还剩6页未读,
继续阅读
数学8.2 幂的乘方与积的乘方教案配套课件ppt
展开
这是一份数学8.2 幂的乘方与积的乘方教案配套课件ppt,共11页。PPT课件主要包含了幂的乘方,思考怎样计算,也就是,试计算,幂的乘方法则等内容,欢迎下载使用。
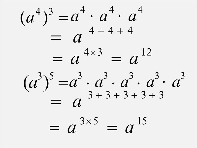
其中m , n都是正整数
想一想:幂的乘方,底数变不变,指数应怎样计算?
②
想一想:同底数幂的乘法法则与幂的乘方法则有什么相同点和不同点?
注意同底数幂的乘法法则与幂的乘方的区别.
相关课件
2020-2021学年8.2 幂的乘方与积的乘方获奖课件ppt:
这是一份2020-2021学年8.2 幂的乘方与积的乘方获奖课件ppt,文件包含《82幂的乘方与积的乘方第2课时》冀教参考课件pptx、《82幂的乘方与积的乘方第2课时》冀教参考教案docx等2份课件配套教学资源,其中PPT共19页, 欢迎下载使用。
2021学年8.2 幂的乘方与积的乘方集体备课课件ppt:
这是一份2021学年8.2 幂的乘方与积的乘方集体备课课件ppt,共1页。
初中数学第八章 整式乘法8.2 幂的乘方与积的乘方说课课件ppt:
这是一份初中数学第八章 整式乘法8.2 幂的乘方与积的乘方说课课件ppt,共12页。PPT课件主要包含了---积的乘方,探索交流,anbn,an·bn,积的乘方法则等内容,欢迎下载使用。

