- 高中数学一轮复习——第2讲 二次函数(讲义) 试卷 2 次下载
- 高中数学一轮复习——第3讲 指对数函数(讲义) 试卷 4 次下载
- 高中数学一轮复习——第4讲 幂函数(讲义) 试卷 4 次下载
- 高中数学一轮复习——第5讲 复合函数(讲义) 试卷 4 次下载
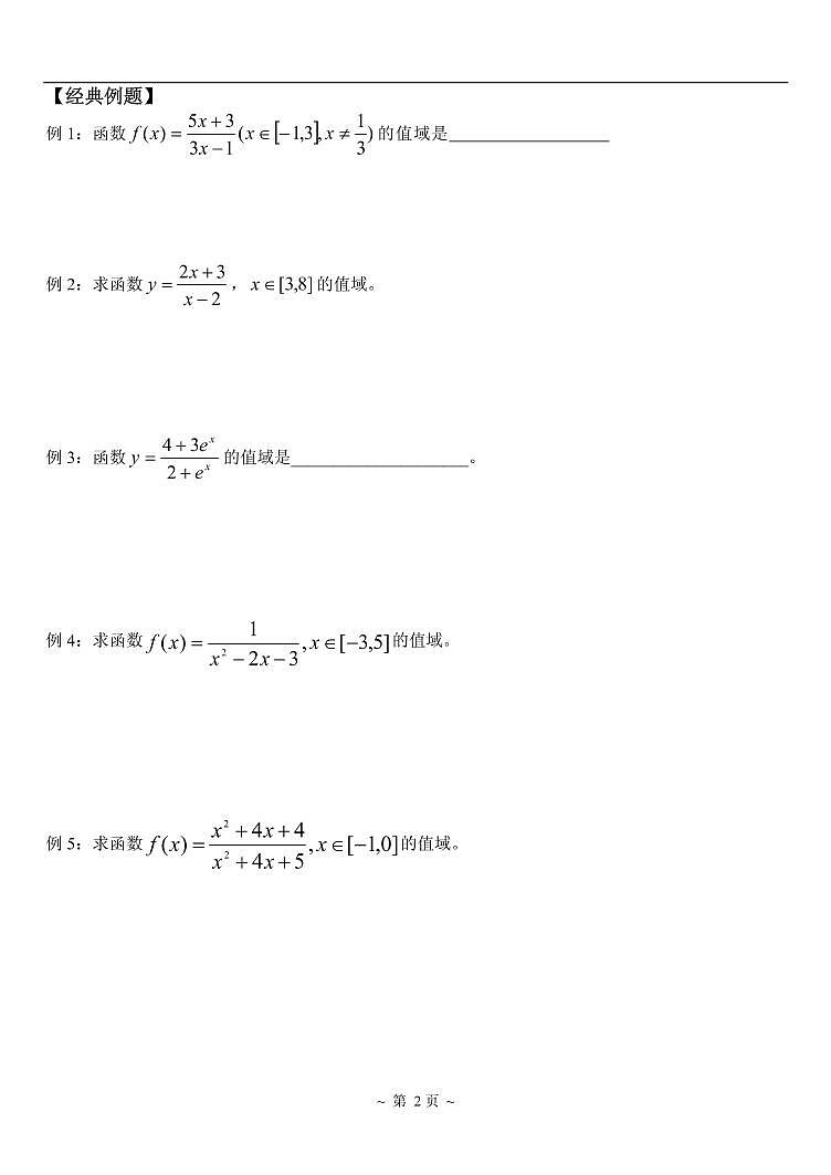
高中数学一轮复习——第1讲 分式函数(讲义)
展开高中数学苏教版 (2019)必修 第一册6.1 幂函数优秀同步练习题: 这是一份高中数学苏教版 (2019)必修 第一册6.1 幂函数优秀同步练习题,文件包含第12讲幂函数原卷版docx、第12讲幂函数解析版docx等2份试卷配套教学资源,其中试卷共19页, 欢迎下载使用。
第4讲:函数单调性与最值讲义--高三数学一轮复习: 这是一份第4讲:函数单调性与最值讲义--高三数学一轮复习,共6页。试卷主要包含了直观刻画,定性表述,符号定义,复合函数的单调性等内容,欢迎下载使用。
第4讲:函数单调性与最值讲义--高三数学一轮复习 (1): 这是一份第4讲:函数单调性与最值讲义--高三数学一轮复习 (1),共6页。试卷主要包含了直观刻画,定性表述,符号定义,复合函数的单调性等内容,欢迎下载使用。

