选项都错误,故选A.
4.已知球的直径SC=4,A,B是该球球面上的两点,∠ASC=∠BSC=30°,则棱锥SABC的体积最大为( )
A.2 B.eq \f(8,3)
C.eq \r(3) D.2eq \r(3)
解析:选A 如图,因为球的直径为SC,且SC=4,∠ASC=∠BSC=30°,所以∠SAC=∠SBC=90°,AC=BC=2,SA=SB=2eq \r(3),所以S△SBC=eq \f(1,2)×2×2eq \r(3)=2eq \r(3),则当点A到平面SBC的距离最大时,棱锥ASBC,即SABC的体积最大,此时平面SAC⊥平面SBC,点A到平面SBC的距离为2eq \r(3)sin 30°=eq \r(3),
所以棱锥SABC的体积最大为eq \f(1,3)×2eq \r(3)×eq \r(3)=2,故选A.
5.已知圆C:(x-1)2+(y-4)2=10和点M(5,t),若圆C上存在两点A,B使得MA⊥MB,则实数t的取值范围是( )
A.[-2,6] B.[-3,5]
C.[2,6] D.[3,5]
解析:选C 法一:当MA,MB是圆C的切线时,∠AMB取得最大值.若圆C上存在两点A,B使得MA⊥MB,则MA,MB是圆C的切线时,∠AMB≥90°,∠AMC≥45°,且∠AMC<90°,如图,则|MC|=eq \r(5-12+t-42)≤eq \f(\r(10),sin 45°)=2eq \r(5),所以16+(t-4)2≤20,所以2≤t≤6.
法二:由于点M(5,t)是直线x=5上的点,圆心的纵坐标为4,所以实数t的取值范围一定关于t=4对称,故排除选项A、B.当t=2时,|CM|=2eq \r(5),若MA,MB为圆C的切线,则sin∠CMA=sin∠CMB=eq \f(\r(10),2\r(5))=eq \f(\r(2),2),所以∠CMA=∠CMB=45°,即MA⊥MB,所以t=2时符合题意,故排除选项D.故选C.
6.若点P为椭圆C:x2+2y2=3的左顶点,过原点O的动直线与椭圆C交于A,B两点.点G满足eq \(PG,\s\up7(―→))=2eq \(GO,\s\up7(―→)),则|eq \(GA,\s\up7(―→))|2+|eq \(GB,\s\up7(―→))|2的取值范围是( )
A.eq \b\lc\[\rc\](\a\vs4\al\c1(4,\f(20,3))) B.eq \b\lc\[\rc\](\a\vs4\al\c1(3,\f(17,3)))
C.eq \b\lc\[\rc\](\a\vs4\al\c1(\f(11,3),\f(20,3))) D.eq \b\lc\[\rc\](\a\vs4\al\c1(4,\f(17,3)))
解析:选C 由题意易知点P(-eq \r(3),0),设点G(x0,y0),
由eq \(PG,\s\up7(―→))=2eq \(GO,\s\up7(―→)),得(x0+eq \r(3),y0)=2(-x0,-y0),
即eq \b\lc\{\rc\ (\a\vs4\al\c1(x0+\r(3)=-2x0,,y0=-2y0,))解得eq \b\lc\{\rc\ (\a\vs4\al\c1(x0=-\f(\r(3),3),,y0=0,))故Geq \b\lc\(\rc\)(\a\vs4\al\c1(-\f(\r(3),3),0)).
设A(x1,y1),则B(-x1,-y1),
|eq \(GA,\s\up7(―→))|2+|eq \(GB,\s\up7(―→))|2=eq \b\lc\(\rc\)(\a\vs4\al\c1(x1+\f(\r(3),3)))2+yeq \\al(2,1)+eq \b\lc\(\rc\)(\a\vs4\al\c1(x1-\f(\r(3),3)))2+yeq \\al(2,1)=2xeq \\al(2,1)+2yeq \\al(2,1)+eq \f(2,3)=2xeq \\al(2,1)+3-xeq \\al(2,1)+eq \f(2,3)=xeq \\al(2,1)+eq \f(11,3),
又x1∈[-eq \r(3),eq \r(3)],故xeq \\al(2,1)∈[0,3],eq \f(11,3)≤xeq \\al(2,1)+eq \f(11,3)≤eq \f(20,3),
所以|eq \(GA,\s\up7(―→))|2+|eq \(GB,\s\up7(―→))|2的取值范围是eq \b\lc\[\rc\](\a\vs4\al\c1(\f(11,3),\f(20,3))),选C.
