还剩3页未读,
继续阅读
高中数学人教版新课标A选修1-22.2直接证明与间接证明精练
展开
这是一份高中数学人教版新课标A选修1-22.2直接证明与间接证明精练,共6页。
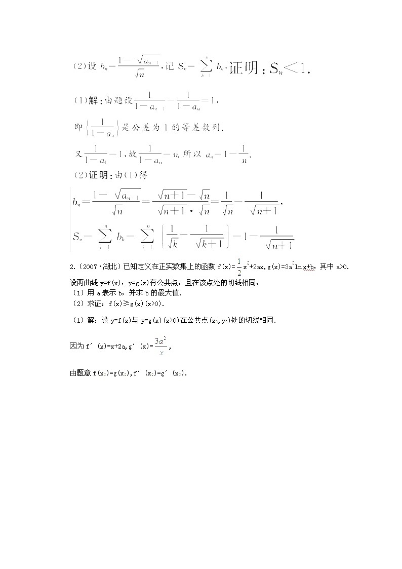
1.(2011·全国)设数列{an}满足a1=0且=1.(1)求{an}的通项公式;1.设a=lg 2+lg 5,b=ex(x<0),则a与b的大小关系为 ( )A.a>b B.a<b C.a=b D.a≤b2.设a、b、c均为正实数,则三个数 ( )A.都大于2B.都不大于2C.至少有一个不大于2D.至少有一个不小于25.(2010·宁波质检)已知二次函数f(x) =ax2+bx+c(a>0)的图象与x轴有两个不同的公共点,若f(c)=0且0<x<c时,f(x)>0.(1)试比较与c的大小.(2)证明:-2<b<-1.
相关试卷
数学4.1 圆的方程练习题:
这是一份数学4.1 圆的方程练习题,共4页。试卷主要包含了圆的圆心坐标是等内容,欢迎下载使用。
高中数学人教版新课标A必修22.3 直线、平面垂直的判定及其性质同步测试题:
这是一份高中数学人教版新课标A必修22.3 直线、平面垂直的判定及其性质同步测试题,共6页。
人教版新课标A必修2第二章 点、直线、平面之间的位置关系2.2 直线、平面平行的判定及其性质复习练习题:
这是一份人教版新课标A必修2第二章 点、直线、平面之间的位置关系2.2 直线、平面平行的判定及其性质复习练习题,共4页。试卷主要包含了下列命题中错误的是等内容,欢迎下载使用。

