所属成套资源:河北省唐山市唐山市第一中学-2022学年高二上学期12月月考试卷及答案
河北省唐山市唐山市第一中学2021-2022学年高二上学期12月月考数学PDF含答案
展开
这是一份河北省唐山市唐山市第一中学2021-2022学年高二上学期12月月考数学PDF含答案,文件包含12月月考答案docx、12月月考试卷docx、12月月考答案pdf、12月月考试卷pdf、高二年级2021年12月数学考试-答题卡pdf等5份试卷配套教学资源,其中试卷共20页, 欢迎下载使用。
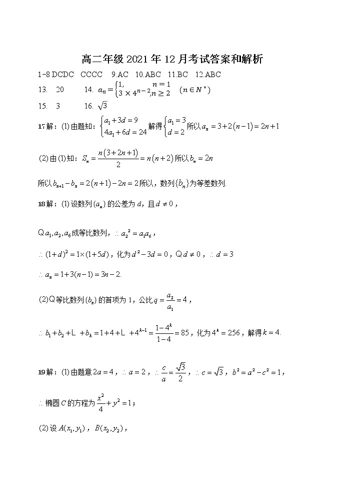
高二年级2021年12月考试答案和解析1-8 DCDC CCCC 9.AC 10.ABC 11.BC 12.ABC13. 20 14. 15. 3 16. 17解:由题知:解得所以
由知:所以
所以所以,数列为等差数列.18解:设数列的公差为d,且,成等比数列,,
,化为,,
等比数列的首项为1,公比,
,化为,解得19解:由题意,,,,,
椭圆C的方程为;
设,,
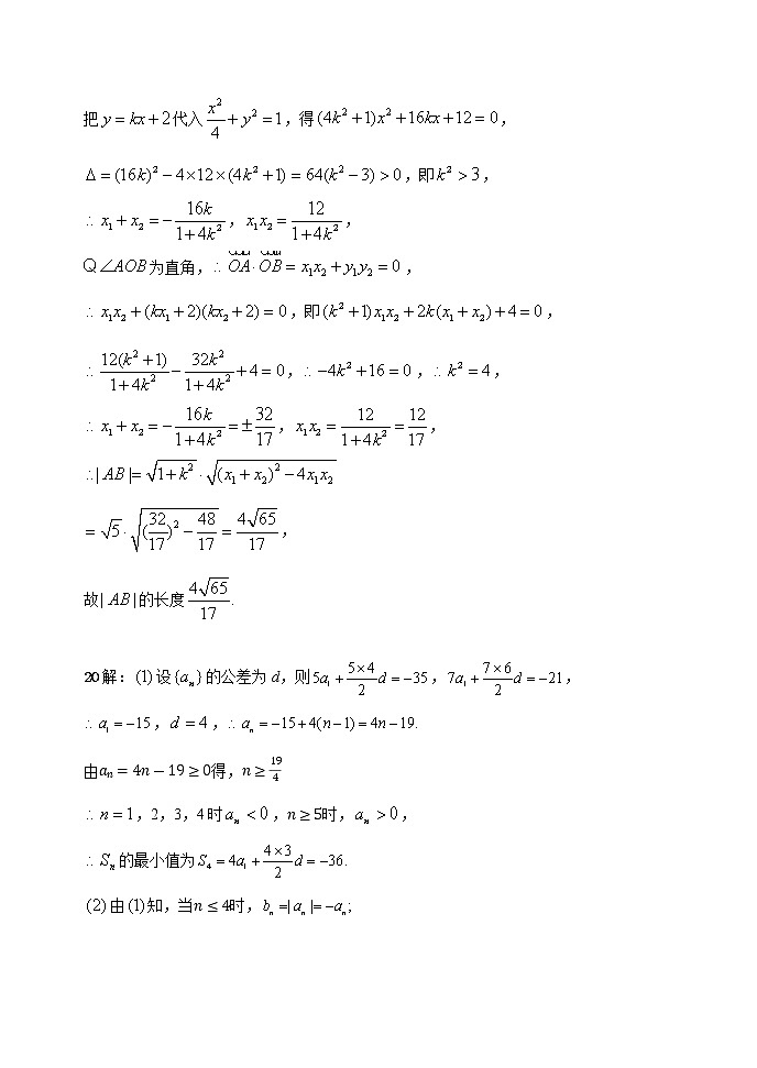