7.已知平面向量a,b,c满足|a|=eq \r(2),|b|=1,a·b=-1,且a-c与b-c的夹角为eq \f(π,4),则|c|的最大值为( )
A.eq \r(10) B.2eq \r(2)
C.eq \r(5) D.4
解析:选A 设eq \(OA,\s\up7(―→))=a,eq \(OB,\s\up7(―→))=b,eq \(OC,\s\up7(―→))=c.∵平面向量a,b,c满足|a|=eq \r(2),|b|=1,a·b=-1,∴cs〈a,b〉=eq \f(a·b,|a|·|b|)=eq \f(-1,\r(2)×1)=-eq \f(\r(2),2),∴a,b的夹角为eq \f(3π,4).∵a-c与b-c的夹角为eq \f(π,4),∴点C在△OAB的外接圆O′的弦AB所对的优弧上,如图所示.因此|c|的最大值为△OAB的外接圆O′的直径.∵|a-b|=eq \r(a 2-2 a·b+b 2)=eq \r(\r(2)2-2×-1+12)=eq \r(5).由正弦定理可得△OAB的外接圆的直径2R=eq \f(|a-b |,sin\f(3π,4))=eq \f(\r(5),\f(\r(2),2))=eq \r(10),则|c|的最大值为eq \r(10).
8.已知定义域为R的奇函数f(x)的图象是一条连续不断的曲线,f(1-x)=f(1+x),f(1)=a,且当0
C.-a D.2 016
解析:选A 因为f(x)是奇函数,所以f(0)=0,f(-x)=-f(x).又因为f(1-x)=f(1+x),所以f(x+2)=f(-x)=-f(x),所以f(x+4)=-f(x+2)=f(x),所以函数f(x)的周期为4.所以求f(x)在区间[2 017,2 018]上的最小值即为求f(x)在区间[1,2]上的最小值.当0
A.eq \b\lc\[\rc\)(\a\vs4\al\c1(-1,-\f(1,4))) B.eq \b\lc\(\rc\)(\a\vs4\al\c1(-1,-\f(1,4)))
C.eq \b\lc\[\rc\](\a\vs4\al\c1(-1,-\f(1,4))) D.eq \b\lc\(\rc\](\a\vs4\al\c1(-1,-\f(1,4)))
解析:选B 令f(x)=x2+(a+1)x+a+2b+1,∵关于x的方程x2+(a+1)x+a+2b+1=0的两个实根分别为x1,x2,且0
∴eq \b\lc\{\rc\ (\a\vs4\al\c1(a+2b+1>0,,2a+2b+3<0,))作出不等式组表示的平面区域如图中阴影部分所示.eq \f(b,a)表示阴影部分中的点与原点连线的斜率,由eq \b\lc\{\rc\ (\a\vs4\al\c1(a+2b+1=0,,2a+2b+3=0,))解得Peq \b\lc\(\rc\)(\a\vs4\al\c1(-2,\f(1,2))),∴-1
A.(-e,0) B.eq \b\lc\(\rc\)(\a\vs4\al\c1(-\f(1,2)e-2,0))
C.(-e2,0) D.(-2e2,0)
解析:选C 如图,因为函数y=ln x的图象与函数y=ln(-x)的图象关于y轴对称,所以问题转化为函数y=ln(-x)的图象与直线y=kx-3有两个交点的问题.首先求出函数y=ln(-x)的图象与直线y=kx-3相切时直线的斜率k1.设切点为(x0,y0),由y′=eq \f(1,x)得k1=eq \f(1,x0).
又ln(-x0)=k1x0-3,所以x0=-e-2,所以k1=eq \f(1,-e-2)= -e2.其次,结合图象知k∈(-e2,0)时,函数y=ln(-x)的图象与直线y=kx-3有两个交点,所以k的取值范围是(-e2,0).故选C.
