






初中苏科版12.2 二次根式的乘除多媒体教学ppt课件
展开
这是一份初中苏科版12.2 二次根式的乘除多媒体教学ppt课件,共15页。PPT课件主要包含了做一做,例题1计算,二次根式的乘法,反过来,例题2化简,化简二次根式的步骤,例题3化简,例题4计算,反过来就是,拓展提高等内容,欢迎下载使用。
1、什么是二次根式?下列式子哪些是二次根式,哪些不是二次根式?
2、二次根式有哪些性质?计算下列各题:
预习题:(试计算下列各式)
比较上述各式,你有什么发现?
两个非负数的算术平方根的积等于它们积的算术平方根
利用这个等式可以化简一些根式。
试一试:
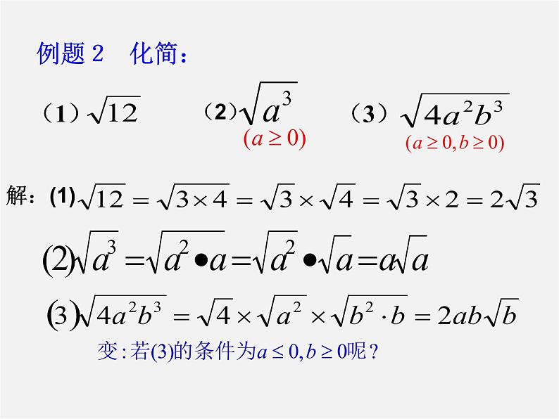
1.将被开方数尽可能分解成几个平方数.
注意:运算的结果应该是最简二次根式或整式。
注意:被开方数中不含能开得尽方的数或因式
注意:将被开方数尽可能分解成几个平方数
例5 把下列各式中根号外的正因式移进根号内
根号外的负因式不能移进根号内,在移进根号内之前一定要先判断是否为非负因式.
则x的取值范围是_______
相关课件
这是一份数学苏科版12.2 二次根式的乘除教学演示ppt课件,共10页。PPT课件主要包含了二次根式的乘法法则,二次根式的除法法则,考考你,例化简,本题加8分,化简下列各式,课堂检测,综合练习等内容,欢迎下载使用。
这是一份苏科版第12章 二次根式12.2 二次根式的乘除课文内容课件ppt,共11页。PPT课件主要包含了反过来得,尝试化简,x≥0y≥0,例1化简,a≥0b≥0,例2计算,例3计算等内容,欢迎下载使用。
这是一份初中数学苏科版八年级下册第12章 二次根式12.2 二次根式的乘除集体备课ppt课件,共13页。PPT课件主要包含了想一想,化去根号中的分母,a>0b≥0,当a≥0b>0时,化去分母中的根号,最简二次根式等内容,欢迎下载使用。