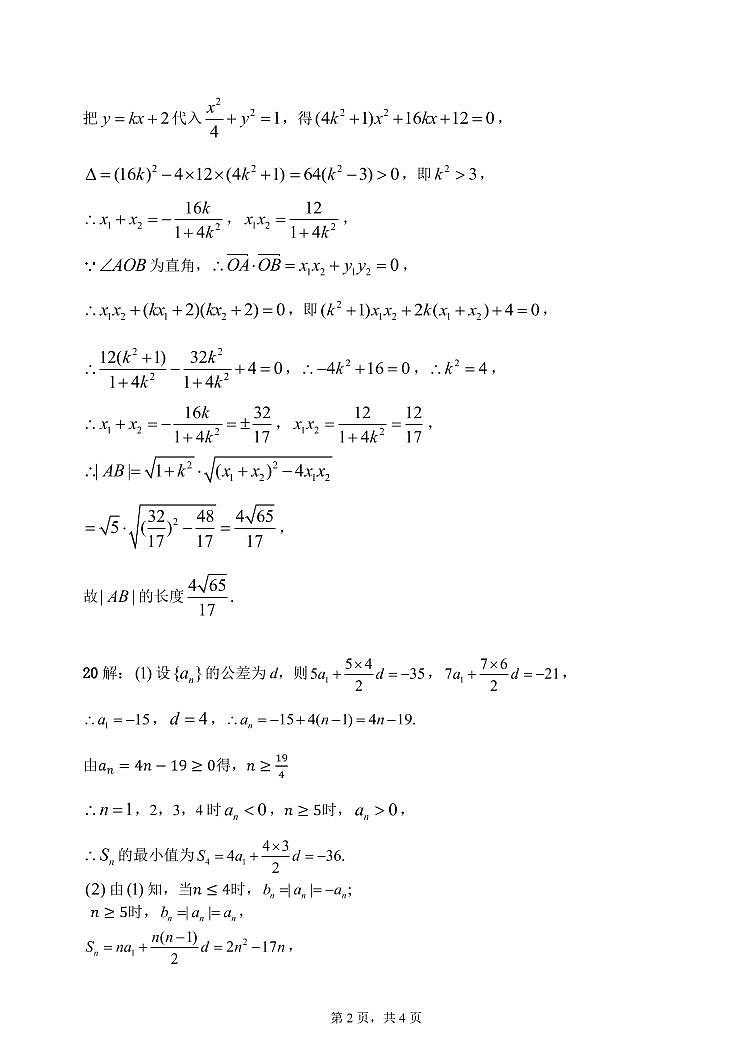
把代入,得,
,即,
,,
为直角,,
,即,
,,,
,,
,
故的长度 20解:设的公差为d,则,,
,,
由得,
,2,3,4时,时,,
的最小值为
由知,当时, 时,,
,
当时,
当时,,21解:由题意得,表明动点M到定点和到直线的距离相等,根据抛物线定义可知,动点M的轨迹E的方程为;由题得,,又点A关于x轴的对称点在直线BF上,则,设,,联立消去y,得,,,由,得,即,,即,将,代人,得,即此时满足,直线l的方程为,过定点22解:由,得,
数列是以3为公比,以为首项的等比数列,
从而
由知,
,
,
两式相减得,
若n为偶数,则,
,
若n为奇数,则,,
,即,
相关试卷
这是一份河北省唐山市2022~2023高二上学期数学期末试卷及答案,共4页。
这是一份河北省唐山市第一中学2022-2023学年高一上学期10月月考数学试卷,共9页。
这是一份2022-2023学年河北省唐山市第一中学高二上学期期末数学试题(解析版),共20页。试卷主要包含了单选题,多选题,填空题,解答题等内容,欢迎下载使用。