11.在长方体ABCDA1B1C1D1中,AB=AD=4,AA1=2.过点A1作平面α与AB,AD分别交于M,N两点,若AA1与平面α所成的角为45°,则截面A1MN面积的最小值是( )
A.2eq \r(3) B.4eq \r(2)
C.4eq \r(6) D.8eq \r(2)
解析:选B 如图,过点A作AE⊥MN,连接A1E,
∵A1A⊥平面ABCD,∴A1A⊥MN,
∵AE∩A1A=A,∴MN⊥平面A1AE,∴A1E⊥MN,平面A1AE⊥平面A1MN,∴∠AA1E为AA1与平面A1MN所成的角,∴∠AA1E=45°,在Rt△A1AE中,∵AA1=2,∴AE=2,A1E=2eq \r(2),在Rt△MAN中,由射影定理得ME·EN=AE2=4,由基本不等式得MN=ME+EN≥2eq \r(ME·EN)=4,当且仅当ME=EN,即E为MN的中点时等号成立,∴截面A1MN面积的最小值为eq \f(1,2)×4×2eq \r(2)=4eq \r(2),故选B.
12.对于函数f(x)和g(x),设α∈{x|f(x)=0},β∈{x|g(x)=0},若存在α,β,使得|α-β|≤1,则称f(x)与g(x)互为“零点相邻函数”.若函数f(x)=ex-1+x-2与g(x)=x2-ax-a+3互为“零点相邻函数”,则实数a的取值范围为( )
A.[2,4] B.eq \b\lc\[\rc\](\a\vs4\al\c1(2,\f(7,3)))
C.eq \b\lc\[\rc\](\a\vs4\al\c1(\f(7,3),3)) D.[2,3]
解析:选D ∵f′(x)=ex-1+1>0,
∴f(x)=ex-1+x-2是R上的单调递增函数.
又f(1)=0,∴函数f(x)的零点为x=1,
∴α=1,∴|1-β|≤1,∴0≤β≤2,
∴函数g(x)=x2-ax-a+3在区间[0,2]上有零点.
由g(x)=0,得a=eq \f(x2+3,x+1)(0≤x≤2),
即a=eq \f(x+12-2x+1+4,x+1)=(x+1)+eq \f(4,x+1)-2(0≤x≤2),
设x+1=t(1≤t≤3),则a=t+eq \f(4,t)-2(1≤t≤3),令h(t)=t+eq \f(4,t)-2(1≤t≤3),
易知h(t)在区间[1,2)上是减函数,在区间[2,3]上是增函数,
∴2≤h(t)≤3,即2≤a≤3.
B组——填空压轴小题命题点专练
1.已知函数f(x)=x3+sin x,若α∈[0,π],β∈eq \b\lc\[\rc\](\a\vs4\al\c1(-\f(π,4),\f(π,4))),且f eq \b\lc\(\rc\)(\a\vs4\al\c1(\f(π,2)-α))=f(2β),则cseq \b\lc\(\rc\)(\a\vs4\al\c1(\f(α,2)+β))=________.
解析:由题易知函数f(x)=x3+sin x为奇函数且在eq \b\lc\[\rc\](\a\vs4\al\c1(-\f(π,2),\f(π,2)))上单调递增.
因为α∈[0,π],β∈eq \b\lc\[\rc\](\a\vs4\al\c1(-\f(π,4),\f(π,4))),
所以eq \f(π,2)-α∈eq \b\lc\[\rc\](\a\vs4\al\c1(-\f(π,2),\f(π,2))),2β∈eq \b\lc\[\rc\](\a\vs4\al\c1(-\f(π,2),\f(π,2))),
又feq \b\lc\(\rc\)(\a\vs4\al\c1(\f(π,2)-α))=f(2β),∴eq \f(π,2)-α=2β,∴eq \f(α,2)+β=eq \f(π,4),∴cseq \b\lc\(\rc\)(\a\vs4\al\c1(\f(α,2)+β))=cs eq \f(π,4)=eq \f(\r(2),2).
答案:eq \f(\r(2),2)
2.设函数f(x)=eq \b\lc\{\rc\ (\a\vs4\al\c1(\f(3,4)x+\f(5,4),x<1,,2x,x≥1,))则满足f(f(t))=2f(t)的t的取值范围是________.
解析:若f(t)≥1,显然满足f(f(t))=2f(t),则有eq \b\lc\{\rc\ (\a\vs4\al\c1(t<1,,\f(3,4)t+\f(5,4)≥1))或eq \b\lc\{\rc\ (\a\vs4\al\c1(t≥1,,2t≥1,))解得t≥-eq \f(1,3);
若f(t)<1,由f(f(t))=2f(t),得eq \f(3,4)f(t)+eq \f(5,4)=2f(t),
可知f(t)=-1,所以eq \f(3,4)t+eq \f(5,4)=-1,解得t=-3.综上所述,t=-3或t≥-eq \f(1,3).
