




专题10:三角恒等变式重难考点突破—2021-2022学年高一数学上学期寒假复习重难点突破(人教A版2019必修第一册)
展开1.( )
A.B.C.D.
2.( )
A.B.C.D.
3.( )
A.B.C.D.
4.( )
A.B.C.D.
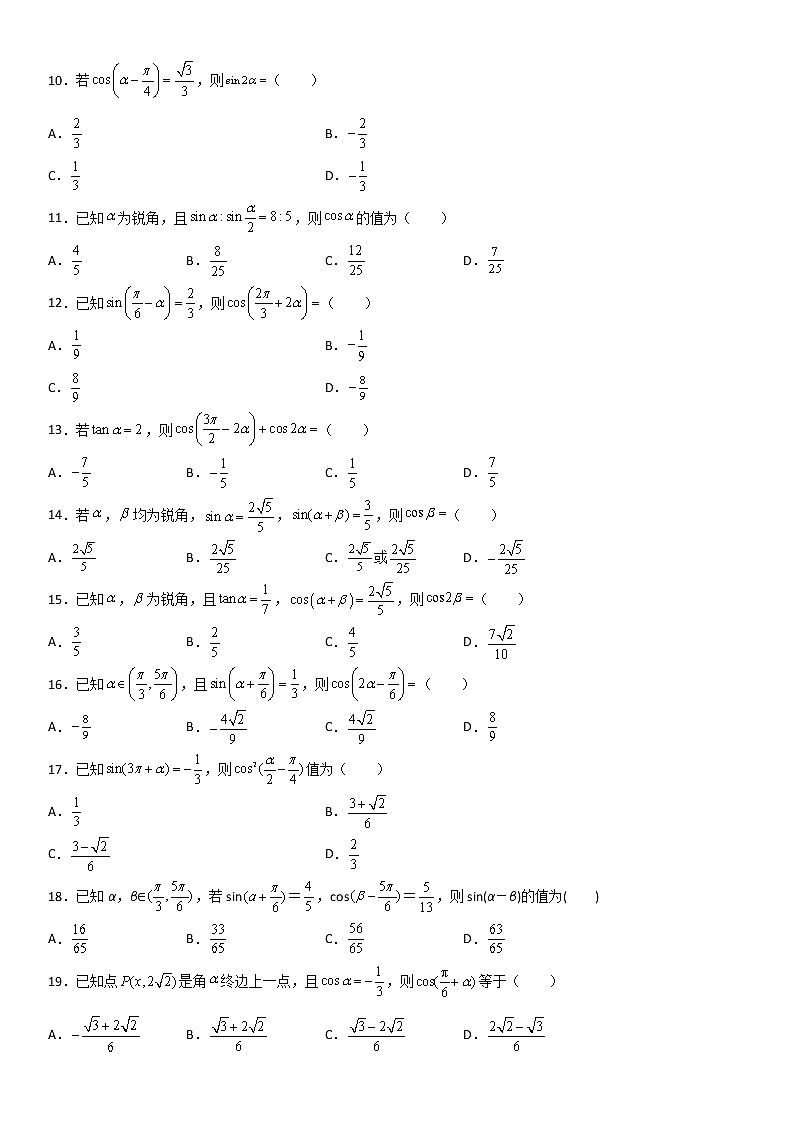
5.若,则( )
A.B.
C.D.
6.(多选题)下列各式中,值为的是( )
A.B.
C.D.
7.求值:( )
A.1B.C.D.
8.已知,若,则( )
A.B.C.D.
考点二:给值求值
9.,则的值为( )
A.B.C.D.
10.若,则( )
A.B.
C.D.
11.已知为锐角,且,则的值为( )
A.B.C.D.
12.已知,则( )
A.B.
C.D.
13.若,则( )
A.B.C.D.
14.若,均为锐角,,,则( )
A.B.C.或D.
15.已知,为锐角,且,,则( )
A.B.C.D.
16.已知,且,则( )
A.B.C.D.
17.已知,则值为( )
A.B.
C.D.
18.已知α,β∈,若sin=,cs=,则sin(α-β)的值为( )
A.B.C.D.
19.已知点是角终边上一点,且,则等于( )
A.B.C.D.
20.已知,则__________.
21.已知,,则______.
22.已知函数在时取得最大值,则___________.
23.(1)已知,求的值;
(2)已知均为锐角,求的值.
24.已知函数.
(1)求函数的最小正周期及在区间上的最大值和最小值.
(2)若,求的值.
考点三:给值求角
25.已知,,是锐角,则=( )
A.B.C.D.
26.设,则的大小是( )
A.B.C.D.或
27.已知,与是方程的两个根,则( )
A.B.C.D.或
28.已知为锐角,,,则的值为( )
A.B.C.D.
29.若,,且,,则的值是______.
30.已知,.
(1)求的值;
(2)若,且,求的值.
考点四:三角恒等变式的综合应用
31.在中,已知,那么一定是( )
A.等腰三角形B.直角三角形
C.等边三角形D.形状无法确定
32.在中,若,则一定是( )
A.锐角三角形B.直角三角形
C.等腰直角三角形D.等边三角形
33.(多选题)已知函数的最大值为1,则( )
A.
B.是函数的对称中心
C.在区间上单调递减
D.成立的的集合为
34.已知.
(1)求在上的单调递增区间;
(2)若,,求的值;
(3)若,,求的值.
专题07:函数图像的重难考点突破—2021-2022学年高一数学上学期寒假复习重难点突破(人教A版2019必修第一册): 这是一份专题07:函数图像的重难考点突破—2021-2022学年高一数学上学期寒假复习重难点突破(人教A版2019必修第一册),文件包含专题07函数图像的重难考点突破2021-2022学年高一数学上学期寒假复习重难点突破人教A版2019必修第一册解析版docx、专题07函数图像的重难考点突破2021-2022学年高一数学上学期寒假复习重难点突破人教A版2019必修第一册原卷版docx等2份试卷配套教学资源,其中试卷共31页, 欢迎下载使用。
专题06:指对幂函数重难考点突破—2021-2022学年高一数学上学期寒假复习重难点突破(人教A版2019必修第一册): 这是一份专题06:指对幂函数重难考点突破—2021-2022学年高一数学上学期寒假复习重难点突破(人教A版2019必修第一册),文件包含专题06指对幂函数重难考点突破2021-2022学年高一数学上学期寒假复习重难点突破人教A版2019必修第一册解析版docx、专题06指对幂函数重难考点突破2021-2022学年高一数学上学期寒假复习重难点突破人教A版2019必修第一册原卷版docx等2份试卷配套教学资源,其中试卷共27页, 欢迎下载使用。
专题11:三角函数的变换及其应用重难点突破—2021-2022学年高一数学上学期寒假复习重难点突破(人教A版2019必修第一册): 这是一份专题11:三角函数的变换及其应用重难点突破—2021-2022学年高一数学上学期寒假复习重难点突破(人教A版2019必修第一册),文件包含专题11三角函数的变换及其应用重难点突破2021-2022学年高一数学上学期寒假复习重难点突破人教A版2019必修第一册解析版docx、专题11三角函数的变换及其应用重难考点突破2021-2022学年高一数学上学期寒假复习重难点突破人教A版2019必修第一册原卷版docx等2份试卷配套教学资源,其中试卷共29页, 欢迎下载使用。