






还剩8页未读,
继续阅读
初中浙教版1.2 二次根式的性质集体备课课件ppt
展开
这是一份初中浙教版1.2 二次根式的性质集体备课课件ppt,共15页。PPT课件主要包含了二次根式的定义,二次根式的性质,复习回忆,a≥0,例2计算,做教材P4的第一题,a<0,例3化简,x﹤y,a取任何实数等内容,欢迎下载使用。
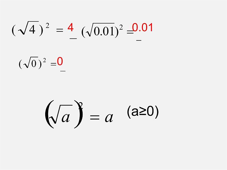
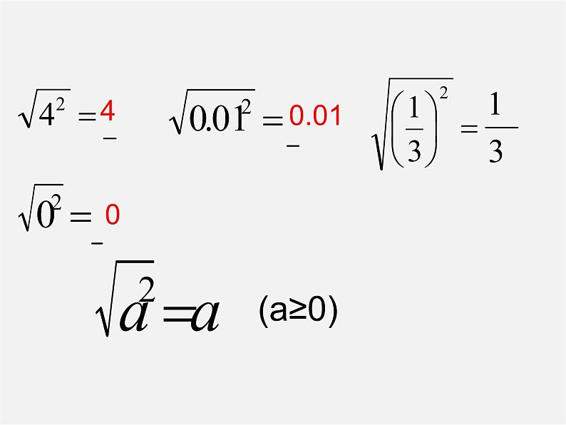
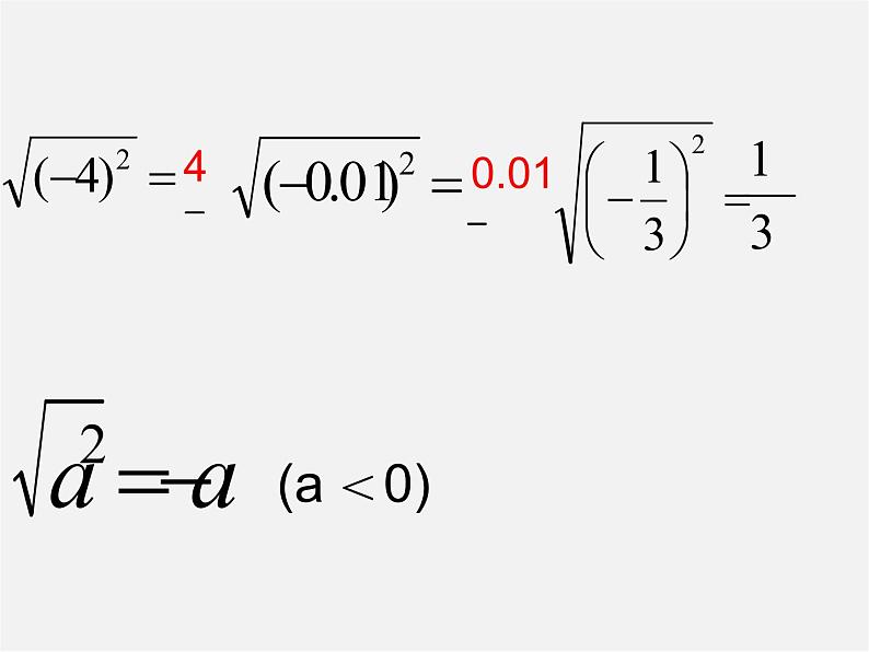
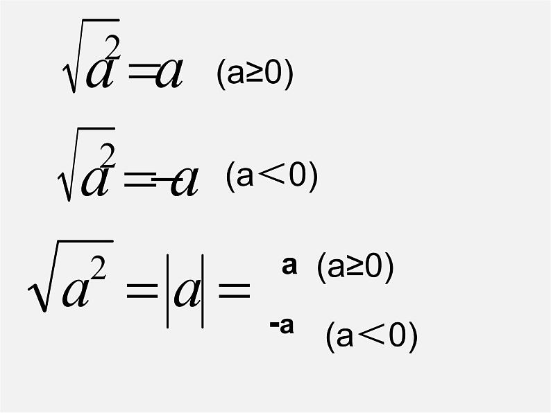
2.从取值范围来看,
相关课件
初中数学浙教版八年级下册1.2 二次根式的性质评课课件ppt:
这是一份初中数学浙教版八年级下册1.2 二次根式的性质评课课件ppt,共15页。PPT课件主要包含了二次根式有哪些性质,做一做,慧眼识真,例1化简,例2化简,练一练1化简,化简下列两组式子等内容,欢迎下载使用。
初中浙教版1.2 二次根式的性质授课ppt课件:
这是一份初中浙教版1.2 二次根式的性质授课ppt课件,共1页。
数学八年级下册1.2 二次根式的性质课文ppt课件:
这是一份数学八年级下册1.2 二次根式的性质课文ppt课件,共12页。PPT课件主要包含了动动脑筋,引申与提高等内容,欢迎下载使用。