答案:{-3}∪eq \b\lc\[\rc\)(\a\vs4\al\c1(-\f(1,3),+∞))
3.设点P,Q分别是曲线y=xe-x(e是自然对数的底数)和直线y=x+3上的动点,则P,Q两点间距离的最小值为________.
解析:y′=e-x-xe-x=(1-x)e-x,由(1-x)e-x=1,得ex=1-x,ex+x-1=0,令h(x)=ex+x-1,显然h(x)是增函数,且h(0)=0,即方程ex+x-1=0只有一个解x=0,又曲线y=xe-x在x=0处的切线方程为y=x,两平行线x-y=0和x-y+3=0之间的距离为 d=eq \f(3,\r(2))=eq \f(3\r(2),2),故P,Q两点间距离的最小值为eq \f(3\r(2),2).
答案:eq \f(3\r(2),2)
4.已知函数f(x)=(ex-e-x)x,f(lg3x)+f(lg SKIPIF 1 < 0 x)≤2f(1),则x的取值范围是______.
解析:由题意知f(-x)=f(x),所以f(x)是偶函数.
由f(lg SKIPIF 1 < 0 x)=f(-lg3x)=f(lg3x),知原不等式可化为f(lg3x)≤f(1).
又x>0时,f′(x)=ex-eq \f(1,ex)+xeq \b\lc\(\rc\)(\a\vs4\al\c1(ex+\f(1,ex)))>0,所以f(x)在(0,+∞)上单调递增,
所以|lg3x|≤1,解得eq \f(1,3)≤x≤3.
答案:eq \b\lc\[\rc\](\a\vs4\al\c1(\f(1,3),3))
5.我国古代数学专著《九章算术》对立体几何有深入的研究,从其中的一些数学用语可见,譬如“鳖臑”意指四个面都是直角三角形的三棱锥.某“鳖臑”的三视图(图中网格纸上每个小正方形的边长为1)如图所示,已知该几何体的高为2eq \r(2),则该几何体外接球的表面积为________.
解析:由该几何体的三视图还原其直观图,并放入长方体中如图中的三棱锥ABCD所示,其中AB=2eq \r(2),BC=CD=eq \r(2),易知长方体的外接球即为三棱锥ABCD的外接球,设外接球的直径为2R,所以4R2=(2eq \r(2))2+(eq \r(2))2+(eq \r(2))2=8+2+2=12,则R2=3,因此外接球的表面积S=4πR2=12π.
答案:12π
6.已知圆锥的顶点为S,母线SA,SB互相垂直,SA与圆锥底面所成角为30°.若△SAB的面积为8,则该圆锥的体积为________.
解析:在Rt△SAB中,SA=SB,S△SAB=eq \f(1,2)·SA2=8,
解得SA=4.设圆锥的底面圆心为O,底面半径为r,高为h,在Rt△SAO中,∠SAO=30°,所以r=2eq \r(3),h=2,所以圆锥的体积为eq \f(1,3)πr2·h=eq \f(1,3)π×(2eq \r(3))2×2=8π.
答案:8π
7.△ABC的内角A,B,C的对边分别为a,b,c.已知bsin C+csin B=4asin Bsin C,b2+c2-a2=8,则△ABC的面积为________.
解析:∵bsin C+csin B=4asin Bsin C,
∴由正弦定理得
sin Bsin C+sin Csin B=4sin Asin Bsin C.
又sin Bsin C>0,∴sin A=eq \f(1,2).
由余弦定理得cs A=eq \f(b2+c2-a2,2bc)=eq \f(8,2bc)=eq \f(4,bc)>0,
∴cs A=eq \f(\r(3),2),bc=eq \f(4,cs A)=eq \f(8\r(3),3),
∴S△ABC=eq \f(1,2)bcsin A=eq \f(1,2)×eq \f(8\r(3),3)×eq \f(1,2)=eq \f(2\r(3),3).
答案:eq \f(2\r(3),3)
8.已知函数f(x)=2sin x+sin 2x,则f(x)的最小值是________.
