高一数学寒假作业同步练习题三角函数的图象和性质含解析
展开三角函数的图象和性质
1.已知函数,其中,,且满足①;②;③在区间上单调,则函数的最小正周期及在区间的单调性分别为( )
A.,单调递减 B.,单调递增
C.,单调递减 D.,单调递增
【答案】A
【解析】由,得,.
由,得,,
所以,.
由在区间上单调得,即,所以,因此或;又.
当时,最小正周期为且,,则,;
所以,此时满足在区间上单调递减;
当时,最小正周期为且,,则,,
所以,此时不满足在区间上单调.
故BCD都错,A正确.故选:A.
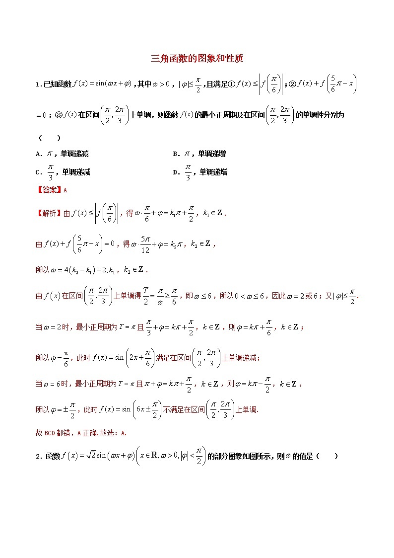
2.函数的部分图象如图所示,则的值是( )
A.4 B.2 C. D.
【答案】B
【解析】由图象可得.故可解得:.
故有:.故选:B
3.设函数在的图象大致如图,则( )
A. B. C. D.
【答案】B
【解析】由题得为函数的一个上升零点,所以
所以,
又因为函数的最小正周期,
所以,
所以,
所以.故选:B
4.已知函数在同一周期内有最高点和最低点,则此函数在的值域为( )
A. B.
C. D.
【答案】A
【解析】由题意知,,
解得A=2,b=﹣1;
又,且,
∴解得ω=2,φ;
∴函数f(x)=2sin(2x)﹣1,又,所以,所以,所以,故选:A
5.函数的最小正周期为( )
A. B. C. D.
【答案】D
【解析】因为,所以最小正周期为.故选:D.
6.下列函数中,最小正周期为π的是( )
A. B. C. D.
【答案】A
【解析】的最小正周期,A正确;
的最小正周期,B不正确;
的最小正周期,C不正确;
的最小正周期,D不正确,故选:A
7.已知函数,则函数的值域为( )
A. B. C. D.
【答案】B
【解析】当时,,则,所以,
故,故选:B.
8.函数的部分图象如图所示,则的单调递增区间为_________.
【答案】
【解析】由题意可得函数的周期为,所以 =2,解得,所以,
再根据函数的图象过点,可得,解得,所以,
令,解得 ,
所以的单调递增区间为,.
故答案为:,.
9.下列函数中,以为周期且在区间单调递增的是______.
①;②;③;④
【答案】①
【解析】周期是,时,是增函数,①满足题意;
周期是,时,是减函数,②不满足题意;
,周期是,③不满足题意;
不是周期函数,④不满足题意.故答案为:①.
10.设函数的部分图象如图.若对任意的恒成立,则实数t的最小正值为____.
【答案】
【解析】由图象知:,即,
则,
由“五点法”得,
所以,即,
因为,
所以,
所以,
又因为,
所以函数图象的对称轴为直线x=t,
则,
所以,
解得,
当k=0时,t取到了最小正值为.
故答案为:.
11.关于有以下命题:①若,则;②图象与图象相同;③在区间是减函数;④图象关于点对称.其中正确的命题序号是( )
A.②③④ B.①④ C.①②③ D.②③
【答案】A
【解析】对于①,因为函数的最小正周期,且,
所以,故①错误;
对于②,,则,
所以图象与图象相同,故②正确;
对于③,当时,,
所以在区间上是减函数,故③正确;
对于④,当时,,所以,故④正确.故选:A.
12.已知点在函数(且,)的图象上,直线是函数的图象的一条对称轴.若在区间内单调,则( )
A. B. C. D.
【答案】B
【解析】由题意得,,得,得,又因为在区间内单调,所以,得,得.所以.又因为,所以或3.
当时,,得,又,所以,此时直线的函数的图象的一条对称轴,且在区间内单调.所以.
当时,,得,又,所以,
此时,所以直线不是函数的图象的一条对称轴.所以,.故选:B.
13.某学生对函数进行研究后,得出如下四个结论:
(1)函数在上单调递增,在上单调递减;
(2)存在常数,使对一切实数均成立;
(3)点是函数图像的一个对称中心;
(4)函数图像关于直线对称;
其中正确的是______(把你认为正确命题的序号都填上)
【答案】(2)
【解析】定义域为R,,所以是奇函数,在关于原点对称的区间上单调性相同,所以(1)错误;
,令,成立,所以(2)正确;
,
所以点不是函数图像的一个对称中心,所以(3)不正确;
,,
函数图像不关于直线对称,所以(4)不正确.
故答案为:(2)
14.已知向量=(cosx,-1),=(sinx,cos2x),函数.
(1)求函数的单调递增区间;
(2)求函数在区间[,0]上的最大值和最小值,并求出相应的x的值.
【答案】(1);(2)时,最大值为0;时, 最小值为.
【解析】 (1)
由,
解得:,
所以函数的单调递增区间为:.
(2)因为,所以,
所以,即,
当时,有最大值为0;当时, 有最小值为.
高一数学寒假作业同步练习题圆与方程含解析: 这是一份高一数学寒假作业同步练习题圆与方程含解析,共8页。试卷主要包含了已知实数、满足,的取值范围是,已知过点的直线l与圆C,已知点在圆上,则的最小值为,两圆与的公共弦长为______等内容,欢迎下载使用。
高一数学寒假作业同步练习题指数函数含解析: 这是一份高一数学寒假作业同步练习题指数函数含解析,共7页。试卷主要包含了计算得,如果指数函数,已知,,,则,,的大小关系为,定义运算,若函数,则的值域是等内容,欢迎下载使用。
高一数学寒假作业同步练习题对数函数含解析: 这是一份高一数学寒假作业同步练习题对数函数含解析,共7页。试卷主要包含了若,则的值为,已知,则整数n的值为,函数的定义域为,若函数,则的单调递增区间为等内容,欢迎下载使用。

