







2020-2021学年第十六章 二次根式16.1 二次根式教案配套课件ppt
展开
这是一份2020-2021学年第十六章 二次根式16.1 二次根式教案配套课件ppt,共43页。PPT课件主要包含了学习目标,合作探究,1填空,典例精析1,巩固新知,典例精析2,新知二,平方运算,算术平方根,aa≥0等内容,欢迎下载使用。
1.经历探索性质 = a(a≥0)和 = a(a≥0)的过程,并理解其意义,体验归纳、猜想的思想方法。2.会运用二次根式的两个性质进行化简计算。3.了解代数式的概念,进一步体会代数式在表示数量关系方面的作用。
(2)什么是一个数的算术平方根?如何表示?
(1)什么叫做一个数的平方根?如何表示?
一般地,若一个数的平方等于a,则这个数就叫做a的平方根.
若一个正数的平方等于a,则这个数就叫做a的算术平方根.
同理, 分别是 的算术平方根. 因此 , ,
即一个非负数的算术平方根的平方等于它本身.
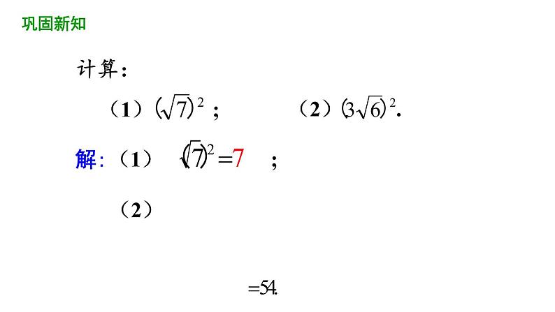
例1 计算:
积的乘方:(ab)2=a2b2
在实数范围内分解因式:
(1)x2-11; (2)x4-14x2+49.
解:(1)x2-11 =(x+ )(x- );
(2) x4-14x2+49 =(x2-7)2 =(x- )2(x+ )2.
2 0.1 0 ...
2 ...
观察两者有什么关系?
填一填:
=a (a≥0).
-2 -0.1 ...
【猜一猜】当a<0时, =
即任意一个数的平方的算术平方根等于它本身的绝对值.
警示: 而3.14<π,要注意a的正负性.
【讨论】(1)在 中,可否去掉“a≥0”?如果去掉“a≥0”,结论将会发生怎样的变化?
(2)第二小题中的 能否直接使用性质
进行化简?
请同学们快速分辨下列各题的对错.
表示一个非负数a的算术平方根的平方
表示一个实数a的平方的算术平方根
解:由数轴可知a<0,b>0,a-b<0,∴原式=|a|-|b|+|a-b|=-a-b-(a-b)=-2a.
例2 实数a、b在数轴上的对应点如图所示,请你化简:
(1)含有数或表示数的字母;(2)用基本运算符号连接数或表示数的字母.
新知三 代数式的定义
用基本运算符号(基本运算包括加、减、乘、除、乘方和开方)把 或 连接起来的式子,我们称这样的式子为代数式.
【想一想】到现在为止,初中阶段所学的代数式主要有哪几类?
利用代数式的定义判断代数式
例1 下列式子:(1)x; (2)a-b; (3) ;(4) ;(5)m=1+n;(6)2x>1;(7)-2.其中是代数式的有( )A.4个 B.5个 C.6个 D.7个
下列式子是代数式的有 ( )
①a2+b2 ; ② ; ③13; ④x=2; ⑤3×(4 -5);⑥x-1≤0; ⑦10x+5y=15 ; ⑧
A.3个 B.4个 C.5个 D.6个
列代数式的要点:①要抓住关键词语,明确它们的意义以及它们之间的关系,如和、差、积、商及大、小、多、少、倍、分、倒数、相反数等;②理清语句层次明确运算顺序;③牢记一些概念和公式.
如图,是一个圆形挂钟,正面面积为S,用代数式表示出钟的半径为__________.
相关课件
这是一份初中数学人教版八年级下册第十六章 二次根式16.1 二次根式教课内容课件ppt,文件包含第2课时二次根式的性质pptx、去根号法则mp4等2份课件配套教学资源,其中PPT共21页, 欢迎下载使用。
这是一份人教版八年级下册16.1 二次根式图片课件ppt,共26页。PPT课件主要包含了第十六章二次根式,1二次根式,二次根式的双重非负性,二次根式,算术平方根,平方运算,aa≥0,x-2≥0,x≥2,例2化简等内容,欢迎下载使用。
这是一份初中数学人教版八年级下册16.1 二次根式优秀ppt课件