解析:f′(x)=2cs x+2cs 2x=2cs x+2(2cs2x-1)
=2(2cs2x+cs x-1)=2(2cs x-1)(cs x+1).
∵cs x+1≥0,
∴当cs x
∴当cs x=eq \f(1,2),f(x)有最小值.
又f(x)=2sin x+sin 2x=2sin x(1+cs x),
∴当sin x=-eq \f(\r(3),2)时,f(x)有最小值,
即 f(x)min=2×eq \b\lc\(\rc\)(\a\vs4\al\c1(-\f(\r(3),2)))×eq \b\lc\(\rc\)(\a\vs4\al\c1(1+\f(1,2)))=-eq \f(3\r(3),2).
答案:-eq \f(3\r(3),2)
9.我国南北朝时期的数学家祖暅提出体积的计算原理(祖暅原理):“幂势既同,则积不容异”.“势”是几何体的高,“幂”是截面面积.其意思为:如果两个等高的几何体在同高处的截面面积恒等,那么这两个几何体的体积相等.已知双曲线C的渐近线方程为y=±2x,一个焦点为(eq \r(5),0).直线y=0与y=3在第一象限内与双曲线及渐近线围成如图所示的图形OABN,则它绕y轴旋转一圈所得几何体的体积为________.
解析:由题意可得双曲线的方程为x2-eq \f(y2,4)=1,直线y=3在第一象限内与渐近线的交点N的坐标为eq \b\lc\(\rc\)(\a\vs4\al\c1(\f(3,2),3)),与双曲线在第一象限内的交点B的坐标为eq \b\lc\(\rc\)(\a\vs4\al\c1(\f(\r(13),2),3)),在所得几何体中,在高为h处作一截面,则截面面积为πeq \b\lc\(\rc\)(\a\vs4\al\c1(1+\f(h2,4)-\f(h2,4)))=π,根据祖暅原理,可得该几何体的体积与底面面积为π,高为3的圆柱的体积相同,故所得几何体的体积为3π.
答案:3π
10.如图,在平面四边形ABCD中,O为BD的中点,且OA=3,OC=5.若eq \(AB,\s\up7(―→))·eq \(AD,\s\up7(―→))=-7,则eq \(BC,\s\up7(―→))·eq \(DC,\s\up7(―→))的值是________.
解析:由eq \(AB,\s\up7(―→))·eq \(AD,\s\up7(―→))=-7得,(eq \(OB,\s\up7(―→))-eq \(OA,\s\up7(―→)))·(eq \(OD,\s\up7(―→))-eq \(OA,\s\up7(―→)))=-7,
即(eq \(OB,\s\up7(―→))-eq \(OA,\s\up7(―→)))·(eq \(OB,\s\up7(―→))+eq \(OA,\s\up7(―→)))=7,所以eq \(OB,\s\up7(―→))2=7+eq \(OA,\s\up7(―→))2=7+9=16,
所以|eq \(OB,\s\up7(―→))|=|eq \(OD,\s\up7(―→))|=4.所以eq \(BC,\s\up7(―→))·eq \(DC,\s\up7(―→))=(eq \(OC,\s\up7(―→))-eq \(OB,\s\up7(―→)))·(eq \(OC,\s\up7(―→))-eq \(OD,\s\up7(―→)))=(eq \(OC,\s\up7(―→))-eq \(OB,\s\up7(―→)))·(eq \(OC,\s\up7(―→))+eq \(OB,\s\up7(―→)))=eq \(OC,\s\up7(―→))2-eq \(OB,\s\up7(―→))2=25-16=9.
答案:9
11.已知底面是正六边形的六棱锥PABCDEF的七个顶点均在球O的表面上,底面正六边形的边长为1,若该六棱锥体积的最大值为eq \r(3),则球O的表面积为________.
解析:因为六棱锥PABCDEF的七个顶点均在球O的表面上,由对称性和底面正六边形的面积为定值知,当六棱锥PABCDEF为正六棱锥时,体积最大.设正六棱锥的高为h,则eq \f(1,3)×eq \b\lc\(\rc\)(\a\vs4\al\c1(6×\f(1,2)×1×1×sin 60°))h=eq \r(3),解得h=2.记球O的半径为R,根据平面截球面的性质,得(2-R)2+12=R2,解得R=eq \f(5,4),所以球O的表面积为4πR2=4π×eq \b\lc\(\rc\)(\a\vs4\al\c1(\f(5,4)))2=eq \f(25π,4).
