还剩3页未读,
继续阅读
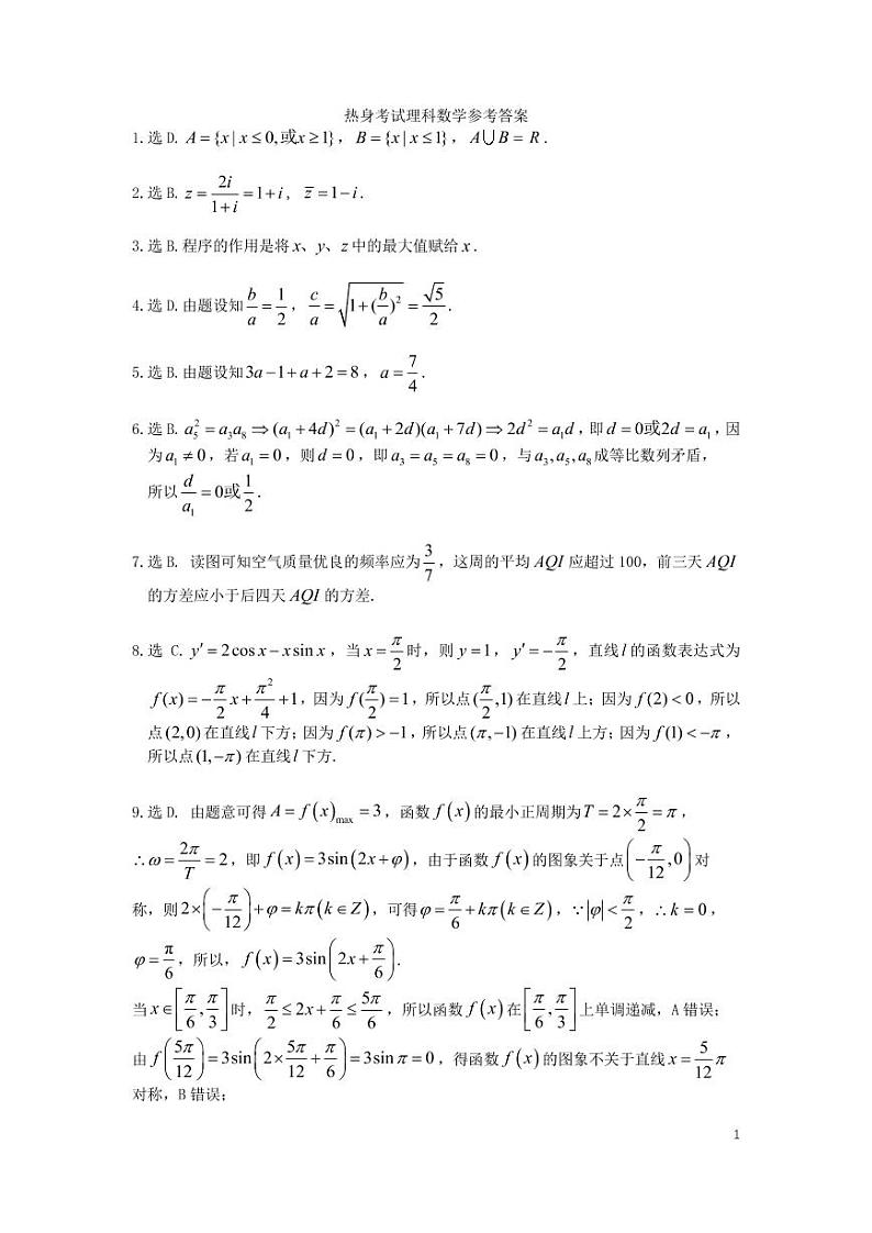
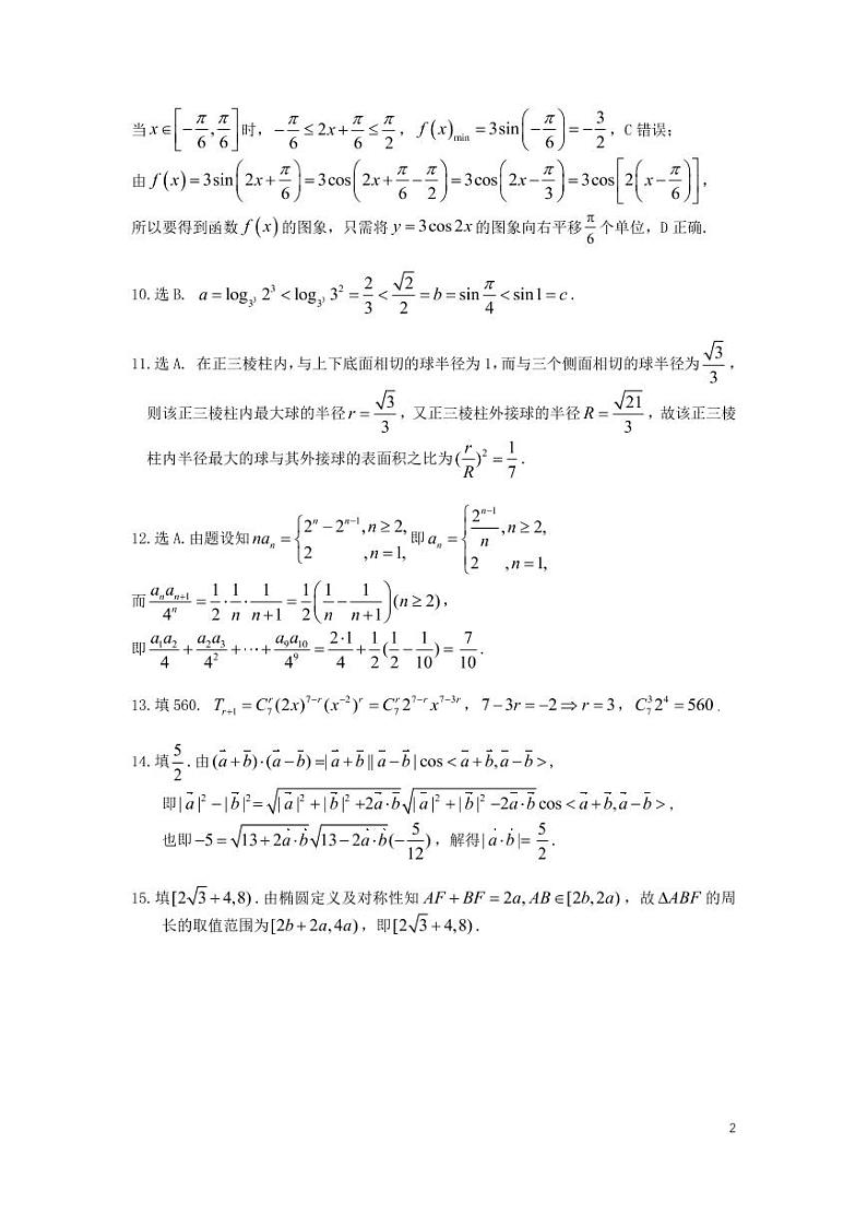
成都七中21届高三理科数学热身考试试卷答案
展开
这是一份成都七中21届高三理科数学热身考试试卷答案,共6页。
相关试卷
成都七中21届高三理科数学10月阶段性考试试卷答案:
这是一份成都七中21届高三理科数学10月阶段性考试试卷答案,共8页。
成都七中2022届高三上学期入学考试理科数学试卷(及答案):
这是一份成都七中2022届高三上学期入学考试理科数学试卷(及答案),共8页。
四川省成都市第七中学2023届高三下学期热身考试理科数学答案和解析:
这是一份四川省成都市第七中学2023届高三下学期热身考试理科数学答案和解析,共6页。

