数学七年级上册3.2 代数式的值背景图ppt课件
展开
这是一份数学七年级上册3.2 代数式的值背景图ppt课件,
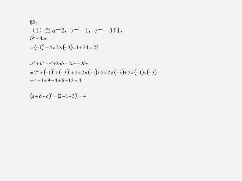
课题:3.2 代数式的值导入新课 有四个同学在做一个传数游戏.第一个同学任意报一个数给第二个同学,第二个同学把这个数加1传给第三个同学,第三个同学再把听到的数平方后传给第四个同学,第四个同学把听到的数减去1报出答案.若第一个同学报给第二个同学的数是5,而第四个同学报出的答案是35.你说结果对吗?一般地,用数值代替代数式里的字母,按照代数式中的运算关系计算得出的结果,叫做代数式的值。 例1 当a=2,b=-1,c=-3时,求下列各代数式的值:例2 某企业去年的年产值为a亿元,今年比去年增长了10%.如果明年还能按这个速度增长,请你预测一下,该企业明年的年产值将能达到多少亿元?如果去年的年产值是2亿元,那么预计明年的年产值是多少亿元?解: 由题意可得,今年的年产值为a·(1+10%)亿元,于是明年的年产值为:a·(1+10%)·(1+10%)=1.21a(亿元).若去年的年产值为2亿元,则明年的年产值为:1.21a=1.21×2=2.42(亿元).答:该企业明年的年产值将能达到1.21a亿元.由去年的年产值是2亿元,可以预计明年的年产值是2.42亿元.巩固新知 1. 按右边图示的程序计算,若开始输入的n值为2,则最后输出的结果是_________.2. 根据下列各组x、y的值,分别求出代数式x2+2xy+y2与x2-2xy+y2的值:(1)x=2,y=3;(2)x=-2,y=-43. 若梯形的上底为a,下底为b,高为h,则梯形面积为____________;当a=2cm,b=4cm,h=3cm时,梯形的面积为__________.4. 华氏温度(°F )与摄氏温度(℃)之间的转换关系为:华氏温度=摄氏温度×+32.即:当摄氏温度为x℃时,华氏温度为___________°F.若摄氏温度为20℃,则华氏温度为___________°F.6. A、B两地相距s千米,甲、乙两人分别以a千米/时、b千米/时(a>b)的速度从A到B.如果甲先走1小时,试用代数式表示甲比乙早到的时间.再求:当s=120,a=15,b=12时,这一代数式的值.课堂小结 梳理新知 本节课主要内容是求代数式的值的方法,先代入,后计算求值。
相关课件
这是一份七年级上册3.2 代数式的值背景图课件ppt,文件包含32代数式的值pptx、华东师大版中学数学七年级上第3章整式的加减32代数式的值教学详案docx等2份课件配套教学资源,其中PPT共25页, 欢迎下载使用。
这是一份数学北师大版4.3 角教课ppt课件,
这是一份数学七年级上册3.2 代数式的值示范课课件ppt,