答案:eq \f(25π,4)
12.在四边形ABCD中,eq \(AB,\s\up7(―→))=eq \(DC,\s\up7(―→)),P为CD上一点,已知|eq \(AB,\s\up7(―→))|=8,|eq \(AD,\s\up7(―→))|=5,eq \(AB,\s\up7(―→))与eq \(AD,\s\up7(―→))的夹角为θ,且cs θ=eq \f(11,20),eq \(CP,\s\up7(―→))=3eq \(PD,\s\up7(―→)),则eq \(AP,\s\up7(―→))·eq \(BP,\s\up7(―→))=________.
解析:∵eq \(AB,\s\up7(―→))=eq \(DC,\s\up7(―→)),eq \(CP,\s\up7(―→))=3eq \(PD,\s\up7(―→)),
∴eq \(AP,\s\up7(―→))=eq \(AD,\s\up7(―→))+eq \(DP,\s\up7(―→))=eq \(AD,\s\up7(―→))+eq \f(1,4)eq \(AB,\s\up7(―→)),eq \(BP,\s\up7(―→))=eq \(BC,\s\up7(―→))+eq \(CP,\s\up7(―→))=eq \(AD,\s\up7(―→))-eq \f(3,4)eq \(AB,\s\up7(―→)),
又|eq \(AB,\s\up7(―→))|=8,|eq \(AD,\s\up7(―→))|=5,cs θ=eq \f(11,20),∴eq \(AD,\s\up7(―→))·eq \(AB,\s\up7(―→))=8×5×eq \f(11,20)=22,
∴eq \(AP,\s\up7(―→))·eq \(BP,\s\up7(―→))=eq \b\lc\(\rc\)(\a\vs4\al\c1(eq \(AD,\s\up7(―→))+\f(1,4) eq \(AB,\s\up7(―→))))·eq \b\lc\(\rc\)(\a\vs4\al\c1(eq \(AD,\s\up7(―→))-\f(3,4) eq \(AB,\s\up7(―→))))=|eq \(AD,\s\up7(―→))|2-eq \f(1,2)eq \(AD,\s\up7(―→))·eq \(AB,\s\up7(―→))-eq \f(3,16)|eq \(AB,\s\up7(―→))|2=25-11-12=2.
答案:2
13.已知圆C1:x2+(y-2)2=4,抛物线C2:y2=2px(p>0),C1与C2相交于A,B两点,|AB|=eq \f(8\r(5),5),则抛物线C2的方程为__________.
解析:法一:由题意,知圆C1与抛物线C2的其中一个交点为原点,不妨记为B,
设A(m,n).∵|AB|=eq \f(8\r(5),5),
∴eq \b\lc\{\rc\ (\a\vs4\al\c1(\r(m2+n2)=\f(8\r(5),5),,m2+n-22=4,))解得eq \b\lc\{\rc\ (\a\vs4\al\c1(m=\f(8,5),,n=\f(16,5),))即Aeq \b\lc\(\rc\)(\a\vs4\al\c1(\f(8,5),\f(16,5))).
将A的坐标代入抛物线方程得eq \b\lc\(\rc\)(\a\vs4\al\c1(\f(16,5)))2=2p×eq \f(8,5),
解得p=eq \f(16,5),∴抛物线C2的方程为y2=eq \f(32,5)x.
法二:由题意,知圆C1与抛物线C2的其中一个交点为原点,不妨记为B,设A(m,n).
由圆C1的性质知cs∠C1BA=eq \f(\f(|AB|,2),|BC1|)=eq \f(2\r(5),5),∴sin∠C1BA=eq \f(\r(5),5),
∴n=|AB|cs∠C1BA=eq \f(16,5),
m=|AB|sin∠C1BA=eq \f(8,5),即Aeq \b\lc\(\rc\)(\a\vs4\al\c1(\f(8,5),\f(16,5))),将A的坐标代入抛物线方程得eq \b\lc\(\rc\)(\a\vs4\al\c1(\f(16,5)))2=2p×eq \f(8,5),
∴p=eq \f(16,5),∴抛物线C2的方程为y2=eq \f(32,5)x.
答案:y2=eq \f(32,5)x
14.已知等腰梯形ABCD中,AB∥CD,AB=2CD=4,∠BAD=60°,双曲线以A,B为焦点,且与线段CD(包括端点C,D)有两个交点,则该双曲线的离心率的取值范围是________.
解析:以AB所在直线为x轴,AB中点为坐标原点O,过点O且垂直于AB的直线为y轴,建立平面直角坐标系,如图所示,则A(-2,0),B(2,0),C(1,eq \r(3)).
设以A,B为焦点的双曲线方程为eq \f(x2,a2)-eq \f(y2,b2)=1(a>0,b>0),则c=2.由a2+b2=c2,得b2=4-a2,当x=1时,y2=a2+eq \f(4,a2)-5.要使双曲线与线段CD(包括端点C,D)有两个交点,则a2+eq \f(4,a2)-5≥3,解得a2≥4+2eq \r(3)或0<a2≤4-2eq \r(3),由a2≥4+2eq \r(3)得a≥eq \r(3)+1>2,舍去, ∴a2≤4-2eq \r(3),即0<a≤eq \r(3)-1.∴双曲线的离心率e=eq \f(c,a)≥eq \f(2,\r(3)-1)=eq \r(3)+1.即该双曲线的离心率的取值范围是[ eq \r(3)+1,+∞).
答案:[ eq \r(3)+1,+∞)
15.过圆Γ:x2+y2=4外一点P(2,1)作两条互相垂直的直线AB和CD分别交圆Γ于A,B和C,D点,则四边形ABCD面积的最大值为________.
解析:如图所示,S四边形ABCD=eq \f(1,2)(PA·PD-PB·PC),
取AB,CD的中点分别为E,F,连接OE,OF,OP,
则S四边形ABCD=eq \f(1,2)[(PE+AE)·(PF+DF)-(PE-AE)·(PF-DF)]=PE·DF+AE·PF,
由题意知四边形OEPF为矩形,则OE=PF,OF=PE,
结合柯西不等式有S四边形ABCD=OF·DF+AE·OE≤eq \r(OF2+OE2·DF2+AE2),
其中OF2+OE2=OP2,DF2+AE2=4-OF2+4-OE2=8-OP2,
据此可得S四边形ABCD≤eq \r(OP2·8-OP2)=eq \r(5×3)=eq \r(15),
综上,四边形ABCD面积的最大值为eq \r(15).
答案:eq \r(15)
16.已知函数f(x)=3mx-eq \f(1,x)-(3+m)ln x,若对任意的m∈(4,5),x1,x2∈[1,3],恒有(a-ln 3)m-3ln 3>|f(x1)-f(x2)|成立,则实数a的取值范围是________.
解析:∵f(x)=3mx-eq \f(1,x)-(3+m)ln x,∴f′(x)=eq \f(3x-1mx-1,x2),
当x∈[1,3],m∈(4,5)时,f′(x)>0,f(x)在[1,3]上单调递增,
∴|f(x1)-f(x2)|≤f(3)-f(1)=6m+eq \f(2,3)-(3+m)ln 3,
∴(a-ln 3)m-3ln 3>6m+eq \f(2,3)-(3+m)ln 3,∴a>6+eq \f(2,3m).
∵y=6+eq \f(2,3m)在m∈(4,5)上单调递减,∴eq \f(92,15)<6+eq \f(2,3m)
答案:eq \b\lc\[\rc\)(\a\vs4\al\c1(\f(37,6),+∞))
2024年高考数学第二轮复习 专题17 数列(选填压轴题)(学生版+教师版): 这是一份2024年高考数学第二轮复习 专题17 数列(选填压轴题)(学生版+教师版),文件包含2024年高考数学第二轮复习专题17数列选填压轴题教师版docx、2024年高考数学第二轮复习专题17数列选填压轴题学生版docx等2份试卷配套教学资源,其中试卷共58页, 欢迎下载使用。
高考数学二轮复习专题检测20 “选填”压轴小题的4大抢分策略 含解析: 这是一份高考数学二轮复习专题检测20 “选填”压轴小题的4大抢分策略 含解析,共13页。
高考数学二轮复习专题检测19 “选填”压轴小题命题的4大区域 含解析: 这是一份高考数学二轮复习专题检测19 “选填”压轴小题命题的4大区域 含解析,共12页。试卷主要包含了已知圆C,若点P为椭圆C等内容,欢迎下载使用